• 文献检索
  • 文档翻译
  • 深度研究
  • 学术资讯
  • Suppr Zotero 插件Zotero 插件
  • 邀请有礼
  • 套餐&价格
  • 历史记录
应用&插件
Suppr Zotero 插件Zotero 插件浏览器插件Mac 客户端Windows 客户端微信小程序
定价
高级版会员购买积分包购买API积分包
服务
文献检索文档翻译深度研究API 文档MCP 服务
关于我们
关于 Suppr公司介绍联系我们用户协议隐私条款
关注我们

Suppr 超能文献

核心技术专利:CN118964589B侵权必究
粤ICP备2023148730 号-1Suppr @ 2026

文献检索

告别复杂PubMed语法,用中文像聊天一样搜索,搜遍4000万医学文献。AI智能推荐,让科研检索更轻松。

立即免费搜索

文件翻译

保留排版,准确专业,支持PDF/Word/PPT等文件格式,支持 12+语言互译。

免费翻译文档

深度研究

AI帮你快速写综述,25分钟生成高质量综述,智能提取关键信息,辅助科研写作。

立即免费体验

FEV/FVC 比值及其与呼吸系统症状的相关性——一项瑞典普通人群研究。

The ratio FEV /FVC and its association to respiratory symptoms-A Swedish general population study.

机构信息

Occupational and Environmental Medicine, School of Public Health and Community Medicine, Sahlgrenska Academy, University of Gothenburg, Gothenburg, Sweden.

Department of Occupational and Environmental Medicine, Sahlgrenska University Hospital, Gothenburg, Sweden.

出版信息

Clin Physiol Funct Imaging. 2021 Mar;41(2):181-191. doi: 10.1111/cpf.12684. Epub 2020 Dec 22.

DOI:
10.1111/cpf.12684
PMID:33284499
原文链接:https://pmc.ncbi.nlm.nih.gov/articles/PMC7898324/
Abstract

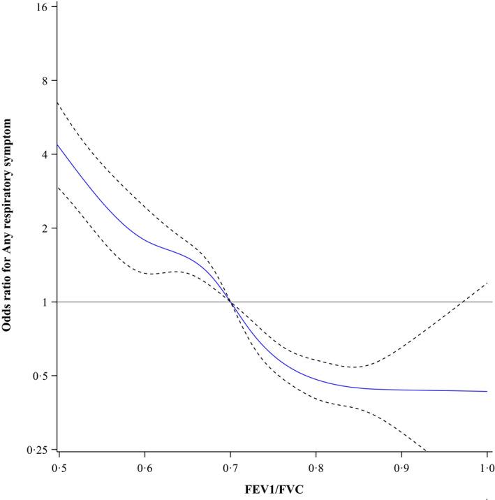
Chronic airflow limitation (CAL) can be defined as fixed ratio of forced expiratory volume in 1 s (FEV )/forced vital capacity (FVC) < 0.70 after bronchodilation. It is unclear which is the most optimal ratio in relation to respiratory morbidity. The aim was to investigate to what extent different ratios of FEV /FVC were associated with any respiratory symptom. In a cross-sectional general population study, 15,128 adults (50-64 years of age), 7,120 never-smokers and 8,008 ever-smokers completed a respiratory questionnaire and performed FEV and FVC after bronchodilation. We calculated different ratios of FEV /FVC from 0.40 to 1.0 using 0.70 as reference category. We analysed odds ratios (OR) between different ratios and any respiratory symptom using adjusted multivariable logistic regression. Among all subjects, regardless of smoking habits, the lowest odds for any respiratory symptom was at FEV /FVC = 0.82, OR 0.48 (95% CI 0.41-0.56). Among never-smokers, the lowest odds for any respiratory symptom was at FEV /FVC = 0.81, OR 0.53 (95% CI 0.41-0.70). Among ever-smokers, the odds for any respiratory symptom was lowest at FEV /FVC = 0.81, OR 0.43 (95% CI 0.16-1.19), although the rate of inclining in odds was small in the upper part, that is FEV /FVC = 0.85 showed similar odds, OR 0.45 (95% CI 0.38-0.55). We concluded that the odds for any respiratory symptoms continuously decreased with higher FEV /FVC ratios and reached a minimum around 0.80-0.85, with similar results among never-smokers. These results indicate that the optimal threshold associated with respiratory symptoms may be higher than 0.70 and this should be further investigated in prospective longitudinal studies.

摘要

慢性气流受限(CAL)可定义为支气管扩张后 1 秒用力呼气量(FEV )/用力肺活量(FVC)的固定比值<0.70。目前尚不清楚与呼吸发病率相关的最佳比值是多少。目的是研究不同的 FEV/FVC 比值与任何呼吸系统症状的关系。在一项横断面的一般人群研究中,共有 15128 名成年人(50-64 岁)、7120 名从不吸烟者和 8008 名曾吸烟者完成了一份呼吸问卷,并在支气管扩张后进行了 FEV 和 FVC 的检测。我们使用 0.70 作为参考类别,计算了 0.40 至 1.0 之间不同的 FEV/FVC 比值。我们使用调整后的多变量逻辑回归分析了不同比值与任何呼吸系统症状之间的比值比(OR)。在所有研究对象中,无论吸烟习惯如何,FEV/FVC 比值最低(0.82)时,任何呼吸系统症状的几率最低,比值比(OR)为 0.48(95%可信区间 0.41-0.56)。从不吸烟者中,FEV/FVC 比值最低(0.81)时,任何呼吸系统症状的几率最低,比值比(OR)为 0.53(95%可信区间 0.41-0.70)。在曾吸烟者中,FEV/FVC 比值最低(0.81)时,任何呼吸系统症状的几率最低,比值比(OR)为 0.43(95%可信区间 0.16-1.19),尽管在较高比值时,几率的上升幅度较小,即 FEV/FVC 比值为 0.85 时,几率相似,比值比(OR)为 0.45(95%可信区间 0.38-0.55)。我们得出结论,随着 FEV/FVC 比值的增加,任何呼吸系统症状的几率呈连续下降趋势,在 0.80-0.85 左右达到最低值,从不吸烟者中也得到了类似的结果。这些结果表明,与呼吸症状相关的最佳阈值可能高于 0.70,这需要在前瞻性纵向研究中进一步探讨。

https://cdn.ncbi.nlm.nih.gov/pmc/blobs/85af/7898324/56d839b7de8c/CPF-41-181-g006.jpg
https://cdn.ncbi.nlm.nih.gov/pmc/blobs/85af/7898324/04e968b3b27c/CPF-41-181-g001.jpg
https://cdn.ncbi.nlm.nih.gov/pmc/blobs/85af/7898324/f6db90e53456/CPF-41-181-g002.jpg
https://cdn.ncbi.nlm.nih.gov/pmc/blobs/85af/7898324/b781e98f1d29/CPF-41-181-g003.jpg
https://cdn.ncbi.nlm.nih.gov/pmc/blobs/85af/7898324/f1df2bf2a5f9/CPF-41-181-g004.jpg
https://cdn.ncbi.nlm.nih.gov/pmc/blobs/85af/7898324/94e37ab517ed/CPF-41-181-g005.jpg
https://cdn.ncbi.nlm.nih.gov/pmc/blobs/85af/7898324/56d839b7de8c/CPF-41-181-g006.jpg
https://cdn.ncbi.nlm.nih.gov/pmc/blobs/85af/7898324/04e968b3b27c/CPF-41-181-g001.jpg
https://cdn.ncbi.nlm.nih.gov/pmc/blobs/85af/7898324/f6db90e53456/CPF-41-181-g002.jpg
https://cdn.ncbi.nlm.nih.gov/pmc/blobs/85af/7898324/b781e98f1d29/CPF-41-181-g003.jpg
https://cdn.ncbi.nlm.nih.gov/pmc/blobs/85af/7898324/f1df2bf2a5f9/CPF-41-181-g004.jpg
https://cdn.ncbi.nlm.nih.gov/pmc/blobs/85af/7898324/94e37ab517ed/CPF-41-181-g005.jpg
https://cdn.ncbi.nlm.nih.gov/pmc/blobs/85af/7898324/56d839b7de8c/CPF-41-181-g006.jpg

相似文献

1
The ratio FEV /FVC and its association to respiratory symptoms-A Swedish general population study.FEV/FVC 比值及其与呼吸系统症状的相关性——一项瑞典普通人群研究。
Clin Physiol Funct Imaging. 2021 Mar;41(2):181-191. doi: 10.1111/cpf.12684. Epub 2020 Dec 22.
2
Chronic airflow limitation and its relation to respiratory symptoms among ever-smokers and never-smokers: a cross-sectional study.慢性气流受限及其与曾吸烟者和从不吸烟者呼吸症状的关系:一项横断面研究。
BMJ Open Respir Res. 2020 Aug;7(1). doi: 10.1136/bmjresp-2020-000600.
3
Relationship between FEV1 reduction and respiratory symptoms in the general population.普通人群中第一秒用力呼气容积降低与呼吸道症状之间的关系。
Eur Respir J. 2003 Apr;21(4):658-63. doi: 10.1183/09031936.03.00069603.
4
Association of Nonobstructive Chronic Bronchitis With Respiratory Health Outcomes in Adults.非阻塞性慢性支气管炎与成人呼吸系统健康结局的关联。
JAMA Intern Med. 2020 May 1;180(5):676-686. doi: 10.1001/jamainternmed.2020.0104.
5
Heterogeneous burden of lung disease in smokers with borderline airflow obstruction.伴有交界性气流阻塞的吸烟者肺部疾病的异质性负担。
Respir Res. 2018 Nov 20;19(1):223. doi: 10.1186/s12931-018-0911-z.
6
Impact of active and passive smoking as risk factors for asthma and COPD in women presenting to primary care in Syria: first report by the WHO-GARD survey group.主动和被动吸烟对在叙利亚初级保健就诊的女性哮喘和 COPD 的影响:世卫组织全球哮喘和呼吸疾病监测(GARD)调查小组的首次报告。
Int J Chron Obstruct Pulmon Dis. 2013;8:473-82. doi: 10.2147/COPD.S50551. Epub 2013 Oct 2.
7
Overweight and obesity may lead to under-diagnosis of airflow limitation: findings from the Copenhagen City Heart Study.超重和肥胖可能导致气流受限诊断不足:哥本哈根城市心脏研究的结果
COPD. 2015 Feb;12(1):5-13. doi: 10.3109/15412555.2014.933955. Epub 2014 Oct 7.
8
[Study of the clinical phenotype of symptomatic chronic airways disease by hierarchical cluster analysis and two-step cluster analyses].[采用层次聚类分析和两步聚类分析对症状性慢性气道疾病临床表型的研究]
Zhonghua Nei Ke Za Zhi. 2016 Sep 1;55(9):679-83. doi: 10.3760/cma.j.issn.0578-1426.2016.09.005.
9
Combined Forced Expiratory Volume in 1 Second and Forced Vital Capacity Bronchodilator Response, Exacerbations, and Mortality in Chronic Obstructive Pulmonary Disease.一秒用力呼气容积与用力肺活量的支气管扩张剂反应、慢性阻塞性肺疾病加重和死亡率的关系。
Ann Am Thorac Soc. 2019 Jul;16(7):826-835. doi: 10.1513/AnnalsATS.201809-601OC.
10
Smoking, respiratory symptoms, lung function and life expectancy: A longitudinal study of ageing.吸烟、呼吸道症状、肺功能与预期寿命:老龄化的纵向研究。
Respirology. 2024 Jun;29(6):471-478. doi: 10.1111/resp.14683. Epub 2024 Feb 25.

引用本文的文献

1
Increased breathlessness in post-COVID syndrome despite normal breathing patterns in a rebreathing challenge.在重复呼吸激发试验中呼吸模式正常的情况下,新冠后综合征患者呼吸急促症状仍加重。
Sci Rep. 2025 Jul 29;15(1):27666. doi: 10.1038/s41598-025-11728-x.
2
Predicting VO Using Lung Function and Three-Dimensional (3D) Allometry Provides New Insights into the Allometric Cascade (M).利用肺功能和三维(3D)异速生长法预测肺活量为异速生长级联反应提供了新见解(M)。
Sports Med. 2025 Apr 13. doi: 10.1007/s40279-025-02208-3.
3
Risk Factors of FEV₁/FVC Decline in COPD Patients.

本文引用的文献

1
Chronic airflow limitation and its relation to respiratory symptoms among ever-smokers and never-smokers: a cross-sectional study.慢性气流受限及其与曾吸烟者和从不吸烟者呼吸症状的关系:一项横断面研究。
BMJ Open Respir Res. 2020 Aug;7(1). doi: 10.1136/bmjresp-2020-000600.
2
Defining Airflow Obstruction: More Data, Further Clarity.定义气流阻塞:更多数据,进一步明晰。
Am J Respir Crit Care Med. 2020 Sep 1;202(5):649-650. doi: 10.1164/rccm.202005-1551ED.
3
Exercise Tolerance according to the Definition of Airflow Obstruction in Smokers.
慢性阻塞性肺疾病患者第一秒用力呼气容积/用力肺活量下降的危险因素。
J Korean Med Sci. 2025 Feb 17;40(6):e32. doi: 10.3346/jkms.2025.40.e32.
4
Deep learning for detecting and early predicting chronic obstructive pulmonary disease from spirogram time series.基于肺活量图时间序列的深度学习用于慢性阻塞性肺疾病的检测和早期预测。
NPJ Syst Biol Appl. 2025 Feb 15;11(1):18. doi: 10.1038/s41540-025-00489-y.
5
Strength, power and aerobic capacity of transgender athletes: a cross-sectional study.跨性别运动员的力量、功率和有氧能力:一项横断面研究。
Br J Sports Med. 2024 May 28;58(11):586-597. doi: 10.1136/bjsports-2023-108029.
6
Quest for Biomarkers of Positive Health: A Review.探寻积极健康的生物标志物:综述
Indian J Community Med. 2023 May-Jun;48(3):382-389. doi: 10.4103/ijcm.ijcm_480_22. Epub 2023 May 30.
7
Miniaturized retractable thin-film sensor for wearable multifunctional respiratory monitoring.用于可穿戴式多功能呼吸监测的微型可伸缩薄膜传感器。
Nano Res. 2023 Feb 8:1-9. doi: 10.1007/s12274-023-5420-1.
8
Concentration-dependent increase in symptoms due to diesel exhaust in a controlled human exposure study.在一项人体受控暴露研究中,柴油废气引起的症状与浓度相关增加。
Part Fibre Toxicol. 2022 Nov 23;19(1):66. doi: 10.1186/s12989-022-00506-6.
9
Lung Function Decline in Adult Asthmatics-A 10-Year Follow-Up Retrospective and Prospective Study.成人哮喘患者的肺功能下降——一项为期10年的随访回顾性和前瞻性研究。
Diagnostics (Basel). 2021 Sep 7;11(9):1637. doi: 10.3390/diagnostics11091637.
根据吸烟者气流阻塞定义的运动耐量
Am J Respir Crit Care Med. 2020 Sep 1;202(5):760-762. doi: 10.1164/rccm.202002-0298LE.
4
Assessment of Global Lung Function Initiative (GLI) reference equations for diffusing capacity in relation to respiratory burden in the Swedish CArdioPulmonary bioImage Study (SCAPIS).在瑞典心肺生物影像研究(SCAPIS)中,评估全球肺功能倡议(GLI)关于弥散能力的参考方程与呼吸负担的关系。
Eur Respir J. 2020 Aug 13;56(2). doi: 10.1183/13993003.01995-2019. Print 2020 Aug.
5
Restrictive spirometric pattern and true pulmonary restriction in a general population sample aged 50 - 64 years.50-64 岁一般人群中存在限制性肺通气功能障碍模式和真正的肺限制性。
BMC Pulm Med. 2020 Feb 27;20(1):55. doi: 10.1186/s12890-020-1096-z.
6
COPDGene 2019: Redefining the Diagnosis of Chronic Obstructive Pulmonary Disease.慢性阻塞性肺疾病基因研究(COPDGene)2019:重新定义慢性阻塞性肺疾病的诊断
Chronic Obstr Pulm Dis. 2019 Nov;6(5):384-399. doi: 10.15326/jcopdf.6.5.2019.0149.
7
The association of body mass index, weight gain and central obesity with activity-related breathlessness: the Swedish Cardiopulmonary Bioimage Study.体重指数、体重增加和中心性肥胖与活动相关呼吸困难的关系:瑞典心肺生物影像学研究。
Thorax. 2019 Oct;74(10):958-964. doi: 10.1136/thoraxjnl-2019-213349. Epub 2019 Aug 21.
8
Prognostic significance of chronic respiratory symptoms in individuals with normal spirometry.肺功能正常者慢性呼吸系统症状的预后意义。
Eur Respir J. 2019 Sep 19;54(3). doi: 10.1183/13993003.00734-2019. Print 2019 Sep.
9
Discriminative Accuracy of FEV1:FVC Thresholds for COPD-Related Hospitalization and Mortality.FEV1:FVC 阈值对 COPD 相关住院和死亡的鉴别准确性。
JAMA. 2019 Jun 25;321(24):2438-2447. doi: 10.1001/jama.2019.7233.
10
Global Strategy for the Diagnosis, Management, and Prevention of Chronic Obstructive Lung Disease: the GOLD science committee report 2019.全球慢性阻塞性肺疾病诊断、管理和预防策略:GOLD 科学委员会报告 2019.
Eur Respir J. 2019 May 18;53(5). doi: 10.1183/13993003.00164-2019. Print 2019 May.