• 文献检索
  • 文档翻译
  • 深度研究
  • 学术资讯
  • Suppr Zotero 插件Zotero 插件
  • 邀请有礼
  • 套餐&价格
  • 历史记录
应用&插件
Suppr Zotero 插件Zotero 插件浏览器插件Mac 客户端Windows 客户端微信小程序
定价
高级版会员购买积分包购买API积分包
服务
文献检索文档翻译深度研究API 文档MCP 服务
关于我们
关于 Suppr公司介绍联系我们用户协议隐私条款
关注我们

Suppr 超能文献

核心技术专利:CN118964589B侵权必究
粤ICP备2023148730 号-1Suppr @ 2026

文献检索

告别复杂PubMed语法,用中文像聊天一样搜索,搜遍4000万医学文献。AI智能推荐,让科研检索更轻松。

立即免费搜索

文件翻译

保留排版,准确专业,支持PDF/Word/PPT等文件格式,支持 12+语言互译。

免费翻译文档

深度研究

AI帮你快速写综述,25分钟生成高质量综述,智能提取关键信息,辅助科研写作。

立即免费体验

基于iTRAQ的蛋白质组学分析揭示了生防菌Sneb183菌株在增强大豆对大豆胞囊线虫抗性中的作用。

iTRAQ-Based Proteomic Analysis Reveals the Role of the Biological Control Agent, Strain Sneb183, in Enhancing Soybean Resistance Against the Soybean Cyst Nematode.

作者信息

Wang Yuanyuan, Yang Ruowei, Feng Yaxing, Sikandar Aatika, Zhu Xiaofeng, Fan Haiyan, Liu Xiaoyu, Chen Lijie, Duan Yuxi

机构信息

College of Bioscience and Biotechnology, Shenyang Agricultural University, Shenyang, China.

Nematology Institute of Northern China, Shenyang Agricultural University, Shenyang, China.

出版信息

Front Plant Sci. 2020 Dec 11;11:597819. doi: 10.3389/fpls.2020.597819. eCollection 2020.

DOI:10.3389/fpls.2020.597819
PMID:33362829
原文链接:https://pmc.ncbi.nlm.nih.gov/articles/PMC7759536/
Abstract

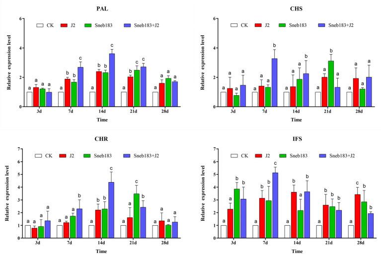
The soybean cyst nematode (SCN), Ichinohe, poses a serious threat to soybean production worldwide. Biological control agents have become eco-friendly candidates to control pathogens. Our previous study indicated that the biocontrol agent, strain Sneb183, may induce soybean resistance to SCN. To study the mechanisms underlying induced disease resistance in the plant by Sneb183, an iTRAQ (isobaric tag for relative and absolute quantitation)-based proteomics approach was used to identify proteomic changes in SCN-infected soybean roots derived from seeds coated with the Sneb183 fermentation broth or water. Among a total of 456 identified differentially expressed proteins, 212 and 244 proteins were upregulated and downregulated, respectively, in Sneb183 treated samples in comparison to control samples. Some identified differentially expressed proteins are likely to be involved in the biosynthesis of phenylpropanoid, flavone, flavanol, and isoflavonoid and have a role in disease resistance and adaptation to environmental stresses. We used quantitative real-time PCR (qRT-PCR) to analyze key genes, including (phenylalanine ammonia-lyase), (chalcone reductase), (chalcone synthase), and (isoflavone synthase), that are involved in isoflavonoid biosynthesis in Sneb183-treated and control samples. The results showed that these targeted genes have higher expression levels in Sneb183-treated than in control samples. High performance liquid chromatography (HPLC) analysis further showed that the contents of daidzein in Sneb183-treated samples were 7.24 times higher than those in control samples. These results suggested that the strain Sneb183 may have a role in inducing isoflavonoid biosynthesis, thereby resulting in enhanced resistance to SCN infection in soybean.

摘要

大豆胞囊线虫(SCN),即北条胞囊线虫,对全球大豆生产构成严重威胁。生物防治剂已成为控制病原体的环保型候选物。我们之前的研究表明,生物防治剂菌株Sneb183可能诱导大豆对SCN产生抗性。为了研究Sneb183诱导植物抗病性的潜在机制,采用了基于iTRAQ(相对和绝对定量等压标签)的蛋白质组学方法,以鉴定用Sneb183发酵液或水处理的种子所衍生的受SCN感染的大豆根中的蛋白质组变化。在总共鉴定出的456种差异表达蛋白中,与对照样品相比,Sneb183处理样品中有212种蛋白上调,244种蛋白下调。一些鉴定出的差异表达蛋白可能参与苯丙烷类、黄酮、黄烷醇和异黄酮的生物合成,并在抗病性和适应环境胁迫中发挥作用。我们使用定量实时PCR(qRT-PCR)分析了参与Sneb183处理和对照样品中异黄酮生物合成的关键基因,包括苯丙氨酸解氨酶、查尔酮还原酶、查尔酮合酶和异黄酮合酶。结果表明,这些靶向基因在Sneb183处理样品中的表达水平高于对照样品。高效液相色谱(HPLC)分析进一步表明,Sneb183处理样品中大豆苷元的含量比对照样品高7.24倍。这些结果表明,菌株Sneb183可能在诱导异黄酮生物合成中发挥作用,从而增强大豆对SCN感染的抗性。

https://cdn.ncbi.nlm.nih.gov/pmc/blobs/ca7f/7759536/8a5aea09092b/fpls-11-597819-g006.jpg
https://cdn.ncbi.nlm.nih.gov/pmc/blobs/ca7f/7759536/56bc09406f1e/fpls-11-597819-g001.jpg
https://cdn.ncbi.nlm.nih.gov/pmc/blobs/ca7f/7759536/53946a3b8b9e/fpls-11-597819-g002.jpg
https://cdn.ncbi.nlm.nih.gov/pmc/blobs/ca7f/7759536/d1558840249d/fpls-11-597819-g003.jpg
https://cdn.ncbi.nlm.nih.gov/pmc/blobs/ca7f/7759536/f3b876a43fd2/fpls-11-597819-g004.jpg
https://cdn.ncbi.nlm.nih.gov/pmc/blobs/ca7f/7759536/e2eaa3d6b313/fpls-11-597819-g005.jpg
https://cdn.ncbi.nlm.nih.gov/pmc/blobs/ca7f/7759536/8a5aea09092b/fpls-11-597819-g006.jpg
https://cdn.ncbi.nlm.nih.gov/pmc/blobs/ca7f/7759536/56bc09406f1e/fpls-11-597819-g001.jpg
https://cdn.ncbi.nlm.nih.gov/pmc/blobs/ca7f/7759536/53946a3b8b9e/fpls-11-597819-g002.jpg
https://cdn.ncbi.nlm.nih.gov/pmc/blobs/ca7f/7759536/d1558840249d/fpls-11-597819-g003.jpg
https://cdn.ncbi.nlm.nih.gov/pmc/blobs/ca7f/7759536/f3b876a43fd2/fpls-11-597819-g004.jpg
https://cdn.ncbi.nlm.nih.gov/pmc/blobs/ca7f/7759536/e2eaa3d6b313/fpls-11-597819-g005.jpg
https://cdn.ncbi.nlm.nih.gov/pmc/blobs/ca7f/7759536/8a5aea09092b/fpls-11-597819-g006.jpg

相似文献

1
iTRAQ-Based Proteomic Analysis Reveals the Role of the Biological Control Agent, Strain Sneb183, in Enhancing Soybean Resistance Against the Soybean Cyst Nematode.基于iTRAQ的蛋白质组学分析揭示了生防菌Sneb183菌株在增强大豆对大豆胞囊线虫抗性中的作用。
Front Plant Sci. 2020 Dec 11;11:597819. doi: 10.3389/fpls.2020.597819. eCollection 2020.
2
Effect of Sinorhizobium fredii strain Sneb183 on the biological control of soybean cyst nematode in soybean.费氏中华根瘤菌Sneb183菌株对大豆胞囊线虫在大豆中的生物防治作用
J Basic Microbiol. 2014 Nov;54(11):1258-63. doi: 10.1002/jobm.201301014. Epub 2014 Jun 10.
3
Overexpression of Genes Enhances Soybean Resistance Against .基因过表达增强大豆对 … 的抗性。
Mol Plant Microbe Interact. 2024 Apr;37(4):416-423. doi: 10.1094/MPMI-09-23-0151-R. Epub 2024 May 1.
4
Infection by Heterodera glycines Elevates Isoflavonoid Production and Influences Soybean Nodulation.大豆孢囊线虫感染会提高异黄酮产量并影响大豆结瘤。
J Nematol. 1999 Sep;31(3):341-7.
5
Efficacy of Bacillus megaterium strain Sneb207 against soybean cyst nematode (Heterodera glycines) in soybean.苏云金芽孢杆菌 Sneb207 菌株防治大豆胞囊线虫(大豆囊状线虫)的功效。
Pest Manag Sci. 2021 Jan;77(1):568-576. doi: 10.1002/ps.6057. Epub 2020 Sep 17.
6
The transcriptomic changes of Huipizhi Heidou (Glycine max), a nematode-resistant black soybean during Heterodera glycines race 3 infection.黑脐大豆(Glycine max)在感染 3 号大豆胞囊线虫(Heterodera glycines race 3)过程中转录组的变化。
J Plant Physiol. 2018 Jan;220:96-104. doi: 10.1016/j.jplph.2017.11.001. Epub 2017 Nov 14.
7
Management of the soybean cyst nematode Heterodera glycines with combinations of different rhizobacterial strains on soybean.利用不同根际细菌菌株组合对大豆胞囊线虫大豆异皮线虫进行管理。
PLoS One. 2017 Aug 3;12(8):e0182654. doi: 10.1371/journal.pone.0182654. eCollection 2017.
8
Enhanced resistance to soybean cyst nematode in transgenic soybean via host-induced silencing of vital Heterodera glycines genes.通过宿主诱导的关键大豆胞囊线虫基因沉默提高转基因大豆对大豆胞囊线虫的抗性。
Transgenic Res. 2022 Apr;31(2):239-248. doi: 10.1007/s11248-022-00298-7. Epub 2022 Feb 8.
9
Soybean-SCN Battle: Novel Insight into Soybean's Defense Strategies against .大豆与硫苷结合蛋白的斗争:揭示大豆防御策略的新视角
Int J Mol Sci. 2023 Nov 12;24(22):16232. doi: 10.3390/ijms242216232.
10
Genome-Wide Association Analysis Pinpoints Additional Major Genomic Regions Conferring Resistance to Soybean Cyst Nematode ( Ichinohe).全基因组关联分析确定了赋予大豆对胞囊线虫(北条异皮线虫)抗性的其他主要基因组区域。
Front Plant Sci. 2019 Apr 10;10:401. doi: 10.3389/fpls.2019.00401. eCollection 2019.

引用本文的文献

1
Dynamic transcriptomic responses to soybean cyst nematode infection in soybean genotypes with contrasting resistance profiles.具有不同抗性特征的大豆基因型对大豆胞囊线虫感染的动态转录组反应。
Front Plant Sci. 2025 Aug 21;16:1618387. doi: 10.3389/fpls.2025.1618387. eCollection 2025.
2
Multi-omics analysis identified the GmUGT88A1 gene, which coordinately regulates soybean resistance to cyst nematode and isoflavone content.多组学分析鉴定出了GmUGT88A1基因,该基因协同调节大豆对胞囊线虫的抗性和异黄酮含量。
Plant Biotechnol J. 2025 Apr;23(4):1291-1307. doi: 10.1111/pbi.14586. Epub 2025 Jan 20.
3
Research on the mechanism of A-27 in enhancing the resistance of red kidney beans to soybean cyst nematode based on TMT proteomics analysis.

本文引用的文献

1
Comparative transcriptome combined with metabolome analyses revealed key factors involved in nitric oxide (NO)-regulated cadmium stress adaptation in tall fescue.比较转录组和代谢组分析揭示了参与高羊茅一氧化氮(NO)调节镉胁迫适应的关键因素。
BMC Genomics. 2020 Aug 31;21(1):601. doi: 10.1186/s12864-020-07017-8.
2
Phenylpropanoid Pathway Engineering: An Emerging Approach towards Plant Defense.苯丙烷类途径工程:一种新兴的植物防御方法。
Pathogens. 2020 Apr 23;9(4):312. doi: 10.3390/pathogens9040312.
3
Optimizing legume symbioses by simultaneous measurement of rhizobial competitiveness and N fixation in nodules.
基于TMT蛋白质组学分析的A-27增强红芸豆对大豆胞囊线虫抗性机制的研究
Front Plant Sci. 2024 Sep 23;15:1458330. doi: 10.3389/fpls.2024.1458330. eCollection 2024.
4
Molecular Mechanisms Underlying Success in Amazonian Rehabilitating Minelands.成功开展亚马逊矿区复垦项目的分子机制。
Int J Environ Res Public Health. 2022 Nov 4;19(21):14441. doi: 10.3390/ijerph192114441.
5
Molecular Breeding to Overcome Biotic Stresses in Soybean: Update.大豆抗生物胁迫的分子育种:最新进展
Plants (Basel). 2022 Jul 28;11(15):1967. doi: 10.3390/plants11151967.
6
Fluorescent Soybean Hairy Root Construction and Its Application in the Soybean-Nematode Interaction: An Investigation.荧光大豆毛状根的构建及其在大豆与线虫相互作用中的应用:一项研究
Biology (Basel). 2021 Dec 20;10(12):1353. doi: 10.3390/biology10121353.
7
Evaluation of Scopoletin from Snef1650 for the Control of in Soybean.对来自Snef1650的东莨菪亭用于控制大豆[病虫害]的评估。 (原文中“Control of in Soybean”部分不完整,推测可能是某种病虫害,这里补充完整以便理解)
Life (Basel). 2021 Oct 26;11(11):1143. doi: 10.3390/life11111143.
通过同时测量根瘤菌竞争力和根瘤中的固氮作用来优化豆科植物共生关系。
Proc Natl Acad Sci U S A. 2020 May 5;117(18):9822-9831. doi: 10.1073/pnas.1921225117. Epub 2020 Apr 21.
4
The Reason for Growth Inhibition of 'Jinye': Lower Resistance and Abnormal Development of Chloroplasts Slow Down the Accumulation of Energy.“金叶”生长抑制的原因:较低的抗性和叶绿体的异常发育减缓了能量的积累。
Int J Mol Sci. 2019 Aug 29;20(17):4227. doi: 10.3390/ijms20174227.
5
GmMYB176 Regulates Multiple Steps in Isoflavonoid Biosynthesis in Soybean.GmMYB176调控大豆异黄酮生物合成的多个步骤。
Front Plant Sci. 2019 May 3;10:562. doi: 10.3389/fpls.2019.00562. eCollection 2019.
6
Soybean Disease Loss Estimates for the Top 10 Soybean Producing Countries in 1994.1994年十大大豆生产国的大豆病害损失估计
Plant Dis. 1997 Jan;81(1):107-110. doi: 10.1094/PDIS.1997.81.1.107.
7
From Discovery to Use: Traversing the World of Commercializing Biocontrol Agents for Plant Disease Control.从发现到应用:探索植物病害生物防治剂商业化的世界。
Plant Dis. 1999 Nov;83(11):972-983. doi: 10.1094/PDIS.1999.83.11.972.
8
Functions of Flavonoids in Plant⁻Nematode Interactions.黄酮类化合物在植物与线虫相互作用中的功能。
Plants (Basel). 2018 Oct 15;7(4):85. doi: 10.3390/plants7040085.
9
SnebYK Mediates Resistance Against and Promotes Soybean Growth.SnebYK介导对大豆的抗性并促进其生长。
Front Microbiol. 2018 Jun 1;9:1134. doi: 10.3389/fmicb.2018.01134. eCollection 2018.
10
Transcriptomic and metabolomic analyses reveal that bacteria promote plant defense during infection of soybean cyst nematode in soybean.转录组学和代谢组学分析表明,在大豆孢囊线虫感染大豆期间,细菌促进了植物的防御。
BMC Plant Biol. 2018 May 11;18(1):86. doi: 10.1186/s12870-018-1302-9.