State Plant Breeding Institute, University of Hohenheim, 70593, Stuttgart, Germany.
KWS SAAT SE, Grimsehlstraße 31, 37574, Einbeck, Germany.
Theor Appl Genet. 2020 Nov;133(11):3001-3015. doi: 10.1007/s00122-020-03651-8. Epub 2020 Jul 17.
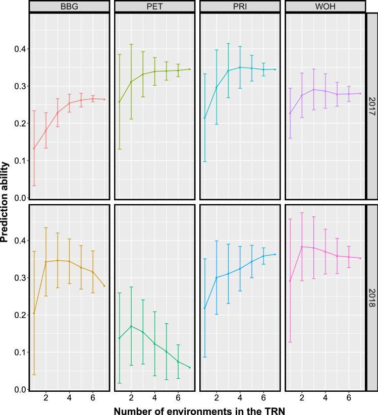
Hyperspectral and genomic data are effective predictors of biomass yield in winter rye. Variable selection procedures can improve the informativeness of reflectance data. Integrating cutting-edge technologies is imperative to sustainably breed crops for a growing global population. To predict dry matter yield (DMY) in winter rye (Secale cereale L.), we tested single-kernel models based on genomic (GBLUP) and hyperspectral reflectance-derived (HBLUP) relationship matrices, a multi-kernel model combining both matrices and a bivariate model fitted with plant height as a secondary trait. In total, 274 elite rye lines were genotyped using a 10 k-SNP array and phenotyped as testcrosses for DMY and plant height at four locations in Germany in two years (eight environments). Spectral data consisted of 400 discrete narrow bands ranging between 410 and 993 nm collected by an unmanned aerial vehicle (UAV) on two dates on each environment. To reduce data dimensionality, variable selection of bands was performed, resulting in the least absolute shrinkage and selection operator (Lasso) as the best method in terms of predictive abilities. The mean heritability of reflectance data was moderate ([Formula: see text] = 0.72) and highly variable across the spectrum. Correlations between DMY and single bands were generally significant (p < 0.05) but low (≤ 0.29). Across environments and training set (TRN) sizes, the bivariate model showed the highest prediction abilities (0.56-0.75), followed by the multi-kernel (0.45-0.71) and single-kernel (0.33-0.61) models. With reduced TRN, HBLUP performed better than GBLUP. The HBLUP model fitted with a set of selected bands was preferred. Within and across environments, prediction abilities increased with larger TRN. Our results suggest that in the era of digital breeding, the integration of high-throughput phenotyping and genomic selection is a promising strategy to achieve superior selection gains in hybrid rye.
高光谱和基因组数据是预测冬黑麦生物量的有效指标。变量选择程序可以提高反射率数据的信息量。整合前沿技术对于为不断增长的全球人口可持续地培育作物至关重要。为了预测冬黑麦(Secale cereale L.)的干物质产量(DMY),我们测试了基于基因组(GBLUP)和高光谱反射率衍生(HBLUP)关系矩阵的单核模型、结合这两个矩阵的多核模型以及与株高拟合的双变量模型作为次要性状。总共使用 10 k-SNP 数组对 274 个冬黑麦优良品系进行了基因型分析,并在德国四个地点的两年内(八个环境)作为测验杂交进行了 DMY 和株高的表型分析。光谱数据由无人机(UAV)在每个环境的两天内采集的 400 个离散窄波段组成,波段范围在 410 到 993nm 之间。为了降低数据的维度,对波段进行了变量选择,结果表明,最小绝对值收缩和选择算子(Lasso)是预测能力方面最好的方法。反射率数据的平均遗传力适中([Formula: see text] = 0.72),且在整个光谱范围内变化很大。DMY 与单波段之间的相关性通常是显著的(p < 0.05),但相关性较低(≤0.29)。在不同环境和训练集(TRN)大小下,双变量模型表现出最高的预测能力(0.56-0.75),其次是多核模型(0.45-0.71)和单核模型(0.33-0.61)。随着 TRN 的减少,HBLUP 的表现优于 GBLUP。拟合一组选定波段的 HBLUP 模型更受欢迎。在不同环境和不同环境中,随着 TRN 的增大,预测能力也随之提高。我们的研究结果表明,在数字育种时代,高通量表型分析和基因组选择的整合是实现杂种黑麦优异选择增益的一种很有前途的策略。