Suppr超能文献

加拿大原住民的术后结果:系统评价。

Postoperative outcomes for Indigenous Peoples in Canada: a systematic review.

机构信息

Departments of Anesthesiology and Pain Medicine (McVicar, Poon, Bould, McIsaac) and of Surgery (Kimmaliardjuk), Faculty of Medicine (Ahmad, during the conduct of the study); Centre for Health Law, Policy and Ethics (Nickerson), University of Ottawa; The Ottawa Hospital (McVicar, Poon, Kimmaliardjuk, McIsaac); Children's Hospital of Eastern Ontario (Bould); Bruyère Research Institute (Nickerson), Ottawa, Ont.; Department of Surgery and Northern Medical Program (Caron), University of British Columbia, Prince George, BC; Centre for Excellence in Indigenous Health (Caron), University of British Columbia, Vancouver, BC; Department of Anesthesiology and Pain Medicine (Ahmad, at time of writing), University of Toronto, Toronto, Ont.; Qikiqtani General Hospital (Sheffield), Iqaluit, NU; West Parry Sound Health Centre (Champion), Parry Sound, Ont.; Department of Surgery (Champion), Northern Ontario School of Medicine, Sudbury, Ont.

出版信息

CMAJ. 2021 May 17;193(20):E713-E722. doi: 10.1503/cmaj.191682.

Abstract

BACKGROUND

Substantial health inequities exist for Indigenous Peoples in Canada. The remote and distributed population of Canada presents unique challenges for access to and use of surgery. To date, the surgical outcome data for Indigenous Peoples in Canada have not been synthesized.

METHODS

We searched 4 databases to identify studies comparing surgical outcomes and utilization rates of adults of First Nations, Inuit or Métis identity with non-Indigenous people in Canada. Independent reviewers completed all stages in duplicate. Our primary outcome was mortality; secondary outcomes included utilization rates of surgical procedures, complications and hospital length of stay. We performed meta-analysis of the primary outcome using random effects models. We assessed risk of bias using the ROBINS-I tool.

RESULTS

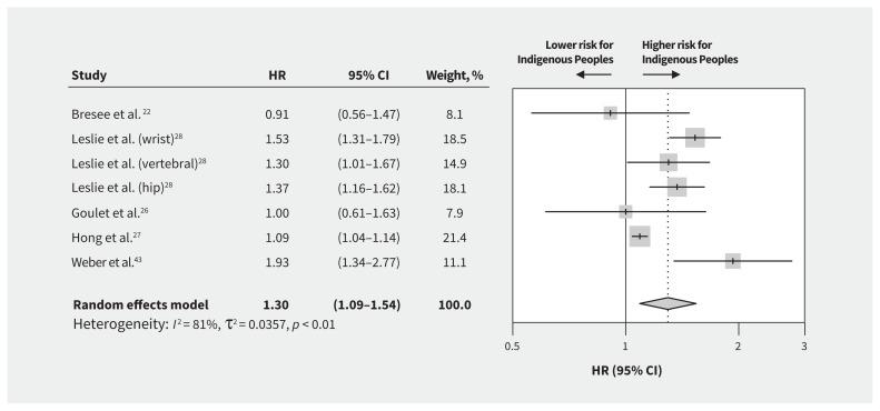
Twenty-eight studies were reviewed involving 1 976 258 participants (10.2% Indigenous). No studies specifically addressed Inuit or Métis populations. Four studies, including 7 cohorts, contributed adjusted mortality data for 7135 participants (5.2% Indigenous); Indigenous Peoples had a 30% higher rate of death after surgery than non-Indigenous patients (pooled hazard ratio 1.30, 95% CI 1.09-1.54; = 81%). Complications were also higher for Indigenous Peoples, including infectious complications (adjusted OR 1.63, 95% CI 1.13-2.34) and pneumonia (OR 2.24, 95% CI 1.58-3.19). Rates of various surgical procedures were lower, including rates of renal transplant, joint replacement, cardiac surgery and cesarean delivery.

INTERPRETATION

The currently available data on postoperative outcomes and surgery utilization rates for Indigenous Peoples in Canada are limited and of poor quality. Available data suggest that Indigenous Peoples have higher rates of death and adverse events after surgery, while also encountering barriers accessing surgical procedures. These findings suggest a need for substantial re-evaluation of surgical care for Indigenous Peoples in Canada to ensure equitable access and to improve outcomes.

PROTOCOL REGISTRATION

PROSPERO-CRD42018098757.

摘要

背景

加拿大的土著人民存在着大量的健康不平等现象。加拿大人口分布广泛,地理位置偏远,这给他们获得和使用手术带来了独特的挑战。迄今为止,加拿大土著人民的手术结果数据尚未进行综合分析。

方法

我们检索了 4 个数据库,以确定比较加拿大第一民族、因纽特人或梅蒂斯人身份的成年人与非土著人之间手术结果和手术利用率的研究。独立评审员以重复的方式完成了所有阶段。我们的主要结果是死亡率;次要结果包括手术程序、并发症和住院时间的利用率。我们使用随机效应模型对主要结果进行了荟萃分析。我们使用 ROBINS-I 工具评估了偏倚风险。

结果

共审查了 28 项研究,涉及 1976258 名参与者(10.2%为土著人)。没有研究专门针对因纽特人或梅蒂斯人。四项研究,包括 7 个队列,为 7135 名参与者提供了调整后的死亡率数据(5.2%为土著人);与非土著患者相比,土著人民手术后的死亡率高出 30%(汇总危险比 1.30,95%置信区间 1.09-1.54; = 81%)。土著人民的并发症也更高,包括感染性并发症(调整后的比值比 1.63,95%置信区间 1.13-2.34)和肺炎(比值比 2.24,95%置信区间 1.58-3.19)。各种手术的比例也较低,包括肾移植、关节置换、心脏手术和剖宫产的比例。

结论

目前加拿大土著人民手术后结果和手术利用率的数据有限,且质量较差。现有数据表明,土著人民手术后的死亡率和不良事件发生率较高,同时在获得手术程序方面也面临障碍。这些发现表明,需要对加拿大土著人民的手术护理进行大量重新评估,以确保公平获得手术机会,并改善手术结果。

注册协议

PROSPERO-CRD42018098757。

https://cdn.ncbi.nlm.nih.gov/pmc/blobs/386f/8177941/bff490670cfb/193e713f1.jpg

文献AI研究员

20分钟写一篇综述,助力文献阅读效率提升50倍。

立即体验

用中文搜PubMed

大模型驱动的PubMed中文搜索引擎

马上搜索

文档翻译

学术文献翻译模型,支持多种主流文档格式。

立即体验