Department of Microbiology and.
Institute for Immunology, Perelman School of Medicine, University of Pennsylvania, Philadelphia, Pennsylvania, USA.
JCI Insight. 2020 Oct 15;5(20):139783. doi: 10.1172/jci.insight.139783.
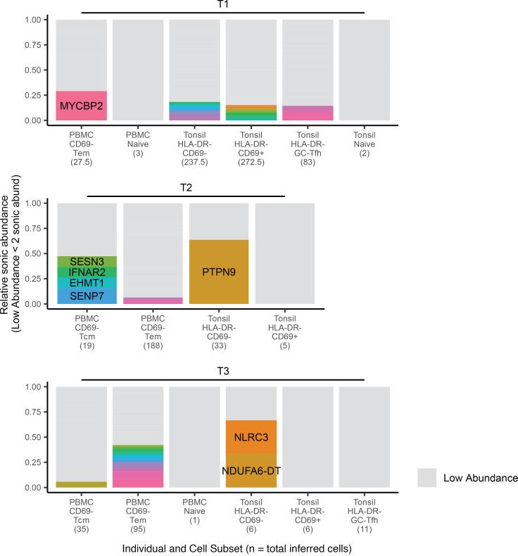
The integration of HIV DNA into the host genome contributes to lifelong infection in most individuals. Few studies have examined integration in lymphoid tissue, where HIV predominantly persists before and after antiretroviral treatment (ART). Of particular interest is whether integration site distributions differ between infection stages with paired blood and tissue comparisons. Here, we profiled HIV integration site distributions in sorted memory, tissue-resident, and/or follicular helper CD4+ T cell subsets from paired blood and lymphoid tissue samples from acute, chronic, and ART-treated individuals. We observed minor differences in the frequency of nonintronic and nondistal intergenic sites, varying with tissue and residency phenotypes during ART. Genomic and epigenetic annotations were generally similar. Clonal expansion of cells marked by identical integration sites was detected, with increased detection in chronic and ART-treated individuals. However, overlap between or within CD4+ T cell subsets or tissue compartments was only observed in 8 unique sites of the 3540 sites studied. Together, these findings suggest that shared integration sites between blood and tissue may, depending on the tissue site, be the exception rather than the rule and indicate that additional studies are necessary to fully understand the heterogeneity of tissue-sequestered HIV reservoirs.
HIV DNA 整合到宿主基因组中是大多数个体终身感染的原因。很少有研究检测过淋巴组织中的整合情况,而在接受抗逆转录病毒治疗 (ART) 之前和之后,HIV 主要在淋巴组织中持续存在。特别感兴趣的是,在配对的血液和组织比较中,整合部位的分布是否因感染阶段而异。在这里,我们对来自急性、慢性和接受 ART 治疗的个体的配对血液和淋巴组织样本中,经过分选的记忆、组织驻留和/或滤泡辅助 CD4+T 细胞亚群中的 HIV 整合部位分布进行了分析。我们观察到,在接受 ART 治疗时,非内含子和非远端基因间部位的频率存在较小差异,这与组织和驻留表型有关。基因组和表观遗传注释通常相似。通过相同整合部位标记的细胞克隆扩增被检测到,在慢性和接受 ART 治疗的个体中检测到的扩增增加。然而,在 3540 个研究的位点中,只有 8 个独特的位点在 CD4+T 细胞亚群或组织隔室之间或内部观察到重叠。综上所述,这些发现表明,血液和组织之间共享的整合部位可能因组织部位而异,是例外而不是常规情况,这表明需要进一步研究以充分了解组织隔离的 HIV 储存库的异质性。