• 文献检索
  • 文档翻译
  • 深度研究
  • 学术资讯
  • Suppr Zotero 插件Zotero 插件
  • 邀请有礼
  • 套餐&价格
  • 历史记录
应用&插件
Suppr Zotero 插件Zotero 插件浏览器插件Mac 客户端Windows 客户端微信小程序
定价
高级版会员购买积分包购买API积分包
服务
文献检索文档翻译深度研究API 文档MCP 服务
关于我们
关于 Suppr公司介绍联系我们用户协议隐私条款
关注我们

Suppr 超能文献

核心技术专利:CN118964589B侵权必究
粤ICP备2023148730 号-1Suppr @ 2026

文献检索

告别复杂PubMed语法,用中文像聊天一样搜索,搜遍4000万医学文献。AI智能推荐,让科研检索更轻松。

立即免费搜索

文件翻译

保留排版,准确专业,支持PDF/Word/PPT等文件格式,支持 12+语言互译。

免费翻译文档

深度研究

AI帮你快速写综述,25分钟生成高质量综述,智能提取关键信息,辅助科研写作。

立即免费体验

沙特阿拉伯[具体物质名称缺失]的体外抗氧化、细胞毒性活性及酚类成分分析

In Vitro Antioxidant, Cytotoxic Activities, and Phenolic Profile of from Saudi Arabia.

作者信息

Alqahtani Ali S, Herqash Rashed N, Noman Omar M, Nasr Fahd A, Alyhya Nouf, Anazi Shamsa H, Farooq Muhammad, Ullah Riaz

机构信息

Department of Pharmacognosy, College of Pharmacy, King Saud University, P.O. Box 2457, Riyadh 11451, Saudi Arabia.

Medicinal, Aromatic and Poisonous Plants Research Center, College of Pharmacy, King Saud University, Riyadh 11451, Saudi Arabia.

出版信息

Evid Based Complement Alternat Med. 2020 Oct 24;2020:8875430. doi: 10.1155/2020/8875430. eCollection 2020.

DOI:10.1155/2020/8875430
PMID:33163085
原文链接:https://pmc.ncbi.nlm.nih.gov/articles/PMC7604592/
Abstract

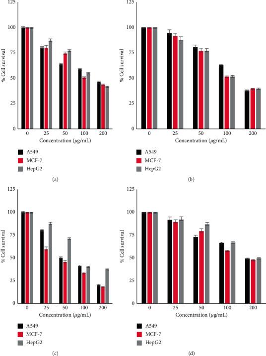
Current treatments for complex diseases have remarkable side effects that negatively impact patients' quality of life. Thus, natural compounds with fewer side effects represent a promising source for safe drugs. The genus is widely used in folk medicine due to its various pharmacological properties. In the present study, the total phenolic content of , which is grown in Saudi Arabia, was assessed using the Folin-Ciocalteau colorimetric method. Scavenging DPPH and ABTS assays were utilized to determine the antioxidant properties of fractions, and MTT assay was used to screen the cytotoxic activity of against various cancer cells. In addition, HPLC-UV was utilized to detect the presence of two phenolic acids, namely, vanillic acid (VA) and gallic acid (GA). Among all fractions tested, chloroform fraction (SGCF) yielded the highest value (125.3 mg·GA/g) in terms of total phenolic content. SGCF also exhibited the highest scavenging activities (76.7 and 74.1%) on both DPPH and ABTS assays, respectively. Similarly, SGCF also possessed the most potent cytotoxic activity against the MCF-7 cell line, with an IC value of 41.8 g/ml. The validated HPLC method confirmed the presence of VA (4.8 g/mg DW) and GA (3.9 g/mg DW) in SGCF. Overall, our data show that had antioxidant and cytotoxic properties. A developed validated HPLC method which could be helpful for quantifying phenolic compounds in was established.

摘要

目前针对复杂疾病的治疗方法具有显著的副作用,会对患者的生活质量产生负面影响。因此,副作用较少的天然化合物是安全药物的一个有前景的来源。该属植物因其多种药理特性而在民间医学中广泛使用。在本研究中,采用福林-西奥尔特法比色法评估了生长在沙特阿拉伯的该植物的总酚含量。利用清除DPPH和ABTS实验来测定该植物提取物的抗氧化性能,并用MTT实验筛选该植物对各种癌细胞的细胞毒性活性。此外,利用高效液相色谱-紫外检测法检测两种酚酸,即香草酸(VA)和没食子酸(GA)的存在。在所有测试的提取物中,氯仿提取物(SGCF)的总酚含量最高(125.3 mg·GA/g)。SGCF在DPPH和ABTS实验中的清除活性也分别最高(76.7%和74.1%)。同样,SGCF对MCF-7细胞系也具有最强的细胞毒性活性,IC值为41.8 μg/ml。经过验证的高效液相色谱法证实了SGCF中存在VA(4.8 μg/mg DW)和GA(3.9 μg/mg DW)。总体而言,我们的数据表明该植物具有抗氧化和细胞毒性特性。建立了一种经过验证的高效液相色谱法,该方法有助于定量该植物中的酚类化合物。

https://cdn.ncbi.nlm.nih.gov/pmc/blobs/78de/7604592/329459195f88/ECAM2020-8875430.004.jpg
https://cdn.ncbi.nlm.nih.gov/pmc/blobs/78de/7604592/679976235a85/ECAM2020-8875430.001.jpg
https://cdn.ncbi.nlm.nih.gov/pmc/blobs/78de/7604592/2bb581ae575a/ECAM2020-8875430.002.jpg
https://cdn.ncbi.nlm.nih.gov/pmc/blobs/78de/7604592/4482a8ce26b4/ECAM2020-8875430.003.jpg
https://cdn.ncbi.nlm.nih.gov/pmc/blobs/78de/7604592/329459195f88/ECAM2020-8875430.004.jpg
https://cdn.ncbi.nlm.nih.gov/pmc/blobs/78de/7604592/679976235a85/ECAM2020-8875430.001.jpg
https://cdn.ncbi.nlm.nih.gov/pmc/blobs/78de/7604592/2bb581ae575a/ECAM2020-8875430.002.jpg
https://cdn.ncbi.nlm.nih.gov/pmc/blobs/78de/7604592/4482a8ce26b4/ECAM2020-8875430.003.jpg
https://cdn.ncbi.nlm.nih.gov/pmc/blobs/78de/7604592/329459195f88/ECAM2020-8875430.004.jpg

相似文献

1
In Vitro Antioxidant, Cytotoxic Activities, and Phenolic Profile of from Saudi Arabia.沙特阿拉伯[具体物质名称缺失]的体外抗氧化、细胞毒性活性及酚类成分分析
Evid Based Complement Alternat Med. 2020 Oct 24;2020:8875430. doi: 10.1155/2020/8875430. eCollection 2020.
2
Antioxidant and Cytotoxic Effect of Barringtonia racemosa and Hibiscus sabdariffa Fruit Extracts in MCF-7 Human Breast Cancer Cell Line.鸡蛋花和玫瑰茄果实提取物对MCF-7人乳腺癌细胞系的抗氧化及细胞毒性作用
Pharmacognosy Res. 2016 Jan-Mar;8(1):66-70. doi: 10.4103/0974-8490.171104.
3
A comparative study on phenolic components and biological activity of some Senecio species in Turkey.土耳其部分千里光属植物酚类成分及生物活性的比较研究
J Pharm Pharmacol. 2014 Nov;66(11):1631-40. doi: 10.1111/jphp.12288. Epub 2014 Jun 19.
4
Measurement of total phenolic content and antioxidant activity of aerial parts of medicinal plant Coronopus didymus.药用植物双肾草地上部分总酚含量及抗氧化活性的测定
Asian Pac J Trop Med. 2017 Aug;10(8):792-801. doi: 10.1016/j.apjtm.2017.07.024. Epub 2017 Aug 19.
5
Optimization of Ultrasonic-Assisted Enzymatic Extraction Conditions for Improving Total Phenolic Content, Antioxidant and Antitumor Activities In Vitro from Trapa quadrispinosa Roxb. Residues.优化超声辅助酶法提取条件以提高菱角残渣中总酚含量、体外抗氧化及抗肿瘤活性
Molecules. 2017 Mar 6;22(3):396. doi: 10.3390/molecules22030396.
6
Phytochemical profiling, antioxidant and anticancer activities of Gastrocotyle hispida growing in Saudi Arabia.沙特阿拉伯生长的硬毛刺缘吸虫的植物化学分析、抗氧化和抗癌活性
Acta Trop. 2019 Mar;191:243-247. doi: 10.1016/j.actatropica.2019.01.013. Epub 2019 Jan 16.
7
Antioxidant potential, total phenolic and total flavonoid contents of Rhododendron anthopogonoides and its protective effect on hypoxia-induced injury in PC12 cells.烈香杜鹃的抗氧化潜力、总酚和总黄酮含量及其对PC12细胞缺氧诱导损伤的保护作用。
BMC Complement Altern Med. 2015 Aug 18;15:287. doi: 10.1186/s12906-015-0820-3.
8
Phytochemical analysis and evaluation of the cytotoxic, antimicrobial and antioxidant activities of essential oils from three Plectranthus species grown in Saudi Arabia.植物化学成分分析及评估产自沙特阿拉伯的三种假荆芥属植物精油的细胞毒性、抗菌和抗氧化活性。
BMC Complement Altern Med. 2018 Aug 10;18(1):237. doi: 10.1186/s12906-018-2302-x.
9
Polarity directed optimization of phytochemical and in vitro biological potential of an indigenous folklore: Quercus dilatata Lindl. ex Royle.本土民间植物化学物质极性定向优化及体外生物学潜力:大叶栎(Quercus dilatata Lindl. ex Royle)
BMC Complement Altern Med. 2017 Aug 3;17(1):386. doi: 10.1186/s12906-017-1894-x.
10
Metabolic profiling and biological activities of the aerial parts of Forssk. growing in Saudi Arabia.生长在沙特阿拉伯的福斯克氏植物地上部分的代谢谱及生物活性
Saudi J Biol Sci. 2021 Oct;28(10):5609-5616. doi: 10.1016/j.sjbs.2021.05.077. Epub 2021 Jun 4.

引用本文的文献

1
Comment on Pyrrolizidine Alkaloids and Terpenes from (Asteraceae): Chemistry and Research Gaps in Africa.评论非洲(菊科)中的吡咯里西啶生物碱和萜类化合物:化学和研究空白。
Molecules. 2022 Dec 13;27(24):8868. doi: 10.3390/molecules27248868.
2
Insecticidal Activity and Free Radical Scavenging Properties of Isolated Phytoconstituents from the Saudi Plant (Hochst.).从沙特植物(Hochst.)中分离得到的植物成分的杀虫活性和自由基清除特性。
Molecules. 2021 Feb 9;26(4):914. doi: 10.3390/molecules26040914.

本文引用的文献

1
Lifestyle, Oxidative Stress, and Antioxidants: Back and Forth in the Pathophysiology of Chronic Diseases.生活方式、氧化应激与抗氧化剂:慢性病病理生理学中的反复作用
Front Physiol. 2020 Jul 2;11:694. doi: 10.3389/fphys.2020.00694. eCollection 2020.
2
New antimicrobial and cytotoxic benzofuran glucoside from L.从 L. 中提取的新型抗菌和细胞毒性苯并呋喃糖苷
Nat Prod Res. 2022 Jan;36(1):136-141. doi: 10.1080/14786419.2020.1768089. Epub 2020 May 25.
3
Anti-Viral Activity of Indian Plants.印度植物的抗病毒活性。
Proc Natl Acad Sci India Sect B Biol Sci. 2012;82(1):209-224. doi: 10.1007/s40011-011-0016-7. Epub 2012 Jan 18.
4
Cytotoxic Evaluation and Anti-Angiogenic Effects of Two Furano-Sesquiterpenoids from Resin.树脂中两种呋喃倍半萜的细胞毒性评价及抗血管生成作用
Molecules. 2020 Mar 13;25(6):1318. doi: 10.3390/molecules25061318.
5
Antioxidants of Natural Plant Origins: From Sources to Food Industry Applications.天然植物来源的抗氧化剂:从来源到食品工业应用。
Molecules. 2019 Nov 15;24(22):4132. doi: 10.3390/molecules24224132.
6
A Review on the Phytochemistry, Medicinal Properties and Pharmacological Activities of 15 Selected Myanmar Medicinal Plants.缅甸 15 种药用植物的植物化学、药用特性和药理学活性研究综述。
Molecules. 2019 Jan 15;24(2):293. doi: 10.3390/molecules24020293.
7
Antioxidant Activity and Phytochemical Characterization of Wedd.Wedd 的抗氧化活性和植物化学成分分析
Molecules. 2018 Sep 29;23(10):2497. doi: 10.3390/molecules23102497.
8
Gallic Acid Content and an Antioxidant Mechanism Are Responsible for the Antiproliferative Activity of 'Ataulfo' Mango Peel on LS180 Cells.没食子酸含量和抗氧化机制是“阿特福利奥”芒果皮对 LS180 细胞的抗增殖活性的原因。
Molecules. 2018 Mar 19;23(3):695. doi: 10.3390/molecules23030695.
9
Medicinal Plants and Natural Active Compounds for Cancer Chemoprevention/Chemotherapy.用于癌症化学预防/化疗的药用植物与天然活性化合物
Evid Based Complement Alternat Med. 2017;2017:7952417. doi: 10.1155/2017/7952417. Epub 2017 Apr 9.
10
Senobtusin, a novel alkaloid with amidine moiety from Senecio obtusatus Wall. ex DC.塞诺布辛,一种来自钝叶千里光(Senecio obtusatus Wall. ex DC.)的含脒基新型生物碱。
Nat Prod Res. 2017 Oct;31(20):2450-2453. doi: 10.1080/14786419.2017.1309532. Epub 2017 Mar 28.