Suppr超能文献

住院前使用他汀类药物与 COVID-19 住院患者严重程度和恢复的关系。

Relation of Statin Use Prior to Admission to Severity and Recovery Among COVID-19 Inpatients.

机构信息

Division of Cardiovascular Medicine, Department of Medicine, University of California San Diego, La Jolla, California; Division of Epidemiology, Department of Family Medicine and Public Health, University of California San Diego, La Jolla, California.

Department of Medicine, University of California San Diego, La Jolla, California.

出版信息

Am J Cardiol. 2020 Dec 1;136:149-155. doi: 10.1016/j.amjcard.2020.09.012. Epub 2020 Sep 16.

Abstract

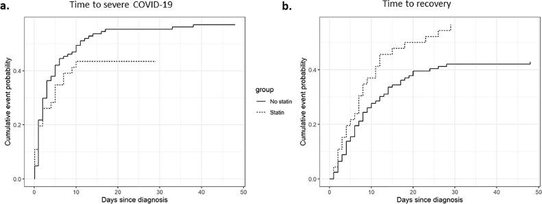
The impact of statins, angiotensin-converting enzyme inhibitors and angiotensin II receptor blockers (ARBs) on coronavirus disease 2019 (COVID-19) severity and recovery is important given their high prevalence of use among individuals at risk for severe COVID-19. We studied the association between use of statin/angiotensin-converting enzyme inhibitors/ARB in the month before hospital admission, with risk of severe outcome, and with time to severe outcome or disease recovery, among patients hospitalized for COVID-19. We performed a retrospective single-center study of all patients hospitalized at University of California San Diego Health between February 10, 2020 and June 17, 2020 (n = 170 hospitalized for COVID-19, n = 5,281 COVID-negative controls). Logistic regression and competing risks analyses were used to investigate progression to severe disease (death or intensive care unit admission), and time to discharge without severe disease. Severe disease occurred in 53% of COVID-positive inpatients. Median time from hospitalization to severe disease was 2 days; median time to recovery was 7 days. Statin use prior to admission was associated with reduced risk of severe COVID-19 (adjusted OR 0.29, 95%CI 0.11 to 0.71, p < 0.01) and faster time to recovery among those without severe disease (adjusted HR for recovery 2.69, 95%CI 1.36 to 5.33, p < 0.01). The association between statin use and severe disease was smaller in the COVID-negative cohort (p for interaction = 0.07). There was potential evidence of faster time to recovery with ARB use (adjusted HR 1.92, 95%CI 0.81 to 4.56). In conclusion, statin use during the 30 days prior to admission for COVID-19 was associated with a lower risk of developing severe COVID-19, and a faster time to recovery among patients without severe disease.

摘要

鉴于他汀类药物、血管紧张素转换酶抑制剂和血管紧张素 II 受体阻滞剂 (ARB) 在有重症 COVID-19 风险的人群中的高使用率,研究它们在入院前一个月的使用情况与 COVID-19 严重程度和恢复之间的关系非常重要。我们研究了在加利福尼亚大学圣地亚哥分校卫生保健中心住院的 COVID-19 患者(n=170)和 COVID-19 阴性对照者(n=5281)中,入院前一个月使用他汀类药物/血管紧张素转换酶抑制剂/ARB 与发生严重结局的风险以及与严重结局或疾病恢复的时间之间的关系。我们进行了一项回顾性单中心研究,研究对象为 2020 年 2 月 10 日至 2020 年 6 月 17 日期间在加利福尼亚大学圣地亚哥分校卫生保健中心住院的所有患者(COVID-19 住院患者 n=170,COVID-19 阴性对照者 n=5281)。采用逻辑回归和竞争风险分析来研究向严重疾病(死亡或重症监护病房入院)的进展情况,以及无严重疾病的出院时间。COVID-19 住院患者中有 53%发生严重疾病。从住院到发生严重疾病的中位时间为 2 天;从住院到恢复的中位时间为 7 天。入院前使用他汀类药物与 COVID-19 严重程度降低相关(校正比值比 0.29,95%CI 0.11 至 0.71,p<0.01),且无严重疾病患者的恢复时间更快(校正恢复 HR 2.69,95%CI 1.36 至 5.33,p<0.01)。在 COVID-19 阴性队列中,他汀类药物使用与严重疾病的相关性较小(p 值为 0.07)。ARB 类药物的使用可能与恢复时间缩短有关(校正 HR 1.92,95%CI 0.81 至 4.56)。结论:COVID-19 入院前 30 天内使用他汀类药物与发生严重 COVID-19 的风险降低以及无严重疾病患者的恢复时间加快有关。

https://cdn.ncbi.nlm.nih.gov/pmc/blobs/0ca4/7492151/558f9fe00b8e/gr1_lrg.jpg

文献检索

告别复杂PubMed语法,用中文像聊天一样搜索,搜遍4000万医学文献。AI智能推荐,让科研检索更轻松。

立即免费搜索

文件翻译

保留排版,准确专业,支持PDF/Word/PPT等文件格式,支持 12+语言互译。

免费翻译文档

深度研究

AI帮你快速写综述,25分钟生成高质量综述,智能提取关键信息,辅助科研写作。

立即免费体验