Suppr超能文献

新生儿复苏中医护人员工作量的评估

Assessment of Healthcare Provider Workload in Neonatal Resuscitation.

作者信息

Zehnder Emily C, Law Brenda H Y, Schmölzer Georg M

机构信息

Centre for the Studies of Asphyxia and Resuscitation, Royal Alexandra Hospital, Edmonton, AB, Canada.

Department of Pediatrics, University of Alberta, Edmonton, AB, Canada.

出版信息

Front Pediatr. 2020 Dec 22;8:598475. doi: 10.3389/fped.2020.598475. eCollection 2020.

Abstract

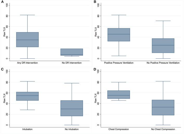
Human errors or protocol deviations during neonatal resuscitation are common. Excess workload has been proposed as a contributor to human error during medical tasks. We aim to characterize healthcare providers' perceived workload during neonatal resuscitation. Perceived workload was measured using a multi-dimensional retrospective National Aeronautics and Space Administration Task Load Index (NASA TLX) survey. The NASA TLX collects data on mental, physical, and temporal demand, performance, effort, and frustration. Each section is rated independently by participants on a scale of 0-20 (0 being lowest and 20 being highest). The Raw-TLX score is a composite score of all dimensions and presented on a scale of 0-100. Healthcare providers complete a paper and pencil survey after attending delivery room resuscitations within 3 months. Level three neonatal intensive care unit at the Royal Alexandra Hospital, Edmonton, AB, Canada. All neonatal healthcare providers who attended deliveries. Participation in the delivery room care of newborns. Raw TLX scores as a measure of overall workload and scores for each dimension of workload. During the study period, ~880 neonatal resuscitation events occurred, and a total of 204 surveys were completed. Healthcare providers completed one survey for 179 deliveries, two surveys for 20 deliveries, and three surveys for 5 deliveries. The mean (standard deviation) gestational age was 35 (5) weeks, and the median (interquartile range) birth weight was 2,690 (1,830-3,440) g. Interventions at delivery were (i) stimulation 149 (73%), suction 130 (64%), continuous positive airway pressure 120 (59%), positive pressure ventilation 105 (52%), intubation 33 (16%), chest compression 10 (5%), and epinephrine 4 (2%). The overall median (interquartile range) Raw-TLX was 34 (18-49). The scores varied by dimension with mental demand 10 (5-14), physical demand 4 (1-6), temporal demand 8 (3-14), performance 4 (2-6), effort 8 (4-13), and frustration 4 (1-10). Raw-TLX scores were higher when healthcare providers performed any intervention compared to no intervention [35 (22-49) vs. 8 (6-18), = 0.0011]; intubation and no intubation was [55 (46-62) vs. 30 (17-46), = 0.0001], and between performing chest compression vs. no chest compression [55 (49-64) vs. 33 (18-47), = 0.001]. Perceived workload of neonatal healthcare providers increases during higher acuity deliveries. Healthcare providers' workload during neonatal resuscitation can be measured using NASATLX and was inversely associated with 5-min Apgar score. Future studies assessing healthcare providers' perceived workload during neonatal resuscitation in different settings are warranted.

摘要

新生儿复苏过程中的人为失误或操作规范偏差很常见。有人提出工作量过大是医疗任务中人为失误的一个因素。我们旨在描述医疗保健人员在新生儿复苏过程中所感知到的工作量。使用多维回顾性美国国家航空航天局任务负荷指数(NASA TLX)调查来测量感知到的工作量。NASA TLX收集有关心理、身体和时间需求、绩效、努力程度和挫败感的数据。每个部分由参与者独立评分,范围为0至20分(0分为最低,20分为最高)。原始TLX分数是所有维度的综合分数,范围为0至100分。医疗保健人员在3个月内参与产房复苏后,完成一份纸笔调查问卷。加拿大艾伯塔省埃德蒙顿市皇家亚历山德拉医院三级新生儿重症监护病房。所有参与接生的新生儿医疗保健人员。参与新生儿产房护理。原始TLX分数作为总体工作量的衡量指标以及工作量各维度的分数。在研究期间,共发生了约880次新生儿复苏事件,共完成了204份调查问卷。医疗保健人员为179次分娩完成了一份调查问卷,为20次分娩完成了两份调查问卷,为5次分娩完成了三份调查问卷。平均(标准差)胎龄为35(5)周,中位数(四分位间距)出生体重为2690(1830 - 3440)克。分娩时的干预措施包括:(i)刺激149次(73%)、吸引130次(64%)、持续气道正压通气120次(59%)、正压通气105次(52%)、插管33次(16%)、胸外按压10次(5%)以及肾上腺素使用4次(2%)。总体原始TLX中位数(四分位间距)为34(18 - 49)。各维度分数有所不同,心理需求为10(5 - 14)、身体需求为4(1 - 6)、时间需求为8(3 - 14)、绩效为4(2 - 6)、努力程度为8(4 - 13)以及挫败感为4(1 - 10)。与未进行任何干预相比,医疗保健人员进行任何干预时的原始TLX分数更高[35(22 - 49)对8(6 - 18),P = 0.0011];插管与未插管情况分别为[55(46 - 62)对30(17 - 46),P = 0.0001],以及进行胸外按压与未进行胸外按压之间[55(49 - 64)对33(18 - 47),P = 0.001]。在病情更严重的分娩过程中,新生儿医疗保健人员感知到的工作量会增加。可使用NASA TLX测量新生儿复苏期间医疗保健人员的工作量,且该工作量与5分钟阿氏评分呈负相关。有必要开展未来研究,评估不同环境下新生儿复苏期间医疗保健人员感知到的工作量。

https://cdn.ncbi.nlm.nih.gov/pmc/blobs/fe75/7784715/f2c1954abaab/fped-08-598475-g0001.jpg

相似文献

1
Assessment of Healthcare Provider Workload in Neonatal Resuscitation.
Front Pediatr. 2020 Dec 22;8:598475. doi: 10.3389/fped.2020.598475. eCollection 2020.
3
Does parental presence affect workload during neonatal resuscitation?
Arch Dis Child Fetal Neonatal Ed. 2020 Sep;105(5):559-561. doi: 10.1136/archdischild-2020-318840. Epub 2020 Jun 19.
5
Development and validation of a task load index for process control room operators (PCRO-TLX).
Ergonomics. 2023 Dec;66(12):2121-2132. doi: 10.1080/00140139.2023.2186322. Epub 2023 Mar 8.
7
Mask ventilation using volume-targeted neonatal ventilator for neonatal resuscitation: a randomised cross-over simulation study.
Arch Dis Child Fetal Neonatal Ed. 2023 Dec 15;109(1):46-51. doi: 10.1136/archdischild-2023-325320.
10
How Demanding Is Healthcare Work? A Meta-Analytic Review of TLX Scores.
Stud Health Technol Inform. 2021 Nov 8;286:55-59. doi: 10.3233/SHTI210637.

引用本文的文献

1
Delivery room oxygen titration strategies for resuscitation of preterm infants.
Cochrane Database Syst Rev. 2025 Aug 28;8(8):CD016293. doi: 10.1002/14651858.CD016293.
3
The perceived workload of first-line healthcare professionals during neonatal resuscitation.
Resusc Plus. 2025 Jan 6;21:100866. doi: 10.1016/j.resplu.2025.100866. eCollection 2025 Jan.

本文引用的文献

1
Association of Nurse Workload With Missed Nursing Care in the Neonatal Intensive Care Unit.
JAMA Pediatr. 2019 Jan 1;173(1):44-51. doi: 10.1001/jamapediatrics.2018.3619.
2
The associations of workload, individual and organisational factors on nurses' occupational injuries.
J Clin Nurs. 2019 Mar;28(5-6):902-911. doi: 10.1111/jocn.14699. Epub 2018 Nov 8.
3
NASA-TLX Assessment of Surgeon Workload Variation Across Specialties.
Ann Surg. 2020 Apr;271(4):686-692. doi: 10.1097/SLA.0000000000003058.
4
The NASA Task Load Index as a measure of overall workload among neonatal, paediatric and adult intensive care nurses.
Intensive Crit Care Nurs. 2018 Jun;46:64-69. doi: 10.1016/j.iccn.2018.01.004. Epub 2018 Feb 12.
5
Workload of Team Leaders and Team Members During a Simulated Sepsis Scenario.
Pediatr Crit Care Med. 2017 Sep;18(9):e423-e427. doi: 10.1097/PCC.0000000000001258.
6
Analysis and classification of errors made by teams during neonatal resuscitation.
Resuscitation. 2015 Nov;96:109-13. doi: 10.1016/j.resuscitation.2015.07.048. Epub 2015 Aug 15.
7
Assessment of workload during pediatric trauma resuscitation.
J Trauma Acute Care Surg. 2012 Nov;73(5):1267-72. doi: 10.1097/Ta.0b013e318265d15a.
8
Simulation to assess the safety of new healthcare teams and new facilities.
Simul Healthc. 2011 Jun;6(3):125-33. doi: 10.1097/SIH.0b013e31820dff30.
9
Impact of performance obstacles on intensive care nurses' workload, perceived quality and safety of care, and quality of working life.
Health Serv Res. 2009 Apr;44(2 Pt 1):422-43. doi: 10.1111/j.1475-6773.2008.00934.x. Epub 2008 Dec 16.
10
Ante- and intra-partum factors that predict increased need for neonatal resuscitation.
Resuscitation. 2008 Dec;79(3):444-52. doi: 10.1016/j.resuscitation.2008.08.004. Epub 2008 Oct 25.

文献AI研究员

20分钟写一篇综述,助力文献阅读效率提升50倍。

立即体验

用中文搜PubMed

大模型驱动的PubMed中文搜索引擎

马上搜索

文档翻译

学术文献翻译模型,支持多种主流文档格式。

立即体验