Suppr超能文献

通过系统分析鉴定和改造重组体中自养异丁醇形成的瓶颈

Identifying and Engineering Bottlenecks of Autotrophic Isobutanol Formation in Recombinant by Systemic Analysis.

作者信息

Hermann Maria, Teleki Attila, Weitz Sandra, Niess Alexander, Freund Andreas, Bengelsdorf Frank Robert, Dürre Peter, Takors Ralf

机构信息

Institute of Biochemical Engineering, Faculty of Energy-, Process-, and Bio-Engineering, University of Stuttgart, Stuttgart, Germany.

Institute of Microbiology and Biotechnology, Faculty of Natural Sciences, University of Ulm, Ulm, Germany.

出版信息

Front Bioeng Biotechnol. 2021 Mar 3;9:647853. doi: 10.3389/fbioe.2021.647853. eCollection 2021.

Abstract

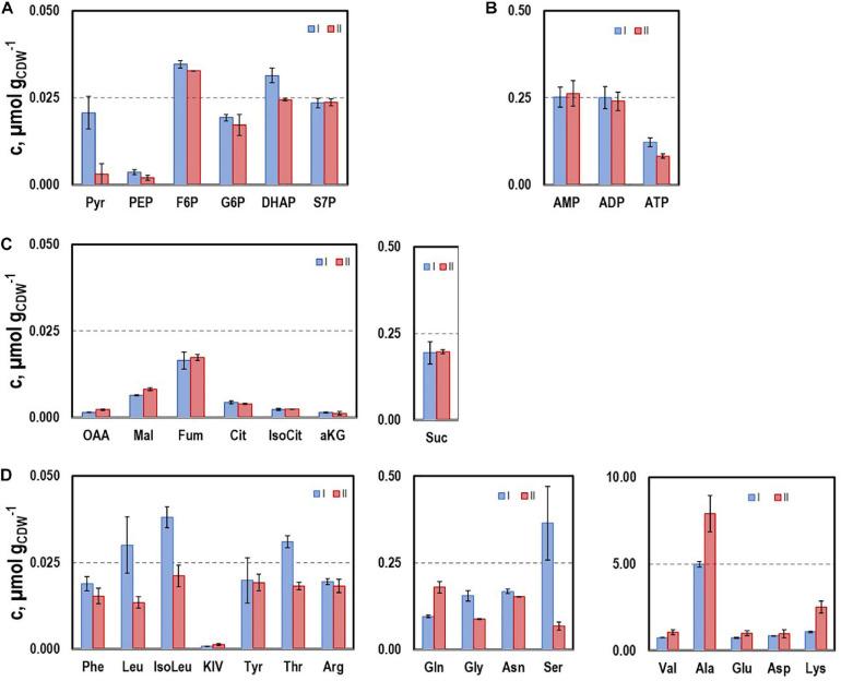
(, CLJU) is natively endowed producing acetic acid, 2,3-butandiol, and ethanol consuming gas mixtures of CO, CO, and H (syngas). Here, we present the syngas-based isobutanol formation using harboring the recombinant amplification of the "Ehrlich" pathway that converts intracellular KIV to isobutanol. Autotrophic isobutanol production was studied analyzing two different strains in 3-L gassed and stirred bioreactors. Physiological characterization was thoroughly applied together with metabolic profiling and flux balance analysis. Thereof, KIV and pyruvate supply were identified as key "bottlenecking" precursors limiting preliminary isobutanol formation in CLJU[KAIA] to 0.02 g L. Additional blocking of valine synthesis in CLJU[KAIA]: increased isobutanol production by factor 6.5 finally reaching 0.13 g L. Future metabolic engineering should focus on debottlenecking NADPH availability, whereas NADH supply is already equilibrated in the current generation of strains.

摘要

(,CLJU)天然具有产生乙酸、2,3-丁二醇和乙醇的能力,消耗由CO、CO和H(合成气)组成的气体混合物。在此,我们展示了利用携带将细胞内α-酮异戊酸转化为异丁醇的“埃利希”途径重组扩增的[具体内容缺失]进行基于合成气的异丁醇形成。在3-L通气搅拌生物反应器中分析两种不同菌株,研究了自养异丁醇的生产。生理特征分析与代谢谱分析和通量平衡分析一起得到了充分应用。由此,α-酮异戊酸和丙酮酸供应被确定为限制CLJU[KAIA]中初步异丁醇形成至0.02 g/L的关键“瓶颈”前体。在CLJU[KAIA]中额外阻断缬氨酸合成:使异丁醇产量提高了6.5倍,最终达到0.13 g/L。未来的代谢工程应专注于消除NADPH可用性的瓶颈,而在当前一代菌株中NADH供应已经达到平衡。

https://cdn.ncbi.nlm.nih.gov/pmc/blobs/b4d7/7968104/670ac632cc05/fbioe-09-647853-g001.jpg

文献检索

告别复杂PubMed语法,用中文像聊天一样搜索,搜遍4000万医学文献。AI智能推荐,让科研检索更轻松。

立即免费搜索

文件翻译

保留排版,准确专业,支持PDF/Word/PPT等文件格式,支持 12+语言互译。

免费翻译文档

深度研究

AI帮你快速写综述,25分钟生成高质量综述,智能提取关键信息,辅助科研写作。

立即免费体验