• 文献检索
  • 文档翻译
  • 深度研究
  • 学术资讯
  • Suppr Zotero 插件Zotero 插件
  • 邀请有礼
  • 套餐&价格
  • 历史记录
应用&插件
Suppr Zotero 插件Zotero 插件浏览器插件Mac 客户端Windows 客户端微信小程序
定价
高级版会员购买积分包购买API积分包
服务
文献检索文档翻译深度研究API 文档MCP 服务
关于我们
关于 Suppr公司介绍联系我们用户协议隐私条款
关注我们

Suppr 超能文献

核心技术专利:CN118964589B侵权必究
粤ICP备2023148730 号-1Suppr @ 2026

文献检索

告别复杂PubMed语法,用中文像聊天一样搜索,搜遍4000万医学文献。AI智能推荐,让科研检索更轻松。

立即免费搜索

文件翻译

保留排版,准确专业,支持PDF/Word/PPT等文件格式,支持 12+语言互译。

免费翻译文档

深度研究

AI帮你快速写综述,25分钟生成高质量综述,智能提取关键信息,辅助科研写作。

立即免费体验

扩散系数和永久电荷对离子通道反转电位的影响。

Effects of Diffusion Coefficients and Permanent Charge on Reversal Potentials in Ionic Channels.

作者信息

Mofidi Hamid, Eisenberg Bob, Liu Weishi

机构信息

Department of Mathematics, University of Kansas, Lawrence, KS 66045, USA.

Department of Physiology and Biophysics, Rush University, Chicago, IL 60612, USA.

出版信息

Entropy (Basel). 2020 Mar 12;22(3):325. doi: 10.3390/e22030325.

DOI:10.3390/e22030325
PMID:33286099
原文链接:https://pmc.ncbi.nlm.nih.gov/articles/PMC7516782/
Abstract

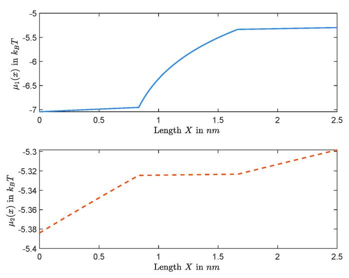
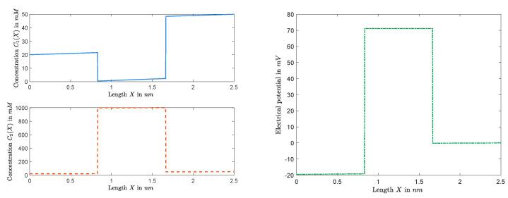
In this work, the dependence of reversal potentials and zero-current fluxes on diffusion coefficients are examined for ionic flows through membrane channels. The study is conducted for the setup of a simple structure defined by the profile of permanent charges with two mobile ion species, one positively charged (cation) and one negatively charged (anion). Numerical observations are obtained from analytical results established using geometric singular perturbation analysis of classical Poisson-Nernst-Planck models. For 1:1 ionic mixtures with arbitrary diffusion constants, Mofidi and Liu (arXiv:1909.01192) conducted a rigorous mathematical analysis and derived an equation for reversal potentials. We summarize and extend these results with numerical observations for biological relevant situations. The numerical investigations on profiles of the electrochemical potentials, ion concentrations, and electrical potential across ion channels are also presented for the zero-current case. Moreover, the dependence of current and fluxes on voltages and permanent charges is investigated. In the opinion of the authors, many results in the paper are not intuitive, and it is difficult, if not impossible, to reveal all cases without investigations of this type.

摘要

在这项工作中,研究了通过膜通道的离子流的反转电位和零电流通量对扩散系数的依赖性。该研究针对由具有两种可移动离子物种(一种带正电(阳离子)和一种带负电(阴离子))的永久电荷分布所定义的简单结构设置进行。数值观测结果来自使用经典泊松 - 能斯特 - 普朗克模型的几何奇异摄动分析建立的解析结果。对于具有任意扩散常数的1:1离子混合物,莫菲迪和刘(arXiv:1909.01192)进行了严格的数学分析并推导了反转电位的方程。我们用生物相关情况的数值观测结果总结并扩展了这些结果。还给出了零电流情况下跨离子通道的电化学势、离子浓度和电势分布的数值研究。此外,研究了电流和通量对电压和永久电荷的依赖性。作者认为,本文中的许多结果并不直观,如果不进行此类研究,很难(即使不是不可能)揭示所有情况。

https://cdn.ncbi.nlm.nih.gov/pmc/blobs/9e01/7516782/279278b8c62b/entropy-22-00325-g012.jpg
https://cdn.ncbi.nlm.nih.gov/pmc/blobs/9e01/7516782/87c101460e28/entropy-22-00325-g001.jpg
https://cdn.ncbi.nlm.nih.gov/pmc/blobs/9e01/7516782/8dccf0764e0a/entropy-22-00325-g002.jpg
https://cdn.ncbi.nlm.nih.gov/pmc/blobs/9e01/7516782/12d66a177955/entropy-22-00325-g003.jpg
https://cdn.ncbi.nlm.nih.gov/pmc/blobs/9e01/7516782/2215a76da6fd/entropy-22-00325-g004.jpg
https://cdn.ncbi.nlm.nih.gov/pmc/blobs/9e01/7516782/69abce1542b7/entropy-22-00325-g005.jpg
https://cdn.ncbi.nlm.nih.gov/pmc/blobs/9e01/7516782/87545b9f6eee/entropy-22-00325-g006.jpg
https://cdn.ncbi.nlm.nih.gov/pmc/blobs/9e01/7516782/a8731541cde5/entropy-22-00325-g007.jpg
https://cdn.ncbi.nlm.nih.gov/pmc/blobs/9e01/7516782/7cbdef4a1f05/entropy-22-00325-g008.jpg
https://cdn.ncbi.nlm.nih.gov/pmc/blobs/9e01/7516782/ee2720f1aa21/entropy-22-00325-g009.jpg
https://cdn.ncbi.nlm.nih.gov/pmc/blobs/9e01/7516782/8d45461c0d13/entropy-22-00325-g010.jpg
https://cdn.ncbi.nlm.nih.gov/pmc/blobs/9e01/7516782/ded6c9df56e1/entropy-22-00325-g011.jpg
https://cdn.ncbi.nlm.nih.gov/pmc/blobs/9e01/7516782/279278b8c62b/entropy-22-00325-g012.jpg
https://cdn.ncbi.nlm.nih.gov/pmc/blobs/9e01/7516782/87c101460e28/entropy-22-00325-g001.jpg
https://cdn.ncbi.nlm.nih.gov/pmc/blobs/9e01/7516782/8dccf0764e0a/entropy-22-00325-g002.jpg
https://cdn.ncbi.nlm.nih.gov/pmc/blobs/9e01/7516782/12d66a177955/entropy-22-00325-g003.jpg
https://cdn.ncbi.nlm.nih.gov/pmc/blobs/9e01/7516782/2215a76da6fd/entropy-22-00325-g004.jpg
https://cdn.ncbi.nlm.nih.gov/pmc/blobs/9e01/7516782/69abce1542b7/entropy-22-00325-g005.jpg
https://cdn.ncbi.nlm.nih.gov/pmc/blobs/9e01/7516782/87545b9f6eee/entropy-22-00325-g006.jpg
https://cdn.ncbi.nlm.nih.gov/pmc/blobs/9e01/7516782/a8731541cde5/entropy-22-00325-g007.jpg
https://cdn.ncbi.nlm.nih.gov/pmc/blobs/9e01/7516782/7cbdef4a1f05/entropy-22-00325-g008.jpg
https://cdn.ncbi.nlm.nih.gov/pmc/blobs/9e01/7516782/ee2720f1aa21/entropy-22-00325-g009.jpg
https://cdn.ncbi.nlm.nih.gov/pmc/blobs/9e01/7516782/8d45461c0d13/entropy-22-00325-g010.jpg
https://cdn.ncbi.nlm.nih.gov/pmc/blobs/9e01/7516782/ded6c9df56e1/entropy-22-00325-g011.jpg
https://cdn.ncbi.nlm.nih.gov/pmc/blobs/9e01/7516782/279278b8c62b/entropy-22-00325-g012.jpg

相似文献

1
Effects of Diffusion Coefficients and Permanent Charge on Reversal Potentials in Ionic Channels.扩散系数和永久电荷对离子通道反转电位的影响。
Entropy (Basel). 2020 Mar 12;22(3):325. doi: 10.3390/e22030325.
2
Mathematical Analysis on Current-Voltage Relations via Classical Poisson-Nernst-Planck Systems with Nonzero Permanent Charges under Relaxed Electroneutrality Boundary Conditions.在松弛电中性边界条件下,基于具有非零永久电荷的经典泊松 - 能斯特 - 普朗克系统对电流 - 电压关系的数学分析
Membranes (Basel). 2023 Jan 19;13(2):131. doi: 10.3390/membranes13020131.
3
New insights into the effects of small permanent charge on ionic flows: A higher order analysis.小永久电荷对离子流影响的新见解:高阶分析
Math Biosci Eng. 2024 May 24;21(5):6042-6076. doi: 10.3934/mbe.2024266.
4
Competition between Cations via Classical Poisson-Nernst-Planck Models with Nonzero but Small Permanent Charges.通过具有非零但小的永久电荷的经典泊松-能斯特-普朗克模型研究阳离子之间的竞争
Membranes (Basel). 2021 Mar 26;11(4):236. doi: 10.3390/membranes11040236.
5
Dynamics of ionic flows via Poisson-Nernst-Planck systems with local hard-sphere potentials: Competition between cations.通过具有局部硬球势的泊松-纳斯特-普朗克系统的离子流动力学:阳离子之间的竞争。
Math Biosci Eng. 2020 May 22;17(4):3736-3766. doi: 10.3934/mbe.2020210.
6
Permeation through an open channel: Poisson-Nernst-Planck theory of a synthetic ionic channel.通过开放通道的渗透:合成离子通道的泊松-能斯特-普朗克理论
Biophys J. 1997 Jan;72(1):97-116. doi: 10.1016/S0006-3495(97)78650-8.
7
Ion permeation and glutamate residues linked by Poisson-Nernst-Planck theory in L-type calcium channels.通过泊松-能斯特-普朗克理论在L型钙通道中建立的离子渗透与谷氨酸残基的联系
Biophys J. 1998 Sep;75(3):1287-305. doi: 10.1016/S0006-3495(98)74048-2.
8
Finite ion size effects on I-V relations via Poisson-Nernst-Planck systems with two cations: A case study.通过具有两种阳离子的泊松-能斯特-普朗克系统研究有限离子尺寸对电流-电压关系的影响:一个案例研究。
Math Biosci Eng. 2024 Jan 5;21(2):1899-1916. doi: 10.3934/mbe.2024084.
9
Fractional Poisson-Nernst-Planck Model for Ion Channels I: Basic Formulations and Algorithms.离子通道的分数阶泊松-能斯特-普朗克模型I:基本公式与算法
Bull Math Biol. 2017 Nov;79(11):2696-2726. doi: 10.1007/s11538-017-0349-3. Epub 2017 Sep 22.
10
Singular perturbation analysis of the steady-state Poisson-Nernst-Planck system: Applications to ion channels.稳态泊松-能斯特-普朗克系统的奇异摄动分析:在离子通道中的应用。
Eur J Appl Math. 2008;19(5):541-569. doi: 10.1017/S0956792508007596.

引用本文的文献

1
Mathematical Analysis on Current-Voltage Relations via Classical Poisson-Nernst-Planck Systems with Nonzero Permanent Charges under Relaxed Electroneutrality Boundary Conditions.在松弛电中性边界条件下,基于具有非零永久电荷的经典泊松 - 能斯特 - 普朗克系统对电流 - 电压关系的数学分析
Membranes (Basel). 2023 Jan 19;13(2):131. doi: 10.3390/membranes13020131.
2
Introduction to the Physics of Ionic Conduction in Narrow Biological and Artificial Channels.狭窄生物及人工通道中离子传导物理学导论
Entropy (Basel). 2021 May 21;23(6):644. doi: 10.3390/e23060644.
3
Competition between Cations via Classical Poisson-Nernst-Planck Models with Nonzero but Small Permanent Charges.

本文引用的文献

1
Poisson-Nernst-Planck-Fermi theory for modeling biological ion channels.用于模拟生物离子通道的泊松-能斯特-普朗克-费米理论。
J Chem Phys. 2014 Dec 14;141(22):22D532. doi: 10.1063/1.4902973.
2
Modeling and simulation of ion channels.离子通道的建模与模拟
Chem Rev. 2012 Dec 12;112(12):6250-84. doi: 10.1021/cr3002609. Epub 2012 Oct 4.
3
POTENTIAL, IMPEDANCE, AND RECTIFICATION IN MEMBRANES.膜的电位、阻抗和整流。
通过具有非零但小的永久电荷的经典泊松-能斯特-普朗克模型研究阳离子之间的竞争
Membranes (Basel). 2021 Mar 26;11(4):236. doi: 10.3390/membranes11040236.
J Gen Physiol. 1943 Sep 20;27(1):37-60. doi: 10.1085/jgp.27.1.37.
4
The effect of sodium ions on the electrical activity of giant axon of the squid.钠离子对鱿鱼巨大轴突电活动的影响。
J Physiol. 1949 Mar 1;108(1):37-77. doi: 10.1113/jphysiol.1949.sp004310.
5
Energetics of divalent selectivity in a calcium channel: the ryanodine receptor case study.钙通道中二价离子选择性的能量学:以兰尼碱受体为例的研究
Biophys J. 2008 Feb 15;94(4):1169-84. doi: 10.1529/biophysj.107.116798. Epub 2007 Oct 19.
6
Steric selectivity in Na channels arising from protein polarization and mobile side chains.由蛋白质极化和可移动侧链引起的钠通道中的空间选择性。
Biophys J. 2007 Sep 15;93(6):1960-80. doi: 10.1529/biophysj.107.105478. Epub 2007 May 25.
7
Steric effects in the dynamics of electrolytes at large applied voltages. II. Modified Poisson-Nernst-Planck equations.大外加电压下电解质动力学中的立体效应。II. 修正的泊松-能斯特-普朗克方程。
Phys Rev E Stat Nonlin Soft Matter Phys. 2007 Feb;75(2 Pt 1):021503. doi: 10.1103/PhysRevE.75.021503. Epub 2007 Feb 16.
8
The potassium permeability of a giant nerve fibre.巨神经纤维的钾通透性。
J Physiol. 1955 Apr 28;128(1):61-88. doi: 10.1113/jphysiol.1955.sp005291.
9
EXCITATION AND CONDUCTION IN NERVE: QUANTITATIVE ANALYSIS.神经中的兴奋与传导:定量分析
Science. 1964 Sep 11;145(3637):1154-9. doi: 10.1126/science.145.3637.1154.
10
THE IONIC BASIS OF NERVOUS CONDUCTION.神经传导的离子基础
Science. 1964 Sep 11;145(3637):1148-54. doi: 10.1126/science.145.3637.1148.