Suppr超能文献

乳酸菌的物理特性影响其对小鼠流感感染的保护水平。

Physical properties of lactic acid bacteria influence the level of protection against influenza infection in mice.

机构信息

Bio-Lab Co., Ltd., Hidaka, Saitama, Japan.

Graduate School of Engineering, Chubu University, Kasugai, Japan.

出版信息

PLoS One. 2021 May 18;16(5):e0251784. doi: 10.1371/journal.pone.0251784. eCollection 2021.

Abstract

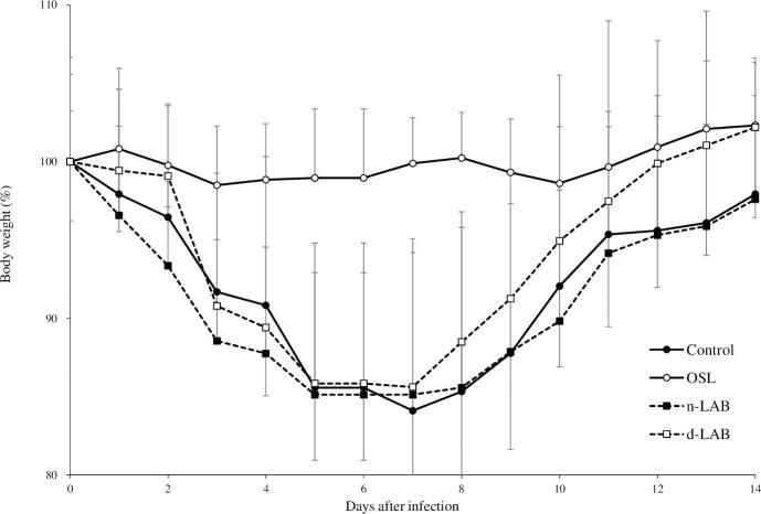
We evaluated whether the water dispersibility of lactic acid bacteria (Enterococcus faecalis KH2) affects their efficacy. When cultured lactic acid bacteria are washed, heat-killed, and powdered, adhesion occurs between results in aggregation (non-treated lactic acid bacteria, n-LAB). However, dispersed lactic acid bacteria (d-LAB) with a lower number of aggregates can be prepared by treating them with a high-pressure homogenizer and adding an excipient during powdering. Mice were administered n-LAB or d-LAB Peyer's patches in the small intestine were observed. Following n-LAB administration, a high amount of aggregated bacteria drifting in the intestinal mucosa was observed; meanwhile, d-LAB reached the Peyer's patches and was absorbed into them. Evaluation in a mouse influenza virus infection model showed that d-LAB was more effective than n-LAB in the influenza yield of bronchoalveolar lavage fluids on day 3 post-infection and neutralizing antibody titers of sera and influenza virus-specific immunoglobulin A in the feces on day 14 post-infection. Therefore, the physical properties of lactic acid bacteria affect their efficacy; controlling their water dispersibility can improve their effectiveness.

摘要

我们评估了乳酸菌(屎肠球菌 KH2)的水分散性是否会影响其功效。培养的乳酸菌经洗涤、热处理和粉末化后,会发生结果的粘连和聚集(未经处理的乳酸菌,n-LAB)。然而,通过高压匀质机处理并在粉末化过程中添加赋形剂,可以制备出聚集程度较低的分散乳酸菌(d-LAB)。将 n-LAB 或 d-LAB 给予小鼠,观察其在小肠中的派尔集合淋巴结。给予 n-LAB 后,观察到大量聚集的细菌在肠黏膜中漂移;而 d-LAB 则到达派尔集合淋巴结并被吸收。在小鼠流感病毒感染模型中的评估表明,与 n-LAB 相比,d-LAB 在感染后第 3 天的支气管肺泡灌洗液中的流感产量和感染后第 14 天的血清中和抗体滴度以及粪便中的流感病毒特异性免疫球蛋白 A 方面更有效。因此,乳酸菌的物理性质会影响其功效;控制其水分散性可以提高其效果。

https://cdn.ncbi.nlm.nih.gov/pmc/blobs/6fd9/8130949/1263d8a82b1c/pone.0251784.g001.jpg

文献AI研究员

20分钟写一篇综述,助力文献阅读效率提升50倍。

立即体验

用中文搜PubMed

大模型驱动的PubMed中文搜索引擎

马上搜索

文档翻译

学术文献翻译模型,支持多种主流文档格式。

立即体验