Suppr超能文献

FeO/l-半胱氨酸ZnS:Mn纳米复合材料中锰光致发光的磁控

Magnetic Control of the Manganese Photoluminescence in FeO/l-Cys ZnS:Mn Nanocomposites.

作者信息

Sutariya Shyam, Bsatee Mohammed, Gololobova Olesia, Diaz-Diestra Daysi, Thapa Bibek, Weiner Brad R, Morell Gerardo, Jadwisienczak Wojciech M, Beltran-Huarac Juan

机构信息

Neuroscience Program, Department of Psychology, East Carolina University, Rawl Building, Greenville, North Carolina 27858, United States.

School of Electrical Engineering and Computer Science, Ohio University, Athens, Ohio 45701, United States.

出版信息

ACS Omega. 2021 Mar 10;6(11):7598-7604. doi: 10.1021/acsomega.0c06164. eCollection 2021 Mar 23.

Abstract

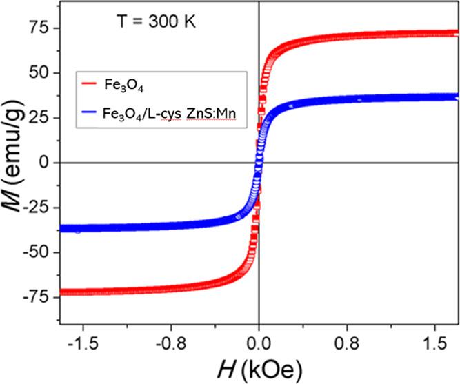
We investigated the magnetic control of the Mn photoluminescence (PL) in iron oxide/l-cysteine-capped zinc sulfide (FeO/l-cys ZnS:Mn) nanocomposites via temperature- and field-dependent PL intensity studies. FeO/l-cys ZnS:Mn was synthesized following a wet chemical deposition route and then its physicochemical, morphological, and magnetic properties were characterized. X-ray diffraction analysis indicates the formation of a semiconducting composite material with coexisting phases with high crystalline quality and purity. Electron microscopy reveals that the surfaces of the nanoparticles are clean and smooth, sized between 15 and 30 nm, without any sheathed amorphous phase. Vibrating sample magnetometry and UV light excitation show a clear superparamagnetic behavior and an optical response of FeO/l-cys ZnS:Mn, which revealed its bifunctional nature. Magnetoluminescent coupling at 1.0 T is seen in the form of PL suppression in FeO/l-cys ZnS:Mn from low temperature (10 K) to room temperature, with a PL intensity drop of ∼5% at 10 K and a maximum drop of 10% at room temperature. This observation can be explained by restriction of the energy transfer to Mn orbitals through magnetic ordering and Jahn-Teller distortions. FeO/l-cys ZnS:Mn shows promise as a bifunctional biocompatible compound that can be applied as a theranostic agent and a quantum computational element. A deeper understanding behind the magnetic control of the optical response in bifunctional materials brings forth new arenas in diagnostics and drug delivery.

摘要

我们通过对温度和磁场依赖的光致发光(PL)强度研究,探究了氧化铁/ l - 半胱氨酸包覆的硫化锌(FeO/ l - cys ZnS:Mn)纳米复合材料中锰光致发光(PL)的磁控特性。采用湿化学沉积法合成了FeO/ l - cys ZnS:Mn,然后对其物理化学、形态和磁性进行了表征。X射线衍射分析表明形成了一种具有共存相的半导体复合材料,具有高结晶质量和纯度。电子显微镜显示纳米颗粒表面干净光滑,尺寸在15至30纳米之间,没有任何包覆的非晶相。振动样品磁强计和紫外光激发显示出FeO/ l - cys ZnS:Mn具有明显的超顺磁行为和光学响应,揭示了其双功能性质。在1.0 T磁场下,从低温(10 K)到室温,FeO/ l - cys ZnS:Mn中观察到磁光耦合以PL抑制的形式出现,在10 K时PL强度下降约5%,在室温时最大下降10%。这一观察结果可以通过磁有序和 Jahn - Teller 畸变限制能量转移到锰轨道来解释。FeO/ l - cys ZnS:Mn有望成为一种双功能生物相容性化合物,可作为治疗诊断剂和量子计算元件。对双功能材料中光学响应磁控背后的更深入理解为诊断和药物递送带来了新的领域。

https://cdn.ncbi.nlm.nih.gov/pmc/blobs/f545/7992155/3a1e9f788a44/ao0c06164_0002.jpg

文献AI研究员

20分钟写一篇综述,助力文献阅读效率提升50倍。

立即体验

用中文搜PubMed

大模型驱动的PubMed中文搜索引擎

马上搜索

文档翻译

学术文献翻译模型,支持多种主流文档格式。

立即体验