IRCCS Casa Sollievo della Sofferenza, Laboratory of Bioinformatics, Viale Cappuccini 1, 71013, San Giovanni Rotondo (FG), Italy.
Department of Experimental Medicine, Sapienza University of Rome, Piazzale Aldo Moro 5, 00185, Rome, Italy.
Gigascience. 2020 Oct 21;9(10). doi: 10.1093/gigascience/giaa115.
Some natural systems are big in size, complex, and often characterized by convoluted mechanisms of interaction, such as epistasis, pleiotropy, and trophism, which cannot be immediately ascribed to individual natural events or biological entities but that are often derived from group effects. However, the determination of important groups of entities, such as genes or proteins, in complex systems is considered a computationally hard task.
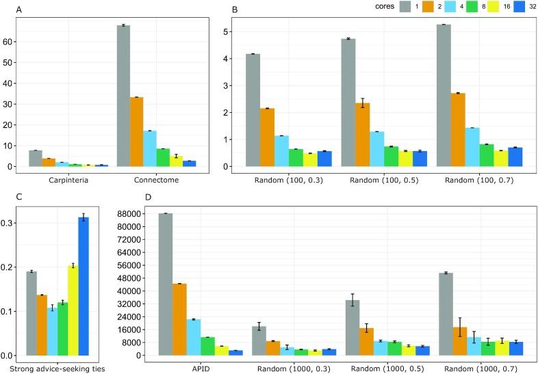
We present Pyntacle, a high-performance framework designed to exploit parallel computing and graph theory to efficiently identify critical groups in big networks and in scenarios that cannot be tackled with traditional network analysis approaches.
We showcase potential applications of Pyntacle with transcriptomics and structural biology data, thereby highlighting the outstanding improvement in terms of computational resources over existing tools.
有些自然系统规模庞大、复杂,并且通常具有复杂的相互作用机制,如上位性、多效性和营养关系,这些机制不能立即归因于单个自然事件或生物实体,而是通常来自于群体效应。然而,在复杂系统中确定重要的实体群体,如基因或蛋白质,被认为是一项计算上的难题。
我们提出了 Pyntacle,这是一个高性能的框架,旨在利用并行计算和图论来有效地识别大型网络中的关键群体,以及那些传统网络分析方法无法解决的场景。
我们通过转录组学和结构生物学数据展示了 Pyntacle 的潜在应用,从而突出了相对于现有工具在计算资源方面的显著改进。