Suppr超能文献

血小板计数、平均血小板体积及红细胞分布宽度在早孕期子痫前期预测中的作用

Role of platelet count and mean platelet volume and red cell distribution width in the prediction of preeclampsia in early pregnancy.

作者信息

Sachan Rekha, Patel Munna Lal, Sachan Pushplata, Shyam Radhey

机构信息

Department of Obstetrics and Gynecology, King George Medical University, Lucknow, Uttar Pradesh, India.

Department of Medicine, King George Medical University, Lucknow, Uttar Pradesh, India.

出版信息

J Family Med Prim Care. 2021 Feb;10(2):838-843. doi: 10.4103/jfmpc.jfmpc_1528_20. Epub 2021 Feb 27.

Abstract

INTRODUCTION

Mean platelet volume (MPV), platelet count (PC), and red cell distribution width (RDW) are various blood indices that play important role in preeclampsia. This study aimed to evaluate the role of MPV, RDW, and PC for the prediction of preeclampsia in the early second trimester of pregnancy and to observe its correlation with disease severity.

MATERIAL AND METHODS

A prospective case-control study was conducted for 1 year in the Department of Obstetrics and Gynecology. A total of 543 healthy pregnant women were recruited, after obtaining informed consent and ethical clearance and followed till 6 weeks postpartum, 43 were lost to follow-up. Out of 500 women, nonsevere preeclampsia (NSPE) occurred in 16 women and severe preeclampsia (SPE) in 34 women. Around 51 healthy normotensive pregnant women were recruited after systematic randomization from the same cohort, who had not developed the disease, served as controls. NSPE and SPE were defined as per ACOG 2013b guideline. MPV, RDW, and PC were measured two times by the Siemens Advia analyzer; the first samples were withdrawn at the time of enrolment and the next sample was taken after the development of the disease, and both samples were analyzed.

RESULTS

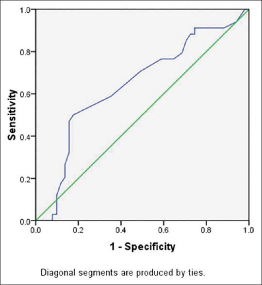
MPV was increased with the severity of preeclampsia, diagnostic accuracy was 69.4%, at a cutoff value of ≥9.05 fl and MPV discriminated controls and NSPE with 50.0% sensitivity and 82.4% specificity. To discriminate between controls and SPE, diagnostic accuracy was 74.6% at a cutoff value of ≥9.05 fl, with a sensitivity of 50%. For control versus SPE, MPCs at the cutoff value of ≥2.085 lac/mm had sensitivity 52.9% and specificity 66.7%, and diagnostic accuracy 61.2%. For RDW NSPE, at a cutoff value of ≥11.5%, it discriminated against controls and NSPE with 85.3% sensitivity and 49.0% specificity.

CONCLUSION

NSPE, MPV, RDW, and PCs had good discriminatory value with the severity of the disease.

摘要

引言

平均血小板体积(MPV)、血小板计数(PC)和红细胞分布宽度(RDW)是子痫前期中发挥重要作用的各项血液指标。本研究旨在评估MPV、RDW和PC在妊娠中期早期预测子痫前期中的作用,并观察其与疾病严重程度的相关性。

材料与方法

在妇产科进行了为期1年的前瞻性病例对照研究。共招募了543名健康孕妇,在获得知情同意和伦理批准后进行随访直至产后6周,43名失访。在500名女性中,16名发生非重度子痫前期(NSPE),34名发生重度子痫前期(SPE)。从同一队列中经过系统随机分组后招募了约51名未患该病的健康血压正常孕妇作为对照。NSPE和SPE根据美国妇产科医师学会(ACOG)2013b指南进行定义。MPV、RDW和PC由西门子Advia分析仪测量两次;第一次样本在入组时采集,第二次样本在疾病发生后采集,对两个样本均进行分析。

结果

MPV随着子痫前期严重程度增加,诊断准确率为69.4%,临界值≥9.05 fl时,MPV区分对照和NSPE的敏感性为50.0%,特异性为82.4%。区分对照和SPE时,临界值≥9.05 fl时诊断准确率为74.6%,敏感性为50%。对照与SPE相比,临界值≥2.085万/mm³时MPC的敏感性为52.9%,特异性为66.7%,诊断准确率为61.2%。对于RDW NSPE,临界值≥11.5%时,区分对照和NSPE的敏感性为85.3%,特异性为49.0%。

结论

NSPE、MPV、RDW和PC与疾病严重程度具有良好的鉴别价值。

https://cdn.ncbi.nlm.nih.gov/pmc/blobs/2e59/8138391/a16955c886ec/JFMPC-10-838-g001.jpg

文献AI研究员

20分钟写一篇综述,助力文献阅读效率提升50倍。

立即体验

用中文搜PubMed

大模型驱动的PubMed中文搜索引擎

马上搜索

文档翻译

学术文献翻译模型,支持多种主流文档格式。

立即体验