Suppr超能文献

追踪青少年、成年早期和成年晚期真实社交注意力发展差异。

Tracking developmental differences in real-world social attention across adolescence, young adulthood and older adulthood.

机构信息

School of Psychology, University of Kent, Canterbury, UK.

School of Psychology, University of Dundee, Dundee, UK.

出版信息

Nat Hum Behav. 2021 Oct;5(10):1381-1390. doi: 10.1038/s41562-021-01113-9. Epub 2021 May 13.

Abstract

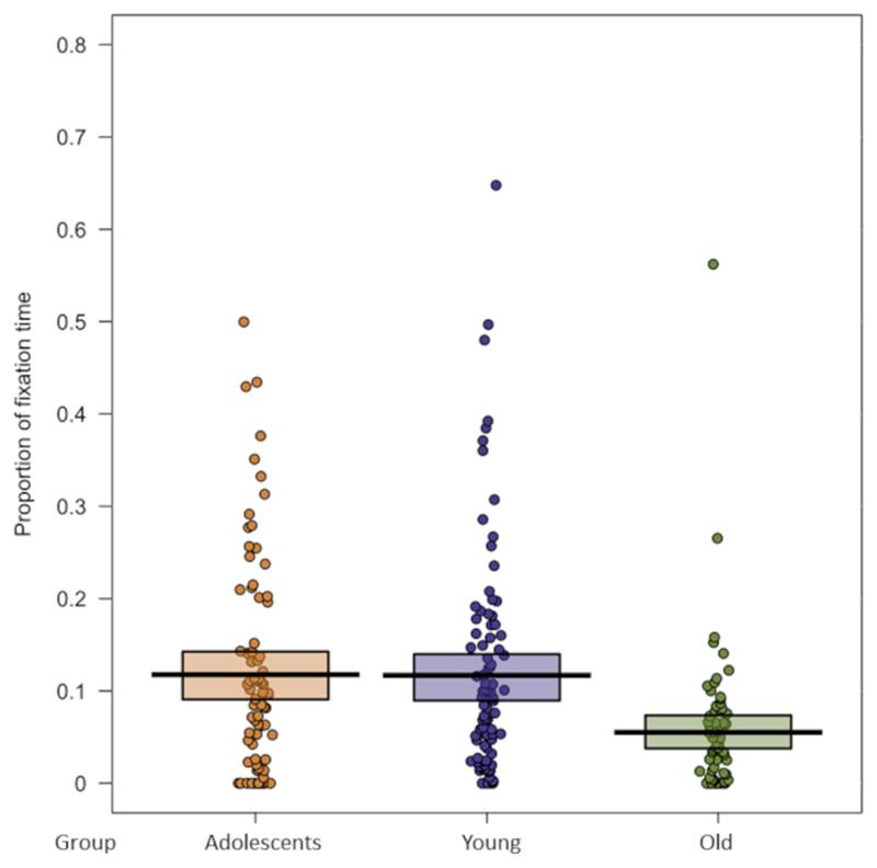
Detecting and responding appropriately to social information in one's environment is a vital part of everyday social interactions. Here, we report two preregistered experiments that examine how social attention develops across the lifespan, comparing adolescents (10-19 years old), young (20-40 years old) and older (60-80 years old) adults. In two real-world tasks, participants were immersed in different social interaction situations-a face-to-face conversation and navigating an environment-and their attention to social and non-social content was recorded using eye-tracking glasses. The results revealed that, compared with young adults, adolescents and older adults attended less to social information (that is, the face) during face-to-face conversation, and to people when navigating the real world. Thus, we provide evidence that real-world social attention undergoes age-related change, and these developmental differences might be a key mechanism that influences theory of mind among adolescents and older adults, with potential implications for predicting successful social interactions in daily life.

摘要

检测和恰当地回应环境中的社会信息是日常社交互动的重要组成部分。在这里,我们报告了两项预先注册的实验,这些实验比较了青少年(10-19 岁)、年轻人(20-40 岁)和老年人(60-80 岁)的社会注意力在整个生命周期内是如何发展的。在两个真实世界的任务中,参与者沉浸在不同的社会互动情境中——面对面的对话和在环境中导航——并使用眼动追踪眼镜记录他们对社会和非社会内容的注意力。结果表明,与年轻人相比,青少年和老年人在面对面的对话中较少关注社会信息(即面部),而在现实世界中导航时较少关注人。因此,我们提供了证据表明,现实世界中的社会注意力会随着年龄的增长而发生变化,这些发展差异可能是影响青少年和老年人心理理论的关键机制,这对预测日常生活中的成功社交互动具有潜在影响。

https://cdn.ncbi.nlm.nih.gov/pmc/blobs/7d84/7611872/d26a213aa6f6/EMS122675-f001.jpg

文献检索

告别复杂PubMed语法,用中文像聊天一样搜索,搜遍4000万医学文献。AI智能推荐,让科研检索更轻松。

立即免费搜索

文件翻译

保留排版,准确专业,支持PDF/Word/PPT等文件格式,支持 12+语言互译。

免费翻译文档

深度研究

AI帮你快速写综述,25分钟生成高质量综述,智能提取关键信息,辅助科研写作。

立即免费体验