Suppr超能文献

制度化的数据质量评估:提高塞拉利昂综合疾病监测数据准确性的关键途径。

Institutionalized data quality assessments: a critical pathway to improving the accuracy of integrated disease surveillance data in Sierra Leone.

机构信息

World Health Organization Sierra Leone, Freetown, Sierra Leone.

Ministry of Health and Sanitation Sierra Leone, Freetown, Sierra Leone.

出版信息

BMC Health Serv Res. 2020 Aug 7;20(1):724. doi: 10.1186/s12913-020-05591-x.

Abstract

BACKGROUND

Public health agencies require valid, timely and complete health information for early detection of outbreaks. Towards the end of the Ebola Virus Disease (EVD) outbreak in 2015, the Ministry of Health and Sanitation (MoHS), Sierra Leone revitalized the Integrated Disease Surveillance and Response System (IDSR). Data quality assessments were conducted to monitor accuracy of IDSR data.

METHODS

Starting 2016, data quality assessments (DQA) were conducted in randomly selected health facilities. Structured electronic checklist was used to interview district health management teams (DHMT) and health facility staff. We used malaria data, to assess data accuracy, as malaria was endemic in Sierra Leone. Verification factors (VF) calculated as the ratio of confirmed malaria cases recorded in health facility registers to the number of malaria cases in the national health information database, were used to assess data accuracy. Allowing a 5% margin of error, VF < 95% were considered over reporting while VF > 105 was underreporting. Differences in the proportion of accurate reports at baseline and subsequent assessments were compared using Z-test for two proportions.

RESULTS

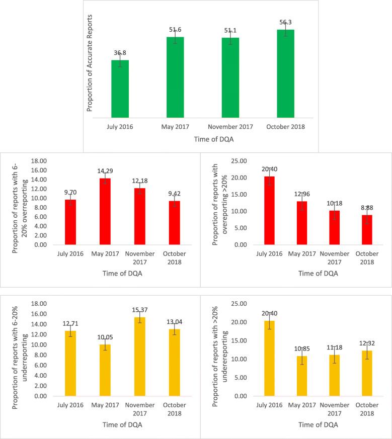
Between 2016 and 2018, four DQA were conducted in 444 health facilities where 1729 IDSR reports were reviewed. Registers and IDSR technical guidelines were available in health facilities and health care workers were conversant with reporting requirements. Overall data accuracy improved from over- reporting of 4.7% (VF 95.3%) in 2016 to under-reporting of 0.2% (VF 100.2%) in 2018. Compared to 2016, proportion of accurate IDSR reports increased by 14.8% (95% CI 7.2, 22.3%) in May 2017 and 19.5% (95% CI 12.5-26.5%) by 2018. Over reporting was more common in private clinics and not- for profit facilities while under-reporting was more common in lower level government health facilities. Leading reasons for data discrepancies included counting errors in 358 (80.6%) health facilities and missing source documents in 47 (10.6%) health facilities.

CONCLUSION

This is the first attempt to institutionalize routine monitoring of IDSR data quality in Sierra Leone. Regular data quality assessments may have contributed to improved data accuracy over time. Data compilation errors accounted for most discrepancies and should be minimized to improve accuracy of IDSR data.

摘要

背景

公共卫生机构需要有效的、及时的和完整的健康信息,以便及早发现疫情。在 2015 年埃博拉病毒病(EVD)疫情接近尾声时,塞拉利昂卫生部和公共卫生部(MoHS)振兴了综合疾病监测和应对系统(IDSR)。进行了数据质量评估,以监测 IDSR 数据的准确性。

方法

从 2016 年开始,在随机选定的卫生机构中进行数据质量评估(DQA)。使用结构化的电子检查表对地区卫生管理团队(DHMT)和卫生机构工作人员进行访谈。我们使用疟疾数据来评估数据的准确性,因为疟疾在塞拉利昂流行。验证因素(VF)计算为卫生机构登记册中记录的确诊疟疾病例数与国家卫生信息数据库中疟疾病例数的比值,用于评估数据的准确性。VF<95%被认为是过度报告,而 VF>105 则是漏报。使用 Z 检验比较基线和后续评估中准确报告比例的差异。

结果

2016 年至 2018 年期间,在 444 家卫生机构进行了 4 次 DQA,共审查了 1729 份 IDSR 报告。卫生机构有登记册和 IDSR 技术指南,卫生保健工作者熟悉报告要求。总体数据准确性从 2016 年的过度报告 4.7%(VF 95.3%)提高到 2018 年的漏报 0.2%(VF 100.2%)。与 2016 年相比,2017 年 5 月准确的 IDSR 报告比例增加了 14.8%(95%CI 7.2,22.3%),2018 年增加了 19.5%(95%CI 12.5-26.5%)。私人诊所和非营利性机构更常见过度报告,而较低级别的政府卫生机构则更常见漏报。数据差异的主要原因包括 358 家(80.6%)卫生机构的计数错误和 47 家(10.6%)卫生机构的原始文件缺失。

结论

这是塞拉利昂首次尝试将 IDSR 数据质量的常规监测制度化。定期的数据质量评估可能有助于随着时间的推移提高数据的准确性。数据编制错误是造成大多数差异的主要原因,应尽量减少,以提高 IDSR 数据的准确性。

https://cdn.ncbi.nlm.nih.gov/pmc/blobs/5ca8/7412785/6c1f84e499de/12913_2020_5591_Fig1_HTML.jpg

相似文献

4
Evaluation of Ebola virus disease surveillance system in Tonkolili District, Sierra Leone.
Pan Afr Med J. 2019 Jan 21;32(Suppl 1):2. doi: 10.11604/pamj.supp.2019.32.1.14434. eCollection 2019.
5
Integrated disease surveillance and response implementation in Liberia, findings from a data quality audit, 2017.
Pan Afr Med J. 2019 May 31;33(Suppl 2):10. doi: 10.11604/pamj.supp.2019.33.2.17608. eCollection 2019.
6
Digitalizing disease surveillance: experience from Sierra Leone.
Health Policy Plan. 2025 Jan 11;40(1):85-96. doi: 10.1093/heapol/czae039.
8
Successful Control of Ebola Virus Disease: Analysis of Service Based Data from Rural Sierra Leone.
PLoS Negl Trop Dis. 2016 Mar 9;10(3):e0004498. doi: 10.1371/journal.pntd.0004498. eCollection 2016 Mar.

引用本文的文献

3
Data Quality-Driven Improvement in Health Care: Systematic Literature Review.
J Med Internet Res. 2024 Aug 22;26:e57615. doi: 10.2196/57615.
4
The Threat of Vector-Borne Diseases in Sierra Leone.
Am J Trop Med Hyg. 2023 Jun 5;109(1):10-21. doi: 10.4269/ajtmh.22-0495. Print 2023 Jul 5.
6
An automated data cleaning method for Electronic Health Records by incorporating clinical knowledge.
BMC Med Inform Decis Mak. 2021 Sep 17;21(1):267. doi: 10.1186/s12911-021-01630-7.
7
Clinical, epidemiological aspects, and trends of Hepatitis B in Brazil from 2007 to 2018.
Sci Rep. 2021 Jul 7;11(1):13986. doi: 10.1038/s41598-021-93434-y.

文献AI研究员

20分钟写一篇综述,助力文献阅读效率提升50倍。

立即体验

用中文搜PubMed

大模型驱动的PubMed中文搜索引擎

马上搜索

文档翻译

学术文献翻译模型,支持多种主流文档格式。

立即体验