Cannataro Roberto, Cione Erika, Gallelli Luca, Marzullo Natale, Bonilla Diego A
Department of Pharmacy, Health and Nutritional Sciences, University of Calabria, 87036 Rende, Italy.
Clinical Pharmacology and Pharmacovigilance Operative Unit, Department of Health Science, University of Magna Graecia, Mater Domini Hospital Catanzaro, 88100 Catanzaro, Italy.
Sports (Basel). 2020 Oct 16;8(10):137. doi: 10.3390/sports8100137.
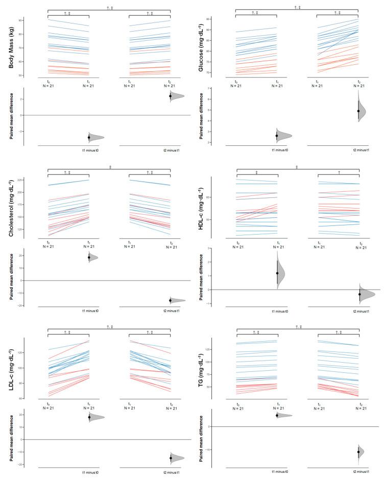
Making weight is a practice often used in combat sports. This consists of a rapid weight loss (RWL) and a subsequent rapid weight gain (RWG) in the days preceding competition. However, this practice is often carried out based on anecdotal information provided by ex-athletes or non-professionals, which has led to several adverse events. This study aimed to assess the acute effects of a supervised nutritional period of RWL/RWG on health markers, hormone concentrations, and body composition. We performed a single-arm repeated-measures (baseline, after RWL and after RWG) clinical trial with twenty-one (8F:16M) Italian Muay Thai fighters. Body mass was significantly lower after the RWL (-4.1%) while there was a significantly higher glucose availability after RWL and RWG. Blood urea nitrogen, lipid profile, and creatinine were within the normal range after RWL/RWG. Testosterone decrease significantly after RWL and RWG in the men group. Male fighters had a significant reduction in thyroid-stimulating hormone concentration after the RWL and RWG intervention, but no change was found in women at pre-competition. Bioelectrical parameters were almost fully restored after RWG. An evidence-based and individualized nutrition methodology reduces the adverse events after an RWL and RWG practice, although the impact on the hormonal profile is inevitable.
降体重是格斗运动中常用的一种做法。这包括在比赛前几天快速减重(RWL)以及随后快速增重(RWG)。然而,这种做法通常是基于退役运动员或非专业人士提供的传闻信息进行的,这导致了一些不良事件。本研究旨在评估在监督下进行的RWL/RWG营养期对健康指标、激素浓度和身体成分的急性影响。我们对21名(8名女性:16名男性)意大利泰拳选手进行了一项单臂重复测量(基线、RWL后和RWG后)临床试验。RWL后体重显著降低(-4.1%),而RWL和RWG后葡萄糖利用率显著提高。RWL/RWG后血尿素氮、血脂谱和肌酐均在正常范围内。男性组在RWL和RWG后睾酮显著下降。男性选手在RWL和RWG干预后促甲状腺激素浓度显著降低,但女性在赛前未发现变化。RWG后生物电参数几乎完全恢复。尽管对激素水平的影响不可避免,但基于证据的个性化营养方法可减少RWL和RWG做法后的不良事件。