Suppr超能文献

SARS-CoV-2 进入基因在呼吸道中的表达模式。

Expression Pattern of the SARS-CoV-2 Entry Genes and in the Respiratory Tract.

机构信息

Center for Applied Genomics, The Children's Hospital of Philadelphia, Philadelphia, PA 19104, USA.

Department of Pediatrics, The Perelman School of Medicine, University of Pennsylvania, Philadelphia, PA 19104, USA.

出版信息

Viruses. 2020 Oct 16;12(10):1174. doi: 10.3390/v12101174.

Abstract

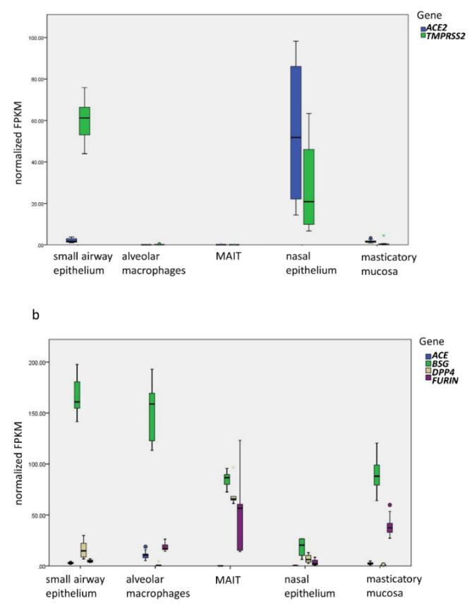
To address the expression pattern of the SARS-CoV-2 receptor ACE2 and the viral priming protease TMPRSS2 in the respiratory tract, this study investigated RNA sequencing transcriptome profiling of samples of airway and oral mucosa. As shown, ACE2 has medium levels of expression in both small airway epithelium and masticatory mucosa, and high levels of expression in nasal epithelium. The expression of ACE2 is low in mucosal-associated invariant T (MAIT) cells and cannot be detected in alveolar macrophages. TMPRSS2 is highly expressed in small airway epithelium and nasal epithelium and has lower expression in masticatory mucosa. Our results provide the molecular basis that the nasal mucosa is the most susceptible locus in the respiratory tract for SARS-CoV-2 infection and consequently for subsequent droplet transmission and should be the focus for protection against SARS-CoV-2 infection.

摘要

为了研究呼吸道中 SARS-CoV-2 受体 ACE2 和病毒引发蛋白酶 TMPRSS2 的表达模式,本研究对气道和口腔黏膜样本的 RNA 测序转录组谱进行了分析。结果表明,ACE2 在小气道上皮和咀嚼黏膜中表达水平中等,在鼻上皮中表达水平较高。ACE2 在黏膜相关不变 T(MAIT)细胞中的表达水平较低,在肺泡巨噬细胞中无法检测到。TMPRSS2 在小气道上皮和鼻上皮中高表达,在咀嚼黏膜中低表达。我们的研究结果为鼻黏膜是呼吸道中最易感染 SARS-CoV-2 的部位,也是随后飞沫传播的部位提供了分子基础,因此应成为预防 SARS-CoV-2 感染的重点。

https://cdn.ncbi.nlm.nih.gov/pmc/blobs/27f0/7589079/ca5af6c63144/viruses-12-01174-g001.jpg

文献AI研究员

20分钟写一篇综述,助力文献阅读效率提升50倍。

立即体验

用中文搜PubMed

大模型驱动的PubMed中文搜索引擎

马上搜索

文档翻译

学术文献翻译模型,支持多种主流文档格式。

立即体验