Suppr超能文献

miR-23a-5p 介导 C2C12 成肌细胞的增殖和分化。

MicroRNA‑23a‑5p mediates the proliferation and differentiation of C2C12 myoblasts.

机构信息

Key Laboratory of Animal Genetics and Breeding, College of Animal Science and Technology, Sichuan Agricultural University, Chengdu, Sichuan 611130, P.R. China.

Chongqing Academy of Animal Science, Chongqing 402460, P.R. China.

出版信息

Mol Med Rep. 2020 Nov;22(5):3705-3714. doi: 10.3892/mmr.2020.11475. Epub 2020 Sep 2.

Abstract

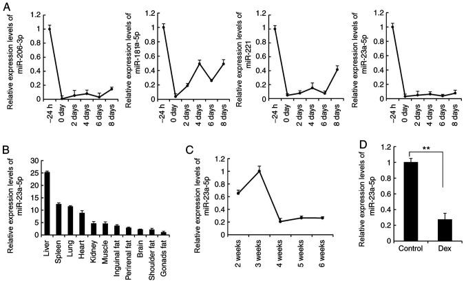
Skeletal myogenesis is a highly ordered and complex biological process that is mediated by numerous regulatory factors. In previous studies, it has been demonstrated that microRNAs (miRs) and long non‑coding RNAs (lncRNAs) serve key roles in skeletal myogenesis. The present study showed that the expression levels of miR‑23a‑5p showed a dynamic change from decrease to increase during C2C12 myoblast proliferation and differentiation. Functional analysis using 5‑ethynyl‑2'‑deoxyuridine proliferation and Cell Counting Kit‑8 detection assays indicated that overexpression of miR‑23a‑5p significantly promoted C2C12 myoblast proliferation compared with the negative control. In addition, in C2C12 myoblasts transfected with miR‑23a‑5p mimics, increased expression levels of regulators associated with cell proliferation (Cyclin E, CCND1 and Cyclin B) were observed compared with the negative control. By contrast, overexpression of miR‑23a‑5p decreased the expression levels of specific‑myogenesis factors (MyoD, MyoG and Myf5) and decreased C2C12 myoblast differentiation. Luciferase activity assays indicated that miR‑23a‑5p suppressed the luciferase activity of lncDum. Further analysis demonstrated that miR‑23a‑5p not only showed an opposite expression level pattern compared with lncDum, which was first increased and then decreased, but also had an opposite effect on the proliferation and differentiation of C2C12 myoblasts compared with lncDum which inhibited cell proliferation and promoted cell differentiation. Taken together, these results indicated that miR‑23a‑5p may mediate the proliferation and differentiation of C2C12 myoblasts, which may be involved in lncDum regulation.

摘要

成骨细胞生成是一个高度有序且复杂的生物学过程,受众多调节因子调控。在以往的研究中已经证实,微小 RNA(miRNA)和长链非编码 RNA(lncRNA)在成骨细胞生成中发挥着关键作用。本研究显示,miR-23a-5p 的表达水平在 C2C12 成肌细胞增殖和分化过程中呈现先减少后增加的动态变化。利用 5-乙炔基-2'-脱氧尿苷增殖和细胞计数试剂盒-8 检测分析功能表明,与阴性对照相比,miR-23a-5p 的过表达可显著促进 C2C12 成肌细胞的增殖。此外,与阴性对照相比,转染 miR-23a-5p 模拟物的 C2C12 成肌细胞中,与细胞增殖相关的调节因子(Cyclin E、CCND1 和 Cyclin B)的表达水平升高。相反,miR-23a-5p 的过表达降低了特定成肌因子(MyoD、MyoG 和 Myf5)的表达水平,并且减少了 C2C12 成肌细胞的分化。荧光素酶活性测定表明,miR-23a-5p 抑制了 lncDum 的荧光素酶活性。进一步分析表明,miR-23a-5p 不仅与 lncDum 的表达水平呈相反的模式,lncDum 的表达水平先增加后减少,而且与 lncDum 对 C2C12 成肌细胞增殖和分化的作用相反,lncDum 抑制细胞增殖并促进细胞分化。综上所述,这些结果表明,miR-23a-5p 可能介导 C2C12 成肌细胞的增殖和分化,这可能涉及 lncDum 的调节。

https://cdn.ncbi.nlm.nih.gov/pmc/blobs/8407/7533443/99ae66d26067/MMR-22-05-3705-g00.jpg

文献检索

告别复杂PubMed语法,用中文像聊天一样搜索,搜遍4000万医学文献。AI智能推荐,让科研检索更轻松。

立即免费搜索

文件翻译

保留排版,准确专业,支持PDF/Word/PPT等文件格式,支持 12+语言互译。

免费翻译文档

深度研究

AI帮你快速写综述,25分钟生成高质量综述,智能提取关键信息,辅助科研写作。

立即免费体验