Department of Environmental Biology, University of Rome "Sapienza", 00185 Rome, Italy.
Centro di Ricerca Difesa e Certificazione, Consiglio per la Ricerca in Agricoltura e l'Analisi dell'Economia Agraria, 00156 Rome, Italy.
Int J Mol Sci. 2021 Feb 28;22(5):2435. doi: 10.3390/ijms22052435.
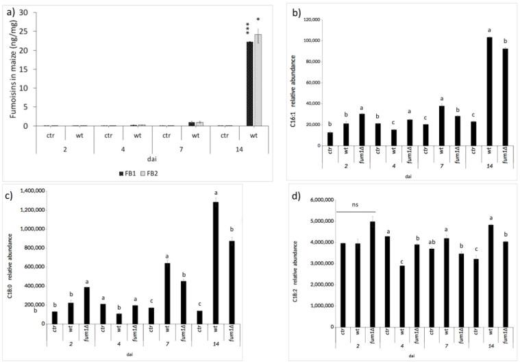
causes multiple diseases of (maize) including ear and seedling rots, contaminates seeds and seed products worldwide with toxic chemicals called fumonisins. The role of fumonisins in disease is unclear because, although they are not required for ear rot, they are required for seedling diseases. Disease symptoms may be due to the ability of fumonisins to inhibit ceramide synthase activity, the expected cause of lipids (fatty acids, oxylipins, and sphingolipids) alteration in infected plants. In this study, we explored the impact of fumonisins on fatty acid, oxylipin, and sphingolipid levels and how these changes affect growth in maize. The identity and levels of principal fatty acids, oxylipins, and over 50 sphingolipids were evaluated by chromatography followed by mass spectrometry in maize infected with an fumonisin-producing wild-type strain and a fumonisin-deficient mutant, after different periods of growth. Plant hormones associated with defense responses, i.e., salicylic and jasmonic acid, were also evaluated. We suggest that fumonisins produced by alter maize lipid metabolism, which help switch fungal growth from a relatively harmless endophyte to a destructive necrotroph.
导致多种玉米疾病,包括耳腐病和苗腐病,用称为伏马菌素的有毒化学物质污染世界各地的种子和种子产品。伏马菌素在疾病中的作用尚不清楚,因为尽管它们不是耳腐病所必需的,但它们是苗腐病所必需的。疾病症状可能是由于伏马菌素抑制神经酰胺合酶活性所致,这是感染植物中脂质(脂肪酸、氧化脂和鞘脂)改变的预期原因。在这项研究中,我们探讨了伏马菌素对脂肪酸、氧化脂和鞘脂水平的影响,以及这些变化如何影响玉米的生长。通过色谱法和质谱法分析了受产伏马菌素野生型菌株和伏马菌素缺陷突变体感染的玉米中的主要脂肪酸、氧化脂和 50 多种鞘脂的身份和水平,以及在不同生长时期后的水平。还评估了与防御反应相关的植物激素,即水杨酸和茉莉酸。我们认为,由 产生的伏马菌素改变了玉米的脂质代谢,这有助于将真菌的生长从相对无害的内生菌转变为破坏性的坏死营养体。