Kazerooni Elham Ahmed, Maharachchikumbura Sajeewa S N, Adhikari Arjun, Al-Sadi Abdullah Mohammed, Kang Sang-Mo, Kim Lee-Rang, Lee In-Jung
Department of Applied Biosciences, Kyungpook National University, Daegu, South Korea.
School of Life Sciences and Technology, University of Electronic Science and Technology of China, Chengdu, China.
Front Plant Sci. 2021 May 25;12:669693. doi: 10.3389/fpls.2021.669693. eCollection 2021.
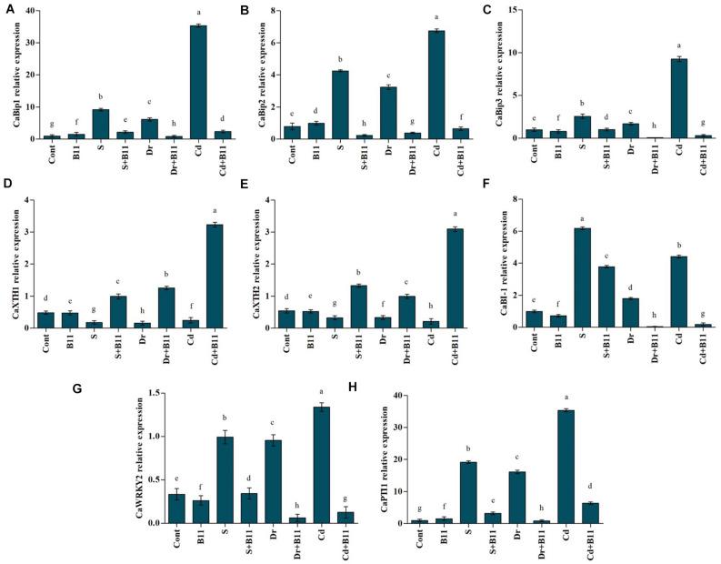
Plant growth-promoting rhizobacteria (PGPR) are beneficial microorganisms that can be utilized to improve plant responses against biotic and abiotic stresses. In this study, we investigated whether PGPR () isolated from the endorhizosphere of have the potential to sustain pepper growth under drought, salinity, and heavy metal stresses. The bacterial strain was determined based on 16S rDNA and gyrB gene sequencing and characterized based on the following biochemical traits: nitrogen fixation; 1-aminocyclopropane-1-carboxylate deaminase activity; indole acetic acid production; inorganic phosphate, potassium, zinc, and silicon solubilization; and siderophore production. Various abiotic stresses were applied to 28-day-old pepper seedlings, and the influence of the PGPR strain on pepper seedling growth under these stress conditions was evaluated. The application of PGPR improved survival of the inoculated pepper plants under stress conditions, which was reflected by higher seedling growth rate and improved physiochemical traits. The PGPR-treated plants maintained high chlorophyll, salicylic acid, sugar, amino acid, and proline contents and showed low lipid metabolism, abscisic acid, protein, hydrogen peroxide contents, and antioxidant activities under stress conditions. Gene expression studies confirmed our physiological and biochemical findings. PGPR inoculation led to enhanced expression of XTH genes and reduced expression of , and binding immunoglobulin protein (BiP) genes. We conclude that the PGPR strain described in this study has great potential for use in the phytoremediation of heavy metals and for enhancing pepper plant productivity under stress conditions, particularly those involving salinity and drought.
植物促生根际细菌(PGPR)是一类有益微生物,可用于改善植物对生物和非生物胁迫的响应。在本研究中,我们调查了从[植物名称]根内根际分离出的PGPR([细菌名称])是否有潜力在干旱、盐度和重金属胁迫下维持辣椒生长。基于16S rDNA和gyrB基因测序确定该细菌菌株,并根据以下生化特性进行表征:固氮;1-氨基环丙烷-1-羧酸脱氨酶活性;吲哚乙酸产生;无机磷酸盐、钾、锌和硅的溶解;以及铁载体产生。对28日龄的辣椒幼苗施加各种非生物胁迫,并评估PGPR菌株在这些胁迫条件下对辣椒幼苗生长的影响。PGPR的应用提高了接种辣椒植株在胁迫条件下的存活率,这表现为更高的幼苗生长速率和改善的理化特性。经PGPR处理的植株在胁迫条件下保持较高的叶绿素、水杨酸、糖、氨基酸和脯氨酸含量,且脂质代谢、脱落酸、蛋白质、过氧化氢含量和抗氧化活性较低。基因表达研究证实了我们的生理和生化研究结果。PGPR接种导致XTH基因表达增强,[基因名称]和结合免疫球蛋白蛋白(BiP)基因表达降低。我们得出结论,本研究中描述的PGPR菌株在重金属植物修复以及在胁迫条件下提高辣椒植株生产力方面具有巨大潜力,特别是在涉及盐度和干旱的胁迫条件下。