• 文献检索
  • 文档翻译
  • 深度研究
  • 学术资讯
  • Suppr Zotero 插件Zotero 插件
  • 邀请有礼
  • 套餐&价格
  • 历史记录
应用&插件
Suppr Zotero 插件Zotero 插件浏览器插件Mac 客户端Windows 客户端微信小程序
定价
高级版会员购买积分包购买API积分包
服务
文献检索文档翻译深度研究API 文档MCP 服务
关于我们
关于 Suppr公司介绍联系我们用户协议隐私条款
关注我们

Suppr 超能文献

核心技术专利:CN118964589B侵权必究
粤ICP备2023148730 号-1Suppr @ 2026

文献检索

告别复杂PubMed语法,用中文像聊天一样搜索,搜遍4000万医学文献。AI智能推荐,让科研检索更轻松。

立即免费搜索

文件翻译

保留排版,准确专业,支持PDF/Word/PPT等文件格式,支持 12+语言互译。

免费翻译文档

深度研究

AI帮你快速写综述,25分钟生成高质量综述,智能提取关键信息,辅助科研写作。

立即免费体验

重新评估斯基泰人的生活方式:对乌克兰铁器时代饮食和流动的同位素分析。

Re-evaluating Scythian lifeways: Isotopic analysis of diet and mobility in Iron Age Ukraine.

机构信息

Department of Anthropology and Museum of Anthropological Archaeology, University of Michigan, Ann Arbor, Michigan, United States of America.

Max Planck Institute for the Science of Human History, Department of Archaeology, Stable Isotope Group, Jena, Germany.

出版信息

PLoS One. 2021 Mar 10;16(3):e0245996. doi: 10.1371/journal.pone.0245996. eCollection 2021.

DOI:10.1371/journal.pone.0245996
PMID:33690634
原文链接:https://pmc.ncbi.nlm.nih.gov/articles/PMC7946291/
Abstract

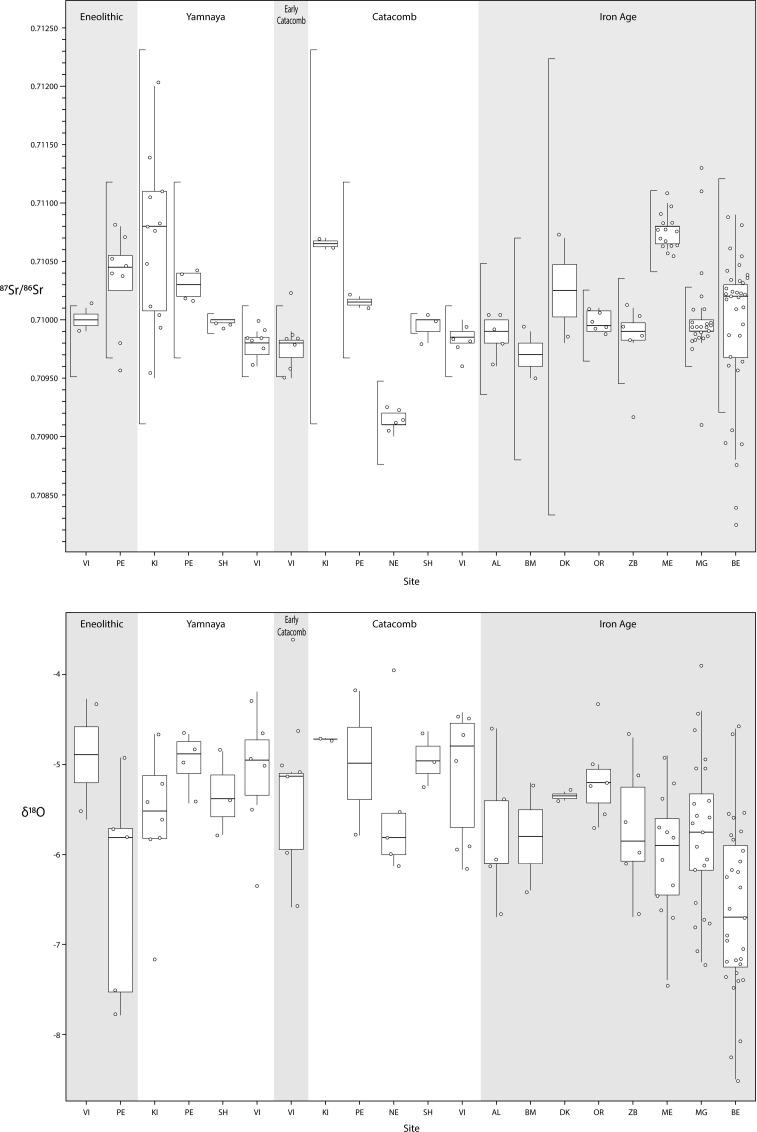
The Scythians are frequently presented, in popular and academic thought alike, as highly mobile warrior nomads who posed a great economic risk to growing Mediterranean empires from the Iron Age into the Classical period. Archaeological studies provide evidence of first millennium BCE urbanism in the steppe while historical texts reference steppe agriculture, challenging traditional characterizations of Scythians as nomads. However, there have been few direct studies of the diet and mobility of populations living in the Pontic steppe and forest-steppe during the Scythian era. Here, we analyse strontium, oxygen, and carbon isotope data from human tooth enamel samples, as well as nitrogen and carbon isotope data of bone collagen, at several Iron Age sites across Ukraine commonly associated with 'Scythian' era communities. Our multi-isotopic approach demonstrates generally low levels of human mobility in the vicinity of urban locales, where populations engaged in agro-pastoralism focused primarily on millet agriculture. Some individuals show evidence for long-distance mobility, likely associated with significant inter-regional connections. We argue that this pattern supports economic diversity of urban locales and complex trading networks, rather than a homogeneous nomadic population.

摘要

斯基泰人在流行和学术思想中经常被描绘为高度流动的战士游牧民族,他们从铁器时代到古典时期对地中海地区不断增长的帝国构成了巨大的经济威胁。考古研究为公元前一千年草原上的城市化提供了证据,而历史文献则提到了草原农业,这挑战了斯基泰人作为游牧民族的传统特征。然而,对于生活在斯基泰时代的 Pontic 草原和森林草原地区的人口的饮食和流动性,很少有直接的研究。在这里,我们分析了乌克兰几个铁器时代遗址的人类牙釉质样本中的锶、氧和碳同位素数据,以及骨骼胶原蛋白中的氮和碳同位素数据,这些遗址通常与“斯基泰”时代的社区有关。我们的多同位素方法表明,在城市地区附近,人类的流动性通常较低,那里的人口从事以小米农业为重点的农牧业。一些人有长途流动的证据,可能与重要的区域间联系有关。我们认为,这种模式支持城市地区的经济多样性和复杂的贸易网络,而不是单一的游牧人口。

https://cdn.ncbi.nlm.nih.gov/pmc/blobs/e12e/7946291/b72258f98628/pone.0245996.g006.jpg
https://cdn.ncbi.nlm.nih.gov/pmc/blobs/e12e/7946291/d5fcdbc20b40/pone.0245996.g001.jpg
https://cdn.ncbi.nlm.nih.gov/pmc/blobs/e12e/7946291/b1194afbf4ad/pone.0245996.g002.jpg
https://cdn.ncbi.nlm.nih.gov/pmc/blobs/e12e/7946291/c51ca5eb1c42/pone.0245996.g003.jpg
https://cdn.ncbi.nlm.nih.gov/pmc/blobs/e12e/7946291/280247008949/pone.0245996.g004.jpg
https://cdn.ncbi.nlm.nih.gov/pmc/blobs/e12e/7946291/797861476df4/pone.0245996.g005.jpg
https://cdn.ncbi.nlm.nih.gov/pmc/blobs/e12e/7946291/b72258f98628/pone.0245996.g006.jpg
https://cdn.ncbi.nlm.nih.gov/pmc/blobs/e12e/7946291/d5fcdbc20b40/pone.0245996.g001.jpg
https://cdn.ncbi.nlm.nih.gov/pmc/blobs/e12e/7946291/b1194afbf4ad/pone.0245996.g002.jpg
https://cdn.ncbi.nlm.nih.gov/pmc/blobs/e12e/7946291/c51ca5eb1c42/pone.0245996.g003.jpg
https://cdn.ncbi.nlm.nih.gov/pmc/blobs/e12e/7946291/280247008949/pone.0245996.g004.jpg
https://cdn.ncbi.nlm.nih.gov/pmc/blobs/e12e/7946291/797861476df4/pone.0245996.g005.jpg
https://cdn.ncbi.nlm.nih.gov/pmc/blobs/e12e/7946291/b72258f98628/pone.0245996.g006.jpg

相似文献

1
Re-evaluating Scythian lifeways: Isotopic analysis of diet and mobility in Iron Age Ukraine.重新评估斯基泰人的生活方式:对乌克兰铁器时代饮食和流动的同位素分析。
PLoS One. 2021 Mar 10;16(3):e0245996. doi: 10.1371/journal.pone.0245996. eCollection 2021.
2
Shifts in the Genetic Landscape of the Western Eurasian Steppe Associated with the Beginning and End of the Scythian Dominance.与斯基泰统治的开始和结束相关的,西欧亚草原遗传景观的转变。
Curr Biol. 2019 Jul 22;29(14):2430-2441.e10. doi: 10.1016/j.cub.2019.06.019. Epub 2019 Jul 11.
3
Ancestry and demography and descendants of Iron Age nomads of the Eurasian Steppe.欧亚草原铁器时代游牧民族的祖先和人口统计学以及后代。
Nat Commun. 2017 Mar 3;8:14615. doi: 10.1038/ncomms14615.
4
Diverse origin of mitochondrial lineages in Iron Age Black Sea Scythians.铁器时代黑海斯基泰人中的线粒体谱系的多样起源。
Sci Rep. 2017 Mar 7;7:43950. doi: 10.1038/srep43950.
5
Maternal genetic features of the Iron Age Tagar population from Southern Siberia (1st millennium BC).南西伯利亚铁器时代塔加尔人群的母系遗传特征(公元前 1 世纪)。
PLoS One. 2018 Sep 20;13(9):e0204062. doi: 10.1371/journal.pone.0204062. eCollection 2018.
6
Pastoralism and Emergent Complex Settlement in the Middle Bronze Age, Azerbaijan: isotopic analyses of mobility strategies in transformation.畜牧业与阿塞拜疆中青铜时代新兴复杂定居点:转型期流动性策略的同位素分析。
Am J Phys Anthropol. 2020 Jan;171(1):120-141. doi: 10.1002/ajpa.23956. Epub 2019 Nov 5.
7
Laser ablation inductively coupled plasma mass spectrometry (LA-ICP-MS) Sr/Sr isotope data from scythian Iron age barrows in Altai, Russia.来自俄罗斯阿尔泰山斯基泰铁器时代古墓的激光烧蚀电感耦合等离子体质谱(LA-ICP-MS)锶/锶同位素数据。
Data Brief. 2019 Dec 19;29:105026. doi: 10.1016/j.dib.2019.105026. eCollection 2020 Apr.
8
Diet and subsistence in Bronze Age pastoral communities from the southern Russian steppes and the North Caucasus.青铜时代南俄草原和北高加索地区游牧社区的饮食和生活方式。
PLoS One. 2020 Oct 14;15(10):e0239861. doi: 10.1371/journal.pone.0239861. eCollection 2020.
9
Practising pastoralism in an agricultural environment: An isotopic analysis of the impact of the Hunnic incursions on Pannonian populations.在农业环境中从事游牧业:对匈人入侵对潘诺尼亚人口影响的同位素分析
PLoS One. 2017 Mar 22;12(3):e0173079. doi: 10.1371/journal.pone.0173079. eCollection 2017.
10
Economic Diversification Supported the Growth of Mongolia's Nomadic Empires.经济多元化支持了蒙古国游牧帝国的发展。
Sci Rep. 2020 Mar 3;10(1):3916. doi: 10.1038/s41598-020-60194-0.

引用本文的文献

1
Tracing chalcolithic population mobility using strontium isotopes and proteomics at Gumelnița site, Romania.利用锶同位素和蛋白质组学追踪罗马尼亚古梅尔尼察遗址铜石并用时代的人口迁移情况。
Sci Rep. 2025 Jul 2;15(1):23002. doi: 10.1038/s41598-025-05671-0.
2
Yuhuangmiao: the socio-cultural dynamics of a community between the steppes and the Chinese plains.玉皇庙:草原与中原之间一个社群的社会文化动态
Asian Archaeol. 2024;8(2):229-249. doi: 10.1007/s41826-024-00098-4. Epub 2024 Dec 9.
3
Interactions between Trypillian farmers and North Pontic forager-pastoralists in Eneolithic central Ukraine.

本文引用的文献

1
Shifts in the Genetic Landscape of the Western Eurasian Steppe Associated with the Beginning and End of the Scythian Dominance.与斯基泰统治的开始和结束相关的,西欧亚草原遗传景观的转变。
Curr Biol. 2019 Jul 22;29(14):2430-2441.e10. doi: 10.1016/j.cub.2019.06.019. Epub 2019 Jul 11.
2
Intensification in pastoralist cereal use coincides with the expansion of trans-regional networks in the Eurasian Steppe.牧民对谷物的使用加剧与欧亚草原跨区域网络的扩张同时发生。
Sci Rep. 2019 Jun 10;9(1):8363. doi: 10.1038/s41598-018-35758-w.
3
137 ancient human genomes from across the Eurasian steppes.
新石器时代乌克兰中部的特里皮利亚农民与北顿涅茨草原牧民之间的互动。
PLoS One. 2023 Jun 14;18(6):e0285449. doi: 10.1371/journal.pone.0285449. eCollection 2023.
4
Stable carbon and nitrogen isotopes identify nuanced dietary changes from the Bronze and Iron Ages on the Great Hungarian Plain.稳定碳和氮同位素鉴定出青铜和铁器时代大匈牙利平原上微妙的饮食变化。
Sci Rep. 2022 Oct 10;12(1):16982. doi: 10.1038/s41598-022-21138-y.
来自欧亚草原的 137 个古人类基因组。
Nature. 2018 May;557(7705):369-374. doi: 10.1038/s41586-018-0094-2. Epub 2018 May 9.
4
Diverse origin of mitochondrial lineages in Iron Age Black Sea Scythians.铁器时代黑海斯基泰人中的线粒体谱系的多样起源。
Sci Rep. 2017 Mar 7;7:43950. doi: 10.1038/srep43950.
5
Ancestry and demography and descendants of Iron Age nomads of the Eurasian Steppe.欧亚草原铁器时代游牧民族的祖先和人口统计学以及后代。
Nat Commun. 2017 Mar 3;8:14615. doi: 10.1038/ncomms14615.
6
Mitochondrial DNA analysis of eneolithic trypillians from Ukraine reveals neolithic farming genetic roots.对来自乌克兰新石器时代特里皮利安人的线粒体DNA分析揭示了新石器时代农业的基因根源。
PLoS One. 2017 Feb 24;12(2):e0172952. doi: 10.1371/journal.pone.0172952. eCollection 2017.
7
On the Use of Biomineral Oxygen Isotope Data to Identify Human Migrants in the Archaeological Record: Intra-Sample Variation, Statistical Methods and Geographical Considerations.论利用生物矿物氧同位素数据识别考古记录中的人类迁徙者:样本内变异、统计方法及地理因素
PLoS One. 2016 Apr 28;11(4):e0153850. doi: 10.1371/journal.pone.0153850. eCollection 2016.
8
Strontium isotopes ( Sr/ Sr) in terrestrial ecological and palaeoecological research: empirical efforts and recent advances in continental-scale models.锶同位素 ( Sr/ Sr) 在陆地生态和古生态学研究中的应用:大陆尺度模型的实证研究与最新进展。
Biol Rev Camb Philos Soc. 2017 Feb;92(1):43-59. doi: 10.1111/brv.12217. Epub 2015 Sep 22.
9
Lombards on the move--an integrative study of the migration period cemetery at Szólád, Hungary.迁徙中的伦巴第人——匈牙利绍拉德迁徙时期墓地的综合研究
PLoS One. 2014 Nov 4;9(11):e110793. doi: 10.1371/journal.pone.0110793. eCollection 2014.
10
Strontium isotope ratios (87Sr/86Sr) of tooth enamel: a comparison of solution and laser ablation multicollector inductively coupled plasma mass spectrometry methods.牙釉质的锶同位素比率(87Sr/86Sr):溶液法与激光烧蚀多接收电感耦合等离子体质谱法的比较
Rapid Commun Mass Spectrom. 2008 Oct;22(20):3187-94. doi: 10.1002/rcm.3717.