Suppr超能文献

基于 LASSO 的方法进行因果中介分析的变量选择。

Variable selection for causal mediation analysis using LASSO-based methods.

机构信息

Department of Statistics and Actuarial Science, University of Waterloo, Waterloo, ON, Canada.

Department of Epidemiology and Biostatistics, College of Public Health, Temple University, Philadelphia, PA, USA.

出版信息

Stat Methods Med Res. 2021 Jun;30(6):1413-1427. doi: 10.1177/0962280221997505. Epub 2021 Mar 23.

Abstract

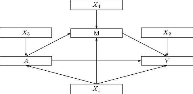
Causal mediation effect estimates can be obtained from marginal structural models using inverse probability weighting with appropriate weights. In order to compute weights, treatment and mediator propensity score models need to be fitted first. If the covariates are high-dimensional, parsimonious propensity score models can be developed by regularization methods including LASSO and its variants. Furthermore, in a mediation setup, more efficient direct or indirect effect estimators can be obtained by using outcome-adaptive LASSO to select variables for propensity score models by incorporating the outcome information. A simulation study is conducted to assess how different regularization methods can affect the performance of estimated natural direct and indirect effect odds ratios. Our simulation results show that regularizing propensity score models by outcome-adaptive LASSO can improve the efficiency of the natural effect estimators and by optimizing balance in the covariates, bias can be reduced in most cases. The regularization methods are then applied to MIMIC-III database, an ICU database developed by MIT.

摘要

因果中介效应估计可以通过逆概率加权(Inverse Probability Weighting,简称 IWP)从边缘结构模型中获得,并且需要使用适当的权重。为了计算权重,首先需要拟合处理和中介倾向评分模型。如果协变量是高维的,则可以通过正则化方法(包括 LASSO 及其变体)开发简约的倾向评分模型。此外,在中介设置中,可以通过使用基于结果的 LASSO 通过将结果信息纳入到倾向评分模型中,选择变量来获得更有效的直接或间接效应估计量。进行了一项模拟研究,以评估不同的正则化方法如何影响估计自然直接和间接效应优势比的性能。我们的模拟结果表明,通过基于结果的 LASSO 正则化倾向评分模型可以提高自然效应估计量的效率,并通过优化协变量的平衡,在大多数情况下可以减少偏差。然后将这些正则化方法应用于 MIMIC-III 数据库,这是由麻省理工学院开发的 ICU 数据库。

https://cdn.ncbi.nlm.nih.gov/pmc/blobs/3d83/8189011/25948bf4cf60/10.1177_0962280221997505-fig1.jpg

相似文献

1
Variable selection for causal mediation analysis using LASSO-based methods.
Stat Methods Med Res. 2021 Jun;30(6):1413-1427. doi: 10.1177/0962280221997505. Epub 2021 Mar 23.
2
Two-step estimation in ratio-of-mediator-probability weighted causal mediation analysis.
Stat Med. 2018 Apr 15;37(8):1304-1324. doi: 10.1002/sim.7581. Epub 2018 Jan 10.
3
Outcome-adaptive lasso: Variable selection for causal inference.
Biometrics. 2017 Dec;73(4):1111-1122. doi: 10.1111/biom.12679. Epub 2017 Mar 8.
4
Sampling weighting strategies in causal mediation analysis.
BMC Med Res Methodol. 2024 Jun 15;24(1):133. doi: 10.1186/s12874-024-02262-x.
5
7
Propensity score analysis methods with balancing constraints: A Monte Carlo study.
Stat Methods Med Res. 2021 Apr;30(4):1119-1142. doi: 10.1177/0962280220983512. Epub 2021 Feb 1.
8
Propensity score analysis with partially observed covariates: How should multiple imputation be used?
Stat Methods Med Res. 2019 Jan;28(1):3-19. doi: 10.1177/0962280217713032. Epub 2017 Jun 2.
10
Collaborative-controlled LASSO for constructing propensity score-based estimators in high-dimensional data.
Stat Methods Med Res. 2019 Apr;28(4):1044-1063. doi: 10.1177/0962280217744588. Epub 2017 Dec 11.

引用本文的文献

3
Association analysis between an epigenetic alcohol risk score and blood pressure.
Clin Epigenetics. 2024 Oct 28;16(1):149. doi: 10.1186/s13148-024-01753-4.
4
Association analysis between an epigenetic risk score and blood pressure.
Res Sq. 2024 Apr 19:rs.3.rs-4243866. doi: 10.21203/rs.3.rs-4243866/v1.
5
Association analysis between an epigenetic alcohol risk score and blood pressure.
medRxiv. 2024 Apr 11:2024.02.29.24303545. doi: 10.1101/2024.02.29.24303545.
6
High-dimensional generalized median adaptive lasso with application to omics data.
Brief Bioinform. 2024 Jan 22;25(2). doi: 10.1093/bib/bbae059.
8
Regularization approaches in clinical biostatistics: A review of methods and their applications.
Stat Methods Med Res. 2023 Feb;32(2):425-440. doi: 10.1177/09622802221133557. Epub 2022 Nov 16.

本文引用的文献

1
A Kernel-Based Metric for Balance Assessment.
J Causal Inference. 2018 Sep;6(2). doi: 10.1515/jci-2016-0029. Epub 2018 May 18.
2
Transthoracic echocardiography and mortality in sepsis: analysis of the MIMIC-III database.
Intensive Care Med. 2018 Jun;44(6):884-892. doi: 10.1007/s00134-018-5208-7. Epub 2018 May 28.
3
The MIMIC Code Repository: enabling reproducibility in critical care research.
J Am Med Inform Assoc. 2018 Jan 1;25(1):32-39. doi: 10.1093/jamia/ocx084.
4
A model averaging approach for estimating propensity scores by optimizing balance.
Stat Methods Med Res. 2019 Jan;28(1):84-101. doi: 10.1177/0962280217715487. Epub 2017 Jul 17.
5
Outcome-adaptive lasso: Variable selection for causal inference.
Biometrics. 2017 Dec;73(4):1111-1122. doi: 10.1111/biom.12679. Epub 2017 Mar 8.
6
MIMIC-III, a freely accessible critical care database.
Sci Data. 2016 May 24;3:160035. doi: 10.1038/sdata.2016.35.
7
A Boosting Algorithm for Estimating Generalized Propensity Scores with Continuous Treatments.
J Causal Inference. 2015 Mar 1;3(1):25-40. doi: 10.1515/jci-2014-0022. Epub 2014 Aug 1.
8
Variable selection for propensity score estimation via balancing covariates.
Epidemiology. 2015 Mar;26(2):e14-5. doi: 10.1097/EDE.0000000000000237.
9
Penalized regression procedures for variable selection in the potential outcomes framework.
Stat Med. 2015 May 10;34(10):1645-58. doi: 10.1002/sim.6433. Epub 2015 Jan 28.
10
Variable selection for propensity score models when estimating treatment effects on multiple outcomes: a simulation study.
Pharmacoepidemiol Drug Saf. 2013 Jan;22(1):77-85. doi: 10.1002/pds.3356. Epub 2012 Oct 16.

文献AI研究员

20分钟写一篇综述,助力文献阅读效率提升50倍。

立即体验

用中文搜PubMed

大模型驱动的PubMed中文搜索引擎

马上搜索

文档翻译

学术文献翻译模型,支持多种主流文档格式。

立即体验