• 文献检索
  • 文档翻译
  • 深度研究
  • 学术资讯
  • Suppr Zotero 插件Zotero 插件
  • 邀请有礼
  • 套餐&价格
  • 历史记录
应用&插件
Suppr Zotero 插件Zotero 插件浏览器插件Mac 客户端Windows 客户端微信小程序
定价
高级版会员购买积分包购买API积分包
服务
文献检索文档翻译深度研究API 文档MCP 服务
关于我们
关于 Suppr公司介绍联系我们用户协议隐私条款
关注我们

Suppr 超能文献

核心技术专利:CN118964589B侵权必究
粤ICP备2023148730 号-1Suppr @ 2026

文献检索

告别复杂PubMed语法,用中文像聊天一样搜索,搜遍4000万医学文献。AI智能推荐,让科研检索更轻松。

立即免费搜索

文件翻译

保留排版,准确专业,支持PDF/Word/PPT等文件格式,支持 12+语言互译。

免费翻译文档

深度研究

AI帮你快速写综述,25分钟生成高质量综述,智能提取关键信息,辅助科研写作。

立即免费体验

抗生素诱导的 DNA 损伤导致 pH 动态平衡的受控丧失和基因组不稳定。

Antibiotic-induced DNA damage results in a controlled loss of pH homeostasis and genome instability.

机构信息

Department of Microbiology, University of Oslo and Oslo University Hospital, Rikshospitalet, Oslo, Norway.

Department of Biology, Masaryk University, Kamenice 5/A7, 625 00, Brno, Czech Republic.

出版信息

Sci Rep. 2020 Nov 10;10(1):19422. doi: 10.1038/s41598-020-76426-2.

DOI:10.1038/s41598-020-76426-2
PMID:33173044
原文链接:https://pmc.ncbi.nlm.nih.gov/articles/PMC7655802/
Abstract

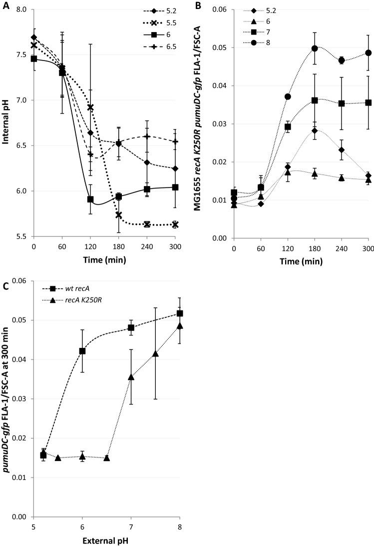
Extracellular pH has been assumed to play little if any role in how bacteria respond to antibiotics and antibiotic resistance development. Here, we show that the intracellular pH of Escherichia coli equilibrates to the environmental pH following treatment with the DNA damaging antibiotic nalidixic acid. We demonstrate that this allows the environmental pH to influence the transcription of various DNA damage response genes and physiological processes such as filamentation. Using purified RecA and a known pH-sensitive mutant variant RecA K250R we show how pH can affect the biochemical activity of a protein central to control of the bacterial DNA damage response system. Finally, two different mutagenesis assays indicate that environmental pH affects antibiotic resistance development. Specifically, at environmental pH's greater than six we find that mutagenesis plays a significant role in producing antibiotic resistant mutants. At pH's less than or equal to 6 the genome appears more stable but extensive filamentation is observed, a phenomenon that has previously been linked to increased survival in the presence of macrophages.

摘要

细胞外 pH 值在细菌对抗生素的反应和抗生素耐药性发展中作用甚微,如果有的话。在这里,我们表明大肠杆菌的细胞内 pH 值在受到 DNA 损伤抗生素萘啶酸处理后与环境 pH 值达到平衡。我们证明,这使得环境 pH 值能够影响各种 DNA 损伤反应基因和生理过程(如丝状化)的转录。使用纯化的 RecA 和已知的 pH 敏感突变变体 RecA K250R,我们展示了 pH 值如何影响控制细菌 DNA 损伤反应系统的关键蛋白的生化活性。最后,两种不同的诱变测定表明环境 pH 值会影响抗生素耐药性的发展。具体来说,在环境 pH 值大于 6 时,我们发现诱变在产生抗生素耐药突变体方面起着重要作用。在 pH 值小于或等于 6 时,基因组似乎更稳定,但会观察到广泛的丝状化,这种现象以前与在巨噬细胞存在下增加生存能力有关。

https://cdn.ncbi.nlm.nih.gov/pmc/blobs/2b1a/7655802/c6fea66ebc91/41598_2020_76426_Fig9_HTML.jpg
https://cdn.ncbi.nlm.nih.gov/pmc/blobs/2b1a/7655802/7e222a638cc0/41598_2020_76426_Fig1_HTML.jpg
https://cdn.ncbi.nlm.nih.gov/pmc/blobs/2b1a/7655802/5f0d9df65ec2/41598_2020_76426_Fig2_HTML.jpg
https://cdn.ncbi.nlm.nih.gov/pmc/blobs/2b1a/7655802/36eb6d131a18/41598_2020_76426_Fig3_HTML.jpg
https://cdn.ncbi.nlm.nih.gov/pmc/blobs/2b1a/7655802/1d26d022e4fc/41598_2020_76426_Fig4_HTML.jpg
https://cdn.ncbi.nlm.nih.gov/pmc/blobs/2b1a/7655802/e0677c260aaf/41598_2020_76426_Fig5_HTML.jpg
https://cdn.ncbi.nlm.nih.gov/pmc/blobs/2b1a/7655802/594c463c7359/41598_2020_76426_Fig6_HTML.jpg
https://cdn.ncbi.nlm.nih.gov/pmc/blobs/2b1a/7655802/85c93f9ec829/41598_2020_76426_Fig7_HTML.jpg
https://cdn.ncbi.nlm.nih.gov/pmc/blobs/2b1a/7655802/089f67e1e3a3/41598_2020_76426_Fig8_HTML.jpg
https://cdn.ncbi.nlm.nih.gov/pmc/blobs/2b1a/7655802/c6fea66ebc91/41598_2020_76426_Fig9_HTML.jpg
https://cdn.ncbi.nlm.nih.gov/pmc/blobs/2b1a/7655802/7e222a638cc0/41598_2020_76426_Fig1_HTML.jpg
https://cdn.ncbi.nlm.nih.gov/pmc/blobs/2b1a/7655802/5f0d9df65ec2/41598_2020_76426_Fig2_HTML.jpg
https://cdn.ncbi.nlm.nih.gov/pmc/blobs/2b1a/7655802/36eb6d131a18/41598_2020_76426_Fig3_HTML.jpg
https://cdn.ncbi.nlm.nih.gov/pmc/blobs/2b1a/7655802/1d26d022e4fc/41598_2020_76426_Fig4_HTML.jpg
https://cdn.ncbi.nlm.nih.gov/pmc/blobs/2b1a/7655802/e0677c260aaf/41598_2020_76426_Fig5_HTML.jpg
https://cdn.ncbi.nlm.nih.gov/pmc/blobs/2b1a/7655802/594c463c7359/41598_2020_76426_Fig6_HTML.jpg
https://cdn.ncbi.nlm.nih.gov/pmc/blobs/2b1a/7655802/85c93f9ec829/41598_2020_76426_Fig7_HTML.jpg
https://cdn.ncbi.nlm.nih.gov/pmc/blobs/2b1a/7655802/089f67e1e3a3/41598_2020_76426_Fig8_HTML.jpg
https://cdn.ncbi.nlm.nih.gov/pmc/blobs/2b1a/7655802/c6fea66ebc91/41598_2020_76426_Fig9_HTML.jpg

相似文献

1
Antibiotic-induced DNA damage results in a controlled loss of pH homeostasis and genome instability.抗生素诱导的 DNA 损伤导致 pH 动态平衡的受控丧失和基因组不稳定。
Sci Rep. 2020 Nov 10;10(1):19422. doi: 10.1038/s41598-020-76426-2.
2
Antibiotic treatment enhances the genome-wide mutation rate of target cells.抗生素治疗会提高靶细胞的全基因组突变率。
Proc Natl Acad Sci U S A. 2016 May 3;113(18):E2498-505. doi: 10.1073/pnas.1601208113. Epub 2016 Apr 18.
3
Elevated mutagenesis does not explain the increased frequency of antibiotic resistant mutants in starved aging colonies.饥饿衰老群体中抗生素抗性突变体的频率增加不能用突变率提高来解释。
PLoS Genet. 2013 Nov;9(11):e1003968. doi: 10.1371/journal.pgen.1003968. Epub 2013 Nov 14.
4
RNA-Mediated Regulation in Acinetobacter baumannii Modulates Stress-Induced Phenotypic Variation.鲍曼不动杆菌中RNA介导的调控调节应激诱导的表型变异。
J Bacteriol. 2017 May 9;199(11). doi: 10.1128/JB.00799-16. Print 2017 Jun 1.
5
SOS independent survival against mitomycin C induced lethality in a rifampicin-nalidixic acid-resistant mutant of Escherichia coli.在利福平-萘啶酸抗性大肠杆菌突变体中,SOS 依赖的生存以抵抗丝裂霉素 C 诱导的致死性。
Mutat Res. 1988 Sep;194(2):109-20. doi: 10.1016/0167-8817(88)90013-2.
6
Two pathways of division inhibition in UV-irradiated E. coli.紫外线照射的大肠杆菌中两种分裂抑制途径。
Mol Gen Genet. 1983;190(2):309-14. doi: 10.1007/BF00330656.
7
groEL and dnaK genes of Escherichia coli are induced by UV irradiation and nalidixic acid in an htpR+-dependent fashion.大肠杆菌的groEL和dnaK基因以依赖htpR⁺的方式被紫外线照射和萘啶酸诱导。
Proc Natl Acad Sci U S A. 1984 Mar;81(5):1499-503. doi: 10.1073/pnas.81.5.1499.
8
Genetic control of damage-inducible restriction alleviation in Escherichia coli K12: an SOS function not repressed by lexA.大肠杆菌K12中损伤诱导性限制缓解的遗传控制:一种不受lexA抑制的SOS功能。
Mol Gen Genet. 1984;197(2):297-303. doi: 10.1007/BF00330977.
9
Genetic analysis of the requirements for SOS induction by nalidixic acid in Escherichia coli.大肠杆菌中萘啶酸诱导SOS反应的需求的遗传分析。
Gene. 2005 Aug 15;356:69-76. doi: 10.1016/j.gene.2005.04.029.
10
A mutant of Escherichia coli hyper-resistant to a number of DNA damaging agents: location of the mutational site.
J Photochem Photobiol B. 1996 Oct;36(1):47-53. doi: 10.1016/S1011-1344(96)07329-0.

引用本文的文献

1
Escherichia coli type I toxin TisB exclusively controls proton depolarization following antibiotic induced DNA damage.大肠杆菌I型毒素TisB专门控制抗生素诱导的DNA损伤后的质子去极化。
Sci Rep. 2025 Apr 14;15(1):12774. doi: 10.1038/s41598-025-96136-x.
2
Exploiting β-Lactams-Induced Lysis and DNA Fragmentation for Rapid Molecular Antimicrobial Susceptibility Testing of Neisseria Gonorrhoeae via Dual-Digital PCR.利用β-内酰胺诱导的裂解和DNA片段化通过双数字PCR对淋病奈瑟菌进行快速分子药敏试验
Adv Sci (Weinh). 2024 Dec;11(46):e2405272. doi: 10.1002/advs.202405272. Epub 2024 Oct 18.
3
Genome integrity sensing by the broad-spectrum Hachiman antiphage defense complex.

本文引用的文献

1
ATP-Dependent Persister Formation in Escherichia coli.大肠杆菌中依赖ATP的持留菌形成
mBio. 2017 Feb 7;8(1):e02267-16. doi: 10.1128/mBio.02267-16.
2
Mechanisms of bacterial persistence during stress and antibiotic exposure.细菌在应激和抗生素暴露期间的持续存在机制。
Science. 2016 Dec 16;354(6318). doi: 10.1126/science.aaf4268.
3
Insights into the complex levels of regulation imposed on Escherichia coli DNA polymerase V.对大肠杆菌DNA聚合酶V所施加的复杂调控水平的见解。
广谱八幡噬菌体防御复合物的基因组完整性感应。
Cell. 2024 Nov 27;187(24):6914-6928.e20. doi: 10.1016/j.cell.2024.09.020. Epub 2024 Oct 11.
4
Relevance of charged and polar amino acids for functionality of membrane toxin TisB.带电荷和极性氨基酸对膜毒素TisB 功能的相关性。
Sci Rep. 2024 Oct 3;14(1):22998. doi: 10.1038/s41598-024-73879-7.
5
Relevance of the Adjuvant Effect between Cellular Homeostasis and Resistance to Antibiotics in Gram-Negative Bacteria with Pathogenic Capacity: A Study of .具有致病能力的革兰氏阴性菌中细胞内稳态与抗生素耐药性之间佐剂效应的相关性:一项关于……的研究
Antibiotics (Basel). 2024 May 26;13(6):490. doi: 10.3390/antibiotics13060490.
6
TisB protein is the single molecular determinant underlying multiple downstream effects of ofloxacin in .TisB 蛋白是氧氟沙星在 中引发多种下游效应的单一分子决定因素。
Sci Adv. 2024 Mar 29;10(13):eadk1577. doi: 10.1126/sciadv.adk1577. Epub 2024 Mar 27.
7
Hachiman is a genome integrity sensor.八幡是一种基因组完整性传感器。
bioRxiv. 2024 Feb 29:2024.02.29.582594. doi: 10.1101/2024.02.29.582594.
8
Prediction of tsunami of resistance to some antibiotics is not far-fetched which used during COVID-19 pandemic.预测在新冠疫情期间使用的某些抗生素出现耐药性海啸并非牵强之事。
J Clin Lab Anal. 2023 Aug;37(15-16):e24959. doi: 10.1002/jcla.24959. Epub 2023 Aug 31.
9
Microbial Growth under Limiting Conditions-Future Perspectives.有限条件下的微生物生长——未来展望
Microorganisms. 2023 Jun 23;11(7):1641. doi: 10.3390/microorganisms11071641.
10
Regulation of phosphate starvation-specific responses in .调控. 磷酸盐饥饿特异性响应
Microbiology (Reading). 2023 Mar;169(3). doi: 10.1099/mic.0.001312.
DNA Repair (Amst). 2016 Aug;44:42-50. doi: 10.1016/j.dnarep.2016.05.005. Epub 2016 May 13.
4
Distinguishing between resistance, tolerance and persistence to antibiotic treatment.区分抗生素治疗的耐药性、耐受性和持久性。
Nat Rev Microbiol. 2016 Apr;14(5):320-30. doi: 10.1038/nrmicro.2016.34.
5
Bacterial Proliferation: Keep Dividing and Don't Mind the Gap.细菌增殖:持续分裂,无视间隙。
PLoS Genet. 2015 Dec 29;11(12):e1005757. doi: 10.1371/journal.pgen.1005757. eCollection 2015 Dec.
6
Rad51 Paralogs Remodel Pre-synaptic Rad51 Filaments to Stimulate Homologous Recombination.Rad51旁系同源物重塑突触前Rad51细丝以刺激同源重组。
Cell. 2015 Jul 16;162(2):271-286. doi: 10.1016/j.cell.2015.06.015.
7
Dynamic growth and shrinkage govern the pH dependence of RecA filament stability.动态生长和收缩决定了RecA丝稳定性对pH的依赖性。
PLoS One. 2015 Jan 21;10(1):e0115611. doi: 10.1371/journal.pone.0115611. eCollection 2015.
8
The influence of urinary pH on antibiotic efficacy against bacterial uropathogens.尿液pH值对针对尿路致病菌的抗生素疗效的影响。
Urology. 2014 Sep;84(3):731.e1-7. doi: 10.1016/j.urology.2014.04.048.
9
Contrasting phagosome pH regulation and maturation in human M1 and M2 macrophages.人类M1和M2巨噬细胞中吞噬体pH调节与成熟的对比
Mol Biol Cell. 2014 Nov 1;25(21):3330-41. doi: 10.1091/mbc.E14-05-0967. Epub 2014 Aug 27.
10
Direct imaging of RecA nucleation and growth on single molecules of SSB-coated ssDNA.直接观察 RecA 在单分子 SSB 包被 ssDNA 上的成核和生长。
Nature. 2012 Nov 8;491(7423):274-8. doi: 10.1038/nature11598. Epub 2012 Oct 24.