Zeranska-Chudek Klaudia, Siemion Agnieszka, Palka Norbert, Mdarhri Ahmed, Elaboudi Ilham, Brosseau Christian, Zdrojek Mariusz
Faculty of Physics, Warsaw University of Technology, Koszykowa 75, 00-662 Warsaw, Poland.
Institute of Optoelectronics, Military University of Technology, Kaliskiego 2, 00-908 Warsaw, Poland.
Materials (Basel). 2021 Feb 9;14(4):835. doi: 10.3390/ma14040835.
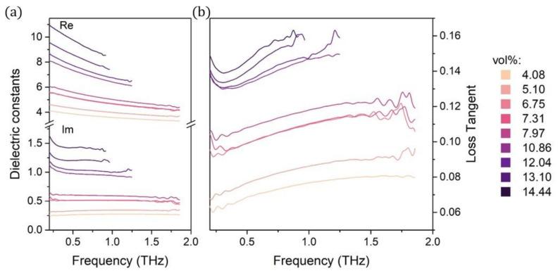
The majority of industry using high-speed communication systems is shifting towards higher frequencies, namely the terahertz range, to meet demands of more effective data transfer. Due to the rising number of devices working in terahertz range, effective shielding of electromagnetic interference (EMI) is required, and thus the need for novel shielding materials to reduce the electromagnetic pollution. Here, we show a study on optical and electrical properties of a series of ethylene co-butyl acrylate/carbon black (EBA/CB) composites with various CB loading. We investigate the transmittance, reflectance, shielding efficiency, absorption coefficient, refractive index and complex dielectric permittivity of the fabricated composites. Finally, we report a material that exhibits superior shielding efficiency (SE)-80 dB at 0.9 THz (14.44 vol% CB loading, 1 mm thick)-which is one of the highest SE values among non-metallic composite materials reported in the literature thus far. Importantly, 99% of the incoming radiation is absorbed by the material, significantly increasing its applicability. The absorption coefficient (α) reaches ~100 cm for the samples with highest CB loading. The EBA/CB composites can be used as lightweight and flexible shielding packaging materials for electronics, as passive terahertz absorbers or as radiation shields for stealth applications.
大多数使用高速通信系统的行业正在转向更高的频率,即太赫兹频段,以满足更高效数据传输的需求。由于在太赫兹频段工作的设备数量不断增加,需要对电磁干扰(EMI)进行有效屏蔽,因此需要新型屏蔽材料来减少电磁污染。在此,我们展示了一系列具有不同炭黑(CB)负载量的乙烯-丙烯酸丁酯/炭黑(EBA/CB)复合材料的光学和电学性质研究。我们研究了所制备复合材料的透过率、反射率、屏蔽效率、吸收系数、折射率和复介电常数。最后,我们报道了一种材料,在0.9太赫兹(炭黑负载量为14.44体积%,厚度为1毫米)时表现出卓越的屏蔽效率(SE)——80分贝,这是迄今为止文献报道的非金属复合材料中最高的SE值之一。重要的是,99%的入射辐射被该材料吸收,显著提高了其适用性。对于炭黑负载量最高的样品,吸收系数(α)达到约100厘米⁻¹。EBA/CB复合材料可作为电子设备的轻质柔性屏蔽包装材料、无源太赫兹吸收器或用于隐身应用的辐射屏蔽材料。