Suppr超能文献

ABC分数阶导数下COVID-19数学模型的传播动力学研究

Study of transmission dynamics of COVID-19 mathematical model under ABC fractional order derivative.

作者信息

Thabet Sabri T M, Abdo Mohammed S, Shah Kamal, Abdeljawad Thabet

机构信息

Department of Mathematics, University of Aden, Aden, Yemen.

Department of Mathematics, Hodeidah University, Al-Hodeidah, Yemen.

出版信息

Results Phys. 2020 Dec;19:103507. doi: 10.1016/j.rinp.2020.103507. Epub 2020 Oct 12.

Abstract

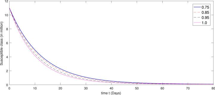
The current research work is devoted to address some results related to the existence and stability as well as numerical finding of a novel Coronavirus disease (COVID-19) by using a mathematical model. By using fixed point results we establish existence results for the proposed model under Atangana-Baleanu-Caputo (ABC) derivative with fractional order. Further, using the famous numerical technique due to Adams Bashforth, we simulate the concerned results for two famous cities of China known as Wuhan and Huanggang which are interconnected cities. The graphical presentations are given to observe the transmission dynamics from February 1 a=2020 to April 20, 2020 through various fractional order. The concerned dynamics is global in nature due to the various values of fractional order.

摘要

当前的研究工作致力于通过使用数学模型来解决与新型冠状病毒病(COVID-19)的存在性、稳定性以及数值求解相关的一些结果。通过使用不动点结果,我们在分数阶的阿坦加纳 - 巴莱努 - 卡普托(ABC)导数下建立了所提出模型的存在性结果。此外,使用著名的亚当斯 - 巴什福斯数值技术,我们对中国两个相互关联的著名城市武汉和黄冈的相关结果进行了模拟。给出了图形展示,以观察从2020年2月1日到2020年4月20日通过各种分数阶的传播动态。由于分数阶的各种值,相关动态在本质上是全局的。

https://cdn.ncbi.nlm.nih.gov/pmc/blobs/67c1/7550174/d7f852bb5f80/gr1_lrg.jpg

文献检索

告别复杂PubMed语法,用中文像聊天一样搜索,搜遍4000万医学文献。AI智能推荐,让科研检索更轻松。

立即免费搜索

文件翻译

保留排版,准确专业,支持PDF/Word/PPT等文件格式,支持 12+语言互译。

免费翻译文档

深度研究

AI帮你快速写综述,25分钟生成高质量综述,智能提取关键信息,辅助科研写作。

立即免费体验