Suppr超能文献

维生素B6、维生素B12与蛋氨酸和胰腺癌风险:一项荟萃分析

Vitamin B6, vitamin B12 and methionine and risk of pancreatic cancer: a meta-analysis.

作者信息

Wei Dan-Hong, Mao Qi-Qi

机构信息

Department of Neuroscience Care Unit, The Second Affiliated hospital, School of Medicine, Zhejiang University, Hangzhou, 310009, China.

Department of Urology, The First Affiliated hospital, School of Medicine, Zhejiang University, Hangzhou, 310003, China.

出版信息

Nutr J. 2020 Oct 4;19(1):111. doi: 10.1186/s12937-020-00628-7.

Abstract

BACKGROUND

Nutrients involved in one-carbon metabolism may play a key role in pancreatic carcinogenesis. The aim of this study was to examine the association between pancreatic cancer risk and intake or blood levels of vitamins B6, B12 and methionine via meta-analysis.

METHODS

A systematic search was performed in PubMed, Web of Knowledge and Chinese National Knowledge Infrastructure (CNKI) up to April 2020 to identify relevant studies. Risk estimates and their 95% confidence intervals (CIs) were retrieved from the studies and combined by a random-effect model.

RESULTS

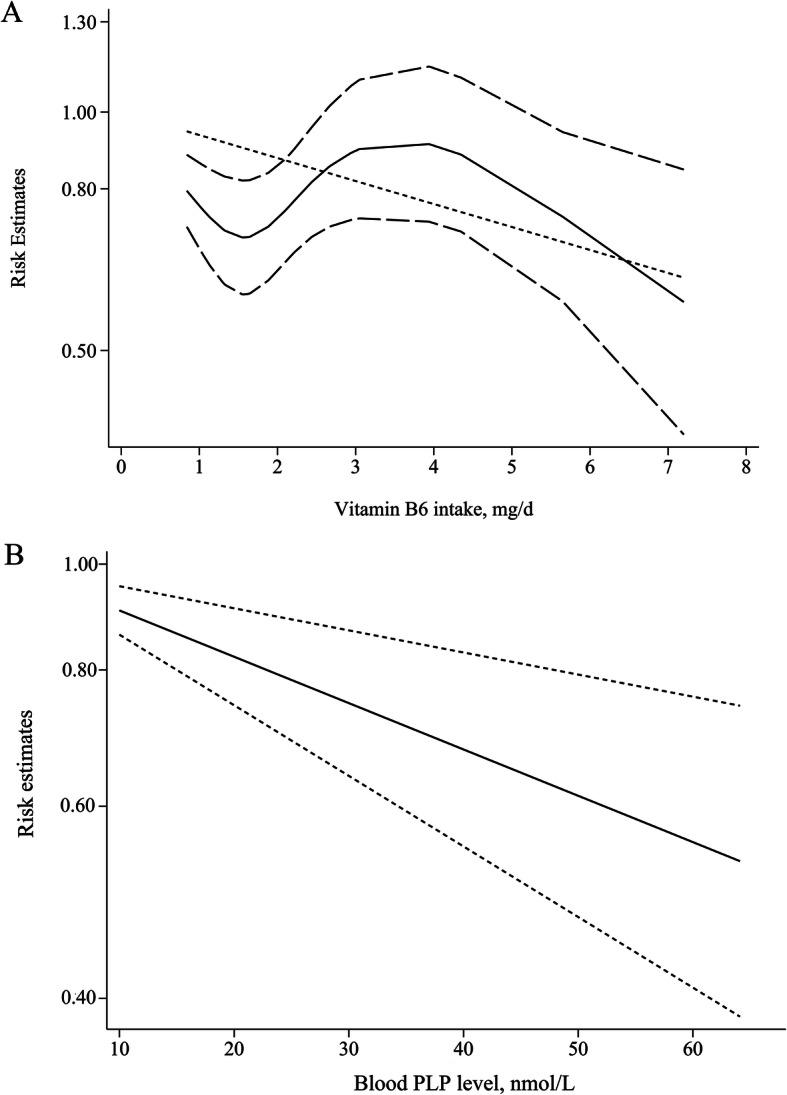
A total of 18 studies were included in this meta-analysis on the association of vitamin B6, B12 and methionine with pancreatic cancer risk. The combined risk estimate (95% CI) of pancreatic cancer for the highest vs lowest category of vitamin B6 intake and blood pyridoxal 5'-phosphate (PLP, active form of vitamin B6) levels was 0.63 (0.48-0.79) and 0.65 (0.52-0.79), respectively. The results indicated a non-linear dose-response relationship between vitamin B6 intake and pancreatic risk. Linear dose-response relationship was found, and the risk of pancreatic cancer decreased by 9% for every 10 nmol/L increment in blood PLP levels. No significant association were found between pancreatic cancer risk and vitamin B12 intake, blood vitamin B12 levels, methionine intake and blood methionine levels.

CONCLUSION

Our study suggests that high intake of vitamin B6 and high concentration of blood PLP levels may be protective against the development of pancreatic cancer. Further research are warranted to confirm the results.

摘要

背景

参与一碳代谢的营养素可能在胰腺癌发生过程中起关键作用。本研究旨在通过荟萃分析探讨胰腺癌风险与维生素B6、B12及蛋氨酸摄入量或血液水平之间的关联。

方法

截至2020年4月,在PubMed、Web of Knowledge和中国知网(CNKI)中进行系统检索以识别相关研究。从这些研究中获取风险估计值及其95%置信区间(CI),并采用随机效应模型进行合并。

结果

本荟萃分析共纳入18项关于维生素B6、B12及蛋氨酸与胰腺癌风险关联的研究。维生素B6摄入量最高组与最低组以及血液中磷酸吡哆醛(PLP,维生素B6的活性形式)水平最高组与最低组相比,胰腺癌的合并风险估计值(95%CI)分别为0.63(0.48 - 0.79)和0.65(0.52 - 0.79)。结果表明维生素B6摄入量与胰腺癌风险之间存在非线性剂量反应关系。发现存在线性剂量反应关系,血液PLP水平每增加10 nmol/L,胰腺癌风险降低9%。未发现胰腺癌风险与维生素B12摄入量、血液维生素B12水平、蛋氨酸摄入量及血液蛋氨酸水平之间存在显著关联。

结论

我们的研究表明,高摄入维生素B6和高血液PLP水平可能对胰腺癌的发生具有保护作用。需要进一步研究以证实该结果。

https://cdn.ncbi.nlm.nih.gov/pmc/blobs/a553/7534168/669cce7f920e/12937_2020_628_Fig1_HTML.jpg

文献检索

告别复杂PubMed语法,用中文像聊天一样搜索,搜遍4000万医学文献。AI智能推荐,让科研检索更轻松。

立即免费搜索

文件翻译

保留排版,准确专业,支持PDF/Word/PPT等文件格式,支持 12+语言互译。

免费翻译文档

深度研究

AI帮你快速写综述,25分钟生成高质量综述,智能提取关键信息,辅助科研写作。

立即免费体验