• 文献检索
  • 文档翻译
  • 深度研究
  • 学术资讯
  • Suppr Zotero 插件Zotero 插件
  • 邀请有礼
  • 套餐&价格
  • 历史记录
应用&插件
Suppr Zotero 插件Zotero 插件浏览器插件Mac 客户端Windows 客户端微信小程序
定价
高级版会员购买积分包购买API积分包
服务
文献检索文档翻译深度研究API 文档MCP 服务
关于我们
关于 Suppr公司介绍联系我们用户协议隐私条款
关注我们

Suppr 超能文献

核心技术专利:CN118964589B侵权必究
粤ICP备2023148730 号-1Suppr @ 2026

文献检索

告别复杂PubMed语法,用中文像聊天一样搜索,搜遍4000万医学文献。AI智能推荐,让科研检索更轻松。

立即免费搜索

文件翻译

保留排版,准确专业,支持PDF/Word/PPT等文件格式,支持 12+语言互译。

免费翻译文档

深度研究

AI帮你快速写综述,25分钟生成高质量综述,智能提取关键信息,辅助科研写作。

立即免费体验

碱金属离子与带共轭七元和八元中环的阴离子反芳香族和芳香族烃的离子对的合成与表征。

Synthesis and Characterization of Ion Pairs between Alkaline Metal Ions and Anionic Anti-Aromatic and Aromatic Hydrocarbons with π-Conjugated Central Seven- and Eight-Membered Rings.

机构信息

Department of Chemistry and Applied Biosciences, ETH Zürich, 8093 Zürich, Switzerland.

Department of Chemistry & Biochemistry, 1306 E. University Blvd., Tucson, AZ 85719, USA.

出版信息

Molecules. 2020 Oct 15;25(20):4742. doi: 10.3390/molecules25204742.

DOI:10.3390/molecules25204742
PMID:33076581
原文链接:https://pmc.ncbi.nlm.nih.gov/articles/PMC7594067/
Abstract

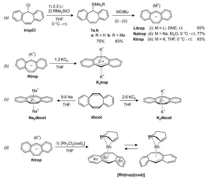
The synthesis, isolation and full characterization of ion pairs between alkaline metal ions (Li, Na, K) and mono-anions and dianions obtained from -dibenzo[,]cycloheptenyl (CH = trop) is reported. According to Nuclear Magnetic Resonance (NMR) spectroscopy, single crystal X-ray analysis and Density Functional Theory (DFT) calculations, the trop and trop anions show anti-aromatic properties which are dependent on the counter cation M and solvent molecules serving as co-ligands. For comparison, the disodium and dipotassium salt of the dianion of dibenzo[]cyclooctatetraene (CH = dbcot) were prepared, which show classical aromatic character. A d-Rh(I) complex of trop was prepared and the structure shows a distortion of the CH ligand into a conjugated 10π -benzo pentadienide unit-to which the Rh(I) center is coordinated-and an aromatic 6π electron benzo group which is non-coordinated. Electron transfer reactions between neutral and anionic trop and dbcot species show that the anti-aromatic compounds obtained from trop are significantly stronger reductants.

摘要

报道了从 -二苯并[,]环庚烯(CH = trop)中获得的碱金属离子(Li、Na、K)与一价和二价阴离子形成的离子对的合成、分离和全谱学表征。根据核磁共振(NMR)光谱、单晶 X 射线分析和密度泛函理论(DFT)计算,trop 和 trop 阴离子显示反芳香性质,这取决于抗衡阳离子 M 和作为共配体的溶剂分子。作为比较,制备了二阴离子的二钠盐和二钾盐,它们显示出典型的芳香性。制备了 trop 的 d-Rh(I)配合物,结构显示 CH 配体扭曲成共轭的 10π-苯并戊二烯化物单元,Rh(I)中心与之配位,以及非配位的芳香 6π 电子苯基团。中性和阴离子 trop 和 dbcot 物种之间的电子转移反应表明,从 trop 获得的反芳香化合物是明显更强的还原剂。

https://cdn.ncbi.nlm.nih.gov/pmc/blobs/047e/7594067/1f82f2435c3f/molecules-25-04742-sch004.jpg
https://cdn.ncbi.nlm.nih.gov/pmc/blobs/047e/7594067/d686250fafd5/molecules-25-04742-sch001.jpg
https://cdn.ncbi.nlm.nih.gov/pmc/blobs/047e/7594067/1af653909eac/molecules-25-04742-sch002.jpg
https://cdn.ncbi.nlm.nih.gov/pmc/blobs/047e/7594067/ddbba4552946/molecules-25-04742-g001.jpg
https://cdn.ncbi.nlm.nih.gov/pmc/blobs/047e/7594067/905301e9eb0a/molecules-25-04742-g002.jpg
https://cdn.ncbi.nlm.nih.gov/pmc/blobs/047e/7594067/83249b6c0201/molecules-25-04742-g003a.jpg
https://cdn.ncbi.nlm.nih.gov/pmc/blobs/047e/7594067/3adaef06349e/molecules-25-04742-g004.jpg
https://cdn.ncbi.nlm.nih.gov/pmc/blobs/047e/7594067/dfb23dd2f680/molecules-25-04742-sch003.jpg
https://cdn.ncbi.nlm.nih.gov/pmc/blobs/047e/7594067/1f82f2435c3f/molecules-25-04742-sch004.jpg
https://cdn.ncbi.nlm.nih.gov/pmc/blobs/047e/7594067/d686250fafd5/molecules-25-04742-sch001.jpg
https://cdn.ncbi.nlm.nih.gov/pmc/blobs/047e/7594067/1af653909eac/molecules-25-04742-sch002.jpg
https://cdn.ncbi.nlm.nih.gov/pmc/blobs/047e/7594067/ddbba4552946/molecules-25-04742-g001.jpg
https://cdn.ncbi.nlm.nih.gov/pmc/blobs/047e/7594067/905301e9eb0a/molecules-25-04742-g002.jpg
https://cdn.ncbi.nlm.nih.gov/pmc/blobs/047e/7594067/83249b6c0201/molecules-25-04742-g003a.jpg
https://cdn.ncbi.nlm.nih.gov/pmc/blobs/047e/7594067/3adaef06349e/molecules-25-04742-g004.jpg
https://cdn.ncbi.nlm.nih.gov/pmc/blobs/047e/7594067/dfb23dd2f680/molecules-25-04742-sch003.jpg
https://cdn.ncbi.nlm.nih.gov/pmc/blobs/047e/7594067/1f82f2435c3f/molecules-25-04742-sch004.jpg

相似文献

1
Synthesis and Characterization of Ion Pairs between Alkaline Metal Ions and Anionic Anti-Aromatic and Aromatic Hydrocarbons with π-Conjugated Central Seven- and Eight-Membered Rings.碱金属离子与带共轭七元和八元中环的阴离子反芳香族和芳香族烃的离子对的合成与表征。
Molecules. 2020 Oct 15;25(20):4742. doi: 10.3390/molecules25204742.
2
A six-carbon 10π-electron aromatic system supported by group 3 metals.由第 3 族金属支撑的六元碳 10π 电子芳香体系。
Nat Commun. 2013;4:1448. doi: 10.1038/ncomms2473.
3
Electronic and molecular structures of the members of the electron transfer series [Cr(tbpy)3]n (n = 3+, 2+, 1+, 0): an X-ray absorption spectroscopic and density functional theoretical study.电子转移系列成员[Cr(tbpy)3]n(n = 3+,2+,1+,0)的电子和分子结构:X 射线吸收光谱和密度泛函理论研究。
Inorg Chem. 2011 Dec 19;50(24):12446-62. doi: 10.1021/ic201123x. Epub 2011 Nov 15.
4
Linear, Electron-Rich, Homoleptic Rare Earth Metallocene and Its Redox Activity.线性、富电子、同核稀土金属茂及其氧化还原活性。
Inorg Chem. 2023 Feb 6;62(5):2095-2104. doi: 10.1021/acs.inorgchem.2c03735. Epub 2023 Jan 23.
5
Selectivity of the highly preorganized tetradentate ligand 2,9-di(pyrid-2-yl)-1,10-phenanthroline for metal ions in aqueous solution, including lanthanide(III) ions and the uranyl(VI) cation.高度预组织的四齿配体 2,9-二(吡啶-2-基)-1,10-菲咯啉在水溶液中对金属离子,包括镧系(III)离子和铀酰(VI)阳离子的选择性。
Inorg Chem. 2013 Jan 7;52(1):15-27. doi: 10.1021/ic3002509. Epub 2012 Dec 11.
6
Anion-π interactions in supramolecular architectures.超分子结构中的阴离子-π 相互作用。
Acc Chem Res. 2013 Apr 16;46(4):894-906. doi: 10.1021/ar300251k. Epub 2013 Mar 11.
7
Aryl-aryl bond formation by transition-metal-catalyzed direct arylation.过渡金属催化直接芳基化形成芳基-芳基键。
Chem Rev. 2007 Jan;107(1):174-238. doi: 10.1021/cr0509760.
8
Studies on the reactivity of group 15 Zintl ions with carbodiimides: synthesis and characterization of a heptaphosphaguanidine dianion.关于第 15 族 Zintl 离子与碳二亚胺反应性的研究:七磷胍二阴离子的合成与表征。
Chem Commun (Camb). 2012 Feb 1;48(10):1470-2. doi: 10.1039/c1cc12089a. Epub 2011 Jun 16.
9
Anion binding involving pi-acidic heteroaromatic rings.涉及π-酸性杂芳环的阴离子结合。
Acc Chem Res. 2007 Jun;40(6):435-44. doi: 10.1021/ar7000099. Epub 2007 Apr 18.
10
Control of metal ion size-based selectivity through chelate ring geometry. metal ion complexing properties of 2,2'-biimidazole.通过螯合环几何形状控制基于金属离子尺寸的选择性。2,2'-联咪唑的金属离子络合性质。
Inorg Chem. 2010 Jun 7;49(11):5033-9. doi: 10.1021/ic100131z.

引用本文的文献

1
Linear, Electron-Rich Erbium Single-Molecule Magnet with Dibenzocyclooctatetraene Ligands.含二苯并环辛四烯配体的线性富电子铒单分子磁体
Inorg Chem. 2024 May 27;63(21):9888-9898. doi: 10.1021/acs.inorgchem.4c00731. Epub 2024 May 13.
2
Carbon Ligands: From Fundamental Aspects to Applications.碳配体:从基础层面到应用
Molecules. 2021 Apr 8;26(8):2132. doi: 10.3390/molecules26082132.

本文引用的文献

1
A Monomeric d -Rhodium(0) Complex.一种单体d -铑(0)配合物。
Angew Chem Int Ed Engl. 1998 Jun 5;37(10):1423-1426. doi: 10.1002/(SICI)1521-3773(19980605)37:10<1423::AID-ANIE1423>3.0.CO;2-X.
2
Ligand- and Metal-Based Reactivity of a Neutral Ruthenium Diolefin Diazadiene Complex: The Innocent, the Guilty and the Suspicious.中性钌二烯烃二氮二烯配合物的配体及金属基反应活性:无辜者、有罪者与可疑者
Chemistry. 2018 Apr 11;24(21):5513-5521. doi: 10.1002/chem.201705957. Epub 2018 Feb 27.
3
Nucleus-Independent Chemical Shifts:  A Simple and Efficient Aromaticity Probe.
核独立化学位移:一种简单高效的芳香性探针。
J Am Chem Soc. 1996 Jul 3;118(26):6317-6318. doi: 10.1021/ja960582d.
4
Homogeneously catalysed conversion of aqueous formaldehyde to H and carbonate.均相催化将水溶液中的甲醛转化为 H 和碳酸盐。
Nat Commun. 2017 Apr 28;8:14990. doi: 10.1038/ncomms14990.
5
Nitrous Oxide as a Hydrogen Acceptor for the Dehydrogenative Coupling of Alcohols.一氧化二氮作为醇脱氢偶联反应的氢受体。
Angew Chem Int Ed Engl. 2016 Jan 26;55(5):1854-8. doi: 10.1002/anie.201509288. Epub 2015 Dec 22.
6
Reactivity of an All-Ferrous Iron-Nitrogen Heterocubane under Reductive and Oxidative Conditions.
Chemistry. 2015 Oct 26;21(44):15797-805. doi: 10.1002/chem.201502530. Epub 2015 Sep 16.
7
Low-valent iron(i) amido olefin complexes as promotors for dehydrogenation reactions.低价铁(i)酰胺烯烃配合物作为脱氢反应的促进剂。
Angew Chem Int Ed Engl. 2015 May 4;54(19):5766-71. doi: 10.1002/anie.201411365. Epub 2015 Mar 12.
8
SHELXT - integrated space-group and crystal-structure determination.SHELXT——集成空间群与晶体结构测定
Acta Crystallogr A Found Adv. 2015 Jan;71(Pt 1):3-8. doi: 10.1107/S2053273314026370. Epub 2015 Jan 1.
9
A homogeneous transition metal complex for clean hydrogen production from methanol-water mixtures.一种均相过渡金属配合物,可用于从甲醇-水混合物中清洁地生产氢气。
Nat Chem. 2013 Apr;5(4):342-7. doi: 10.1038/nchem.1595. Epub 2013 Mar 10.
10
Is cyclobutadiene really highly destabilized by antiaromaticity?环丁二烯真的因为反芳香性而高度不稳定吗?
Chem Commun (Camb). 2012 Aug 28;48(67):8437-9. doi: 10.1039/c2cc33521b. Epub 2012 Jul 16.