Suppr超能文献

纳米制剂及口服盐酸小檗碱载脂体的评价

Nanoformulation and Evaluation of Oral Berberine-Loaded Liposomes.

机构信息

Faculty of Pharmacy, Duy Tan University, 03 Quang Trung Street, Da Nang 550000, Vietnam.

Department of Pharmaceutics, Hanoi University of Pharmacy, 13-15 Le Thanh Tong Street, Hoan Kiem District, Hanoi 110403, Vietnam.

出版信息

Molecules. 2021 Apr 29;26(9):2591. doi: 10.3390/molecules26092591.

Abstract

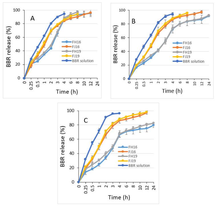
Berberine (BBR) is a poorly water-soluble quaternary isoquinoline alkaloid of plant origin with potential uses in the drug therapy of hypercholesterolemia. To tackle the limitations associated with the oral therapeutic use of BBR (such as a first-pass metabolism and poor absorption), BBR-loaded liposomes were fabricated by ethanol-injection and thin-film hydration methods. The size and size distribution, polydispersity index (PDI), solid-state properties, entrapment efficiency (EE) and in vitro drug release of liposomes were investigated. The BBR-loaded liposomes prepared by ethanol-injection and thin-film hydration methods presented an average liposome size ranging from 50 nm to 244 nm and from 111 nm to 449 nm, respectively. The PDI values for the liposomes were less than 0.3, suggesting a narrow size distribution. The EE of liposomes ranged from 56% to 92%. Poorly water-soluble BBR was found to accumulate in the bi-layered phospholipid membrane of the liposomes prepared by the thin-film hydration method. The BBR-loaded liposomes generated by both nanofabrication methods presented extended drug release behavior in vitro. In conclusion, both ethanol-injection and thin-film hydration nanofabrication methods are feasible for generating BBR-loaded oral liposomes with a uniform size, high EE and modified drug release behavior in vitro.

摘要

小檗碱(BBR)是一种来源于植物的水溶性差的季铵异喹啉生物碱,具有治疗高胆固醇血症的药物治疗潜力。为了解决 BBR 口服治疗的局限性(如首过代谢和吸收不良),采用乙醇注入法和薄膜水化法制备了载有 BBR 的脂质体。考察了脂质体的粒径和粒径分布、多分散指数(PDI)、固体状态性质、包封效率(EE)和体外药物释放。乙醇注入法和薄膜水化法制备的载 BBR 脂质体的平均粒径分别为 50nm 至 244nm 和 111nm 至 449nm。脂质体的 PDI 值均小于 0.3,表明粒径分布较窄。脂质体的 EE 范围为 56%至 92%。研究发现,疏水性差的 BBR 会在薄膜水化法制备的脂质体的双层磷脂膜中积累。通过两种纳米制造方法制备的载 BBR 脂质体在体外呈现出延长的药物释放行为。总之,乙醇注入法和薄膜水化纳米制造方法都可以用于生成具有均匀粒径、高 EE 和体外药物释放行为得到改善的 BBR 载口服脂质体。

https://cdn.ncbi.nlm.nih.gov/pmc/blobs/be8f/8125214/3254e2b0db8a/molecules-26-02591-g001.jpg

文献AI研究员

20分钟写一篇综述,助力文献阅读效率提升50倍。

立即体验

用中文搜PubMed

大模型驱动的PubMed中文搜索引擎

马上搜索

文档翻译

学术文献翻译模型,支持多种主流文档格式。

立即体验