Khan Hasib, Ibrahim Muhammad, Abdel-Aty Abdel-Haleem, Khashan M Motawi, Khan Farhat Ali, Khan Aziz
Department of Mathematics, Shaheed Benazir Bhutto University, Sheringal, Dir Upper, Khyber Pakhtunkhwa, Pakistan.
Department of Physics, College of Sciences, University of Bisha, P.O. Box 344, Bisha 61922, Saudi Arabia.
Chaos Solitons Fractals. 2021 Jul;148:111030. doi: 10.1016/j.chaos.2021.111030. Epub 2021 May 12.
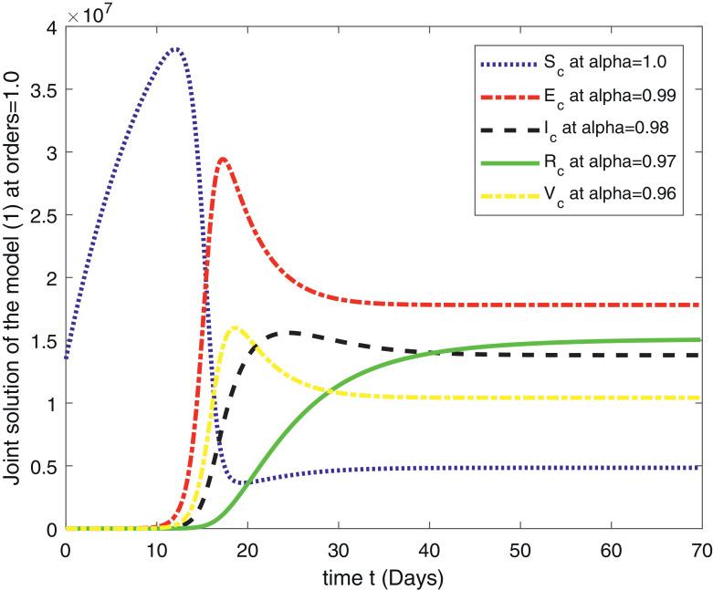
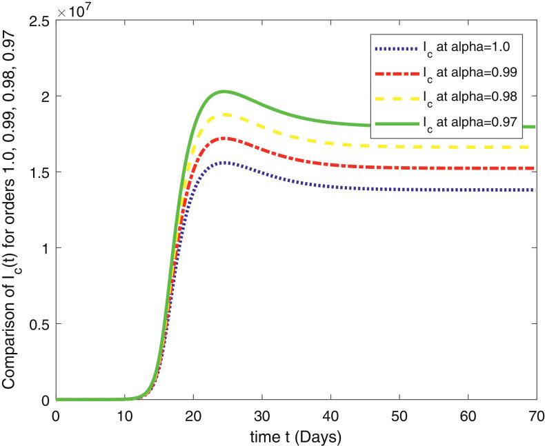
In this article, we are studying fractional-order COVID-19 model for the analytical and computational aspects. The model consists of five compartments including; which denotes susceptible class, represents exposed population, is the class for infected people who have been developed with COVID-19 and can cause spread in the population. The recovered class is denoted by and is the concentration of COVID-19 virus in the area. The computational study shows us that the spread will be continued for long time and the recovery reduces the infection rate. The numerical scheme is based on the Lagrange's interpolation polynomial and the numerical results for the suggested model are similar to the integer order which gives us the applicability of the numerical scheme and effectiveness of the fractional order derivative.
在本文中,我们正在研究分数阶新冠疫情模型的分析和计算方面。该模型由五个部分组成,其中,表示易感人群类别,代表潜伏人群,是已感染新冠病毒且可在人群中传播的感染人群类别。康复人群类别用表示,是该地区新冠病毒的浓度。计算研究表明,疫情传播将持续很长时间,康复会降低感染率。数值方案基于拉格朗日插值多项式,所提模型的数值结果与整数阶模型相似,这表明了该数值方案的适用性以及分数阶导数的有效性。