Suppr超能文献

术中冰冻切片分析对口腔鳞状细胞癌最终切缘状态、复发和患者预后的影响。

The impact of intraoperative frozen section analysis on final resection margin status, recurrence, and patient outcome with oral squamous cell carcinoma.

机构信息

Department of Oral and Maxillofacial Surgery, Technical University of Munich, School of Medicine, Klinikum rechts der Isar, Ismaninger Straße 22, 81675, Munich, Germany.

出版信息

Clin Oral Investig. 2021 Dec;25(12):6769-6777. doi: 10.1007/s00784-021-03964-y. Epub 2021 May 6.

Abstract

BACKGROUND

The objective of this study was to evaluate the diagnostic value of intraoperative frozen section analysis (IFSA) of tumor bed margins in patients with oral squamous cell carcinoma (OSCC).

METHODS

This retrospective study includes 194 primary OSCC cases. The impact of intraoperative information by IFSA on final margin status, local recurrence, and disease-specific survival were analyzed.

RESULTS

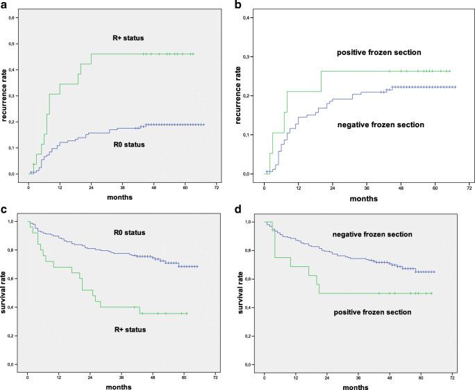
IFSA revealed a 50% sensitivity and a 100% specificity, with a positive and negative predictive value of 100% and 89.1%, respectively. In 19 cases, margins were rated positive by IFSA and remained positive in eight cases (42.1%), despite immediate re-resection. This constellation led to higher recurrence and lower survival rates than in cases with consecutive R0 status (each p = 0.046). Positive margins in IFSA were associated with closer final margins (p = 0.022) and early recurrences (p = 0.050).

CONCLUSIONS

Achieving instant R0 status has a crucial impact on disease recurrence and patient survival. IFSA falls short to ensure secure definite surgical margins. Thus, improved intraoperative diagnostic information on the location and extent of OSCC could support patient treatment.

CLINICAL RELEVANCE

Considering that patient survival has not improved despite progress in surgical and adjuvant therapy, the process and outcome of IFSA was scrutinized as one part of the treatment concept.

摘要

背景

本研究旨在评估口腔鳞状细胞癌(OSCC)患者肿瘤床切缘术中冰冻切片分析(IFSA)的诊断价值。

方法

本回顾性研究纳入了 194 例原发性 OSCC 病例。分析了 IFSA 术中信息对最终切缘状态、局部复发和疾病特异性生存的影响。

结果

IFSA 的灵敏度为 50%,特异度为 100%,阳性预测值和阴性预测值分别为 100%和 89.1%。在 19 例 IFSA 切缘阳性的病例中,有 8 例(42.1%)尽管立即再次切除,但仍为阳性。这种情况导致复发率和生存率均低于连续 R0 状态的病例(均为 p=0.046)。IFSA 中的阳性切缘与更近的最终切缘相关(p=0.022)和更早的复发相关(p=0.050)。

结论

即刻达到 R0 状态对疾病复发和患者生存有至关重要的影响。IFSA 无法确保安全的确定性手术切缘。因此,改善 OSCC 位置和范围的术中诊断信息可以支持患者的治疗。

临床意义

尽管手术和辅助治疗取得了进展,但患者的生存并未改善,因此将 IFSA 的过程和结果作为治疗概念的一部分进行了详细审查。

https://cdn.ncbi.nlm.nih.gov/pmc/blobs/773f/8602179/a2716c858017/784_2021_3964_Fig1_HTML.jpg

文献AI研究员

20分钟写一篇综述,助力文献阅读效率提升50倍。

立即体验

用中文搜PubMed

大模型驱动的PubMed中文搜索引擎

马上搜索

文档翻译

学术文献翻译模型,支持多种主流文档格式。

立即体验