Department of Mathematics, Bangladesh University of Engineering and Technology, Dhaka, Bangladesh.
Interdisciplinary Graduate School of Engineering Sciences, Kyushu University, Kasuga-koen, Kasuga-shi, Fukuoka, 816-8580, Japan.
Sci Rep. 2021 Jun 16;11(1):12621. doi: 10.1038/s41598-021-92094-2.
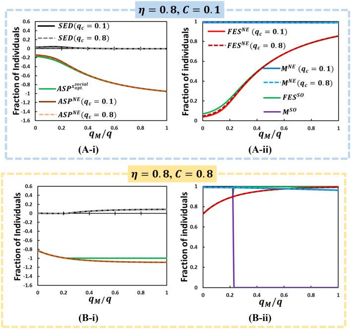
In the midst of the COVID-19 pandemic, with limited or no supplies of vaccines and treatments, people and policymakers seek easy to implement and cost-effective alternatives to combat the spread of infection during the pandemic. The practice of wearing a mask, which requires change in people's usual behavior, may reduce disease transmission by preventing the virus spread from infectious to susceptible individuals. Wearing a mask may result in a public good game structure, where an individual does not want to wear a mask but desires that others wear it. This study develops and analyzes a new intervention game model that combines the mathematical models of epidemiology with evolutionary game theory. This approach quantifies how people use mask-wearing and related protecting behaviors that directly benefit the wearer and bring some advantage to other people during an epidemic. At each time-step, a suspected susceptible individual decides whether to wear a facemask, or not, due to a social learning process that accounts for the risk of infection and mask cost. Numerical results reveal a diverse and rich social dilemma structure that is hidden behind this mask-wearing dilemma. Our results highlight the sociological dimension of mask-wearing policy.
在 COVID-19 大流行期间,由于疫苗和治疗方法的供应有限或不存在,人们和政策制定者寻求易于实施且具有成本效益的替代方案,以在大流行期间控制感染的传播。戴口罩是一种改变人们日常行为的做法,它可以通过防止病毒从感染者传播到易感染者来减少疾病传播。戴口罩可能会导致公共利益博弈结构,即个人不想戴口罩,但希望其他人戴口罩。本研究开发并分析了一种新的干预博弈模型,该模型将传染病数学模型与进化博弈论相结合。这种方法量化了人们在流行期间如何使用直接使佩戴者受益并为其他人带来一些好处的口罩佩戴和相关保护行为。在每个时间步长,由于考虑到感染风险和口罩成本的社会学习过程,一个疑似易感个体决定是否戴口罩。数值结果揭示了隐藏在这种戴口罩困境背后的多样化和丰富的社会困境结构。我们的研究结果突出了口罩佩戴政策的社会学维度。