Suppr超能文献

牛尾骨椎间盘中的细胞组成:全面的单细胞 RNAseq 分析。

The Cellular Composition of Bovine Coccygeal Intervertebral Discs: A Comprehensive Single-Cell RNAseq Analysis.

机构信息

Tissue Engineering for Orthopaedics & Mechanobiology (TOM), Department for BioMedical Research (DBMR), University of Bern, 3008 Bern, Switzerland.

Department of Orthopaedic Surgery and Traumatology, Inselspital, Bern University Hospital, 3010 Bern, Switzerland.

出版信息

Int J Mol Sci. 2021 May 6;22(9):4917. doi: 10.3390/ijms22094917.

Abstract

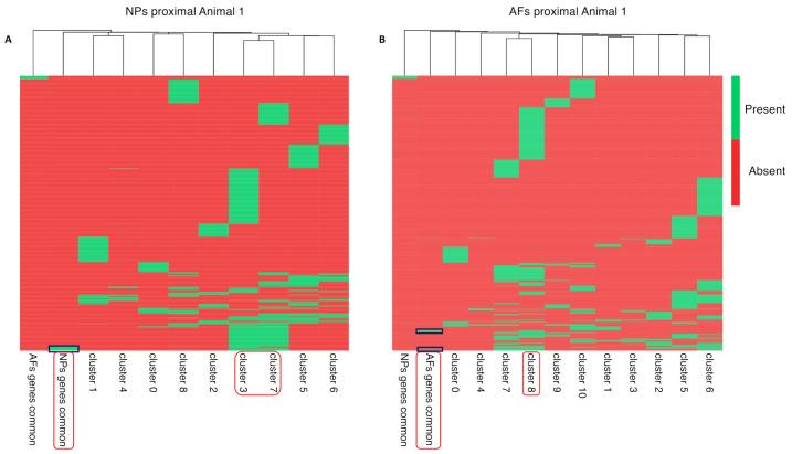
Intervertebral disc (IVD) degeneration and its medical consequences is still one of the leading causes of morbidity worldwide. To support potential regenerative treatments for degenerated IVDs, we sought to deconvolute the cell composition of the nucleus pulposus (NP) and the annulus fibrosus (AF) of bovine intervertebral discs. Bovine calf tails have been extensively used in intervertebral disc research as a readily available source of NP and AF material from healthy and young IVDs. We used single-cell RNA sequencing (scRNAseq) coupled to bulk RNA sequencing (RNAseq) to unravel the cell populations in these two structures and analyze developmental changes across the rostrocaudal axis. By integrating the scRNAseq data with the bulk RNAseq data to stabilize the clustering results of our study, we identified 27 NP structure/tissue specific genes and 24 AF structure/tissue specific genes. From our scRNAseq results, we could deconvolute the heterogeneous cell populations in both the NP and the AF. In the NP, we detected a notochordal-like cell cluster and a progenitor stem cell cluster. In the AF, we detected a stem cell-like cluster, a cluster with a predominantly fibroblast-like phenotype and a potential endothelial progenitor cluster. Taken together, our results illustrate the cell phenotypic complexity of the AF and NP in the young bovine IVDs.

摘要

椎间盘(IVD)退变及其医学后果仍然是全球发病率的主要原因之一。为了支持退变的 IVD 的潜在再生治疗,我们试图剖析牛椎间盘核(NP)和纤维环(AF)的细胞组成。牛犊尾巴在椎间盘研究中被广泛应用,因为它们是 NP 和 AF 材料的来源,可从健康和年轻的 IVD 中获得。我们使用单细胞 RNA 测序(scRNAseq)与批量 RNA 测序(RNAseq)相结合,以揭示这两种结构中的细胞群体,并分析沿头尾轴的发育变化。通过将 scRNAseq 数据与批量 RNAseq 数据集成,以稳定我们研究的聚类结果,我们确定了 27 个 NP 结构/组织特异性基因和 24 个 AF 结构/组织特异性基因。从我们的 scRNAseq 结果中,我们可以剖析 NP 和 AF 中的异质细胞群体。在 NP 中,我们检测到一个类脊索细胞簇和一个祖细胞干细胞簇。在 AF 中,我们检测到一个干细胞样簇、一个主要具有成纤维细胞样表型的簇和一个潜在的内皮祖细胞簇。总之,我们的结果说明了年轻牛 IVD 中 AF 和 NP 的细胞表型复杂性。

https://cdn.ncbi.nlm.nih.gov/pmc/blobs/7a6c/8124861/55ed6bbd218e/ijms-22-04917-g001.jpg

文献检索

告别复杂PubMed语法,用中文像聊天一样搜索,搜遍4000万医学文献。AI智能推荐,让科研检索更轻松。

立即免费搜索

文件翻译

保留排版,准确专业,支持PDF/Word/PPT等文件格式,支持 12+语言互译。

免费翻译文档

深度研究

AI帮你快速写综述,25分钟生成高质量综述,智能提取关键信息,辅助科研写作。

立即免费体验