Suppr超能文献

血管靶向柑橘 FLOWERING LOCUS T3 基因促进 Carrizo 砧木和嫁接幼年接穗的非诱导性早期开花。

The vascular targeted citrus FLOWERING LOCUS T3 gene promotes non-inductive early flowering in transgenic Carrizo rootstocks and grafted juvenile scions.

机构信息

Citrus Research and Education Center, University of Florida, Lake Alfred, FL, 33850, USA.

Institute of Fruit and Tea, Hubei Academy of Agricultural Sciences, Wuhan, 430064, China.

出版信息

Sci Rep. 2020 Dec 8;10(1):21404. doi: 10.1038/s41598-020-78417-9.

Abstract

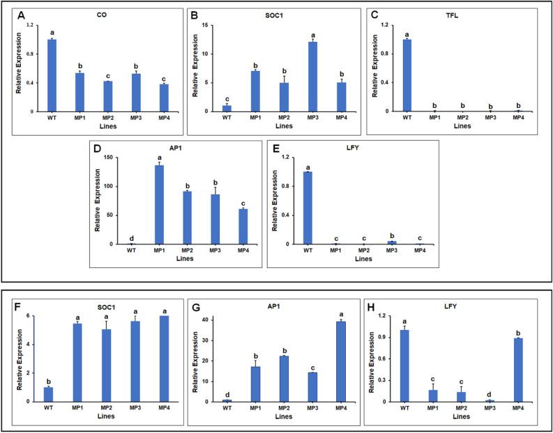
Shortening the juvenile stage in citrus and inducing early flowering has been the focus of several citrus genetic improvement programs. FLOWERING LOCUS T (FT) is a small phloem-translocated protein that regulates precocious flowering. In this study, two populations of transgenic Carrizo citrange rootstocks expressing either Citrus clementina FT1 or FT3 genes under the control of the Arabidopsis thaliana phloem specific SUCROSE SYNTHASE 2 (AtSUC2) promoter were developed. The transgenic plants were morphologically similar to the non-transgenic controls (non-transgenic Carrizo citrange), however, only AtSUC2-CcFT3 was capable of inducing precocious flowers. The transgenic lines produced flowers 16 months after transformation and flower buds appeared 30-40 days on juvenile immature scions grafted onto transgenic rootstock. Gene expression analysis revealed that the expression of SUPPRESSOR OF OVEREXPRESSION OF CONSTANS 1 (SOC1) and APETALA1 (AP1) were enhanced in the transgenics. Transcriptome profiling of a selected transgenic line showed the induction of genes in different groups including: genes from the flowering induction pathway, APETALA2/ETHYLENE RESPONSE FACTOR (AP2/ERF) family genes, and jasmonic acid (JA) pathway genes. Altogether, our results suggested that ectopic expression of CcFT3 in phloem tissues of Carrizo citrange triggered the expression of several genes to mediate early flowering.

摘要

缩短柑橘幼年期并诱导早期开花一直是几个柑橘遗传改良计划的重点。开花时间基因(FT)是一种小的韧皮部易位蛋白,调节早期开花。在这项研究中,开发了两种表达柑橘克莱门氏小柑橘 FT1 或 FT3 基因的卡里佐甜橙砧木转基因群体,这些基因受拟南芥韧皮部特异性蔗糖合成酶 2(AtSUC2)启动子的控制。转基因植物在形态上与非转基因对照(非转基因卡里佐甜橙)相似,但只有 AtSUC2-CcFT3 能够诱导早期开花。转基因系在转化后 16 个月产生花朵,在幼嫩未成熟接穗嫁接到转基因砧木上后 30-40 天出现花蕾。基因表达分析显示,SUPPRESSOR OF OVEREXPRESSION OF CONSTANS 1(SOC1)和 APETALA1(AP1)的表达在转基因中增强。对选定的转基因系进行转录组谱分析显示,不同基因群中的基因被诱导,包括:开花诱导途径基因、APETALA2/ETHYLENE RESPONSE FACTOR(AP2/ERF)家族基因和茉莉酸(JA)途径基因。总之,我们的结果表明,CcFT3 在卡里佐甜橙韧皮部组织中的异位表达触发了几个基因的表达,从而介导早期开花。

https://cdn.ncbi.nlm.nih.gov/pmc/blobs/2489/7722890/64aa25b0e10e/41598_2020_78417_Fig1_HTML.jpg

文献AI研究员

20分钟写一篇综述,助力文献阅读效率提升50倍。

立即体验

用中文搜PubMed

大模型驱动的PubMed中文搜索引擎

马上搜索

文档翻译

学术文献翻译模型,支持多种主流文档格式。

立即体验