• 文献检索
  • 文档翻译
  • 深度研究
  • 学术资讯
  • Suppr Zotero 插件Zotero 插件
  • 邀请有礼
  • 套餐&价格
  • 历史记录
应用&插件
Suppr Zotero 插件Zotero 插件浏览器插件Mac 客户端Windows 客户端微信小程序
定价
高级版会员购买积分包购买API积分包
服务
文献检索文档翻译深度研究API 文档MCP 服务
关于我们
关于 Suppr公司介绍联系我们用户协议隐私条款
关注我们

Suppr 超能文献

核心技术专利:CN118964589B侵权必究
粤ICP备2023148730 号-1Suppr @ 2026

文献检索

告别复杂PubMed语法,用中文像聊天一样搜索,搜遍4000万医学文献。AI智能推荐,让科研检索更轻松。

立即免费搜索

文件翻译

保留排版,准确专业,支持PDF/Word/PPT等文件格式,支持 12+语言互译。

免费翻译文档

深度研究

AI帮你快速写综述,25分钟生成高质量综述,智能提取关键信息,辅助科研写作。

立即免费体验

在接种疫苗前,比利时医院医护人员中抗 SARS-CoV-2 抗体的流行率和发生率:一项前瞻性队列研究。

Prevalence and incidence of anti-SARS-CoV-2 antibodies among healthcare workers in Belgian hospitals before vaccination: a prospective cohort study.

机构信息

Department of Epidemiology and Public Health, Sciensano, Brussels, Belgium

European Programme for Intervention Epidemiology Training (EPIET), ECDC, Solna, Sweden.

出版信息

BMJ Open. 2021 Jun 29;11(6):e050824. doi: 10.1136/bmjopen-2021-050824.

DOI:10.1136/bmjopen-2021-050824
PMID:34187832
原文链接:https://pmc.ncbi.nlm.nih.gov/articles/PMC8245288/
Abstract

OBJECTIVES

To describe prevalence and incidence of anti-SARS-CoV-2 antibodies among Belgian hospital healthcare workers (HCW) in April-December 2020.

DESIGN

Prospective cohort study. Follow-up was originally planned until September and later extended.

SETTING

Multicentre study, 17 hospitals.

PARTICIPANTS

50 HCW were randomly selected per hospital. HCW employed beyond the end of the study and whose profession involved contact with patients were eligible. 850 HCW entered the study in April-May 2020, 673 HCW (79%) attended the September visit and 308 (36%) the December visit.

OUTCOME MEASURES

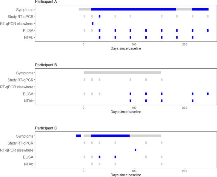
A semiquantitative ELISA was used to detect IgG against SARS-CoV-2 in serum (Euroimmun) at 10 time points. In seropositive samples, neutralising antibodies were measured using a virus neutralisation test. Real-time reverse transcription PCR (RT-qPCR) was performed to detect SARS-CoV-2 on nasopharyngeal swabs. Participant characteristics and the presence of symptoms were collected via an online questionnaire.

RESULTS

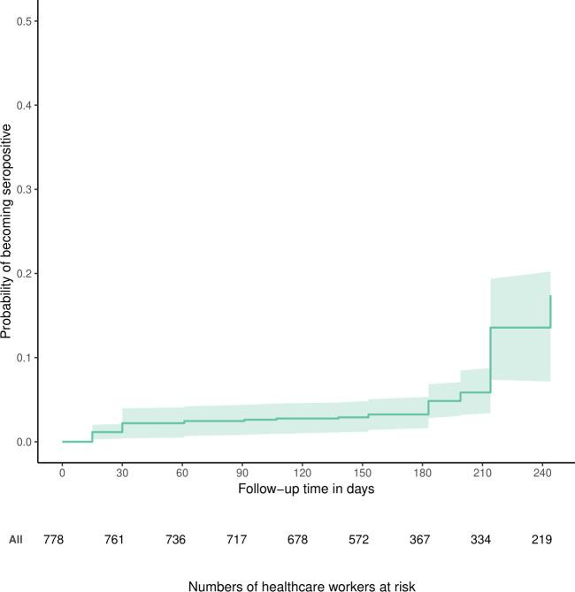
Among all participants, 80% were women, 60% nurses and 21% physicians. Median age was 40 years. The seroprevalence remained relatively stable from April (7.7% (95% CI: 4.8% to 12.1%) to September (8.2% (95% CI: 5.7% to 11.6%)) and increased thereafter, reaching 19.7% (95% CI: 12.0% to 30.6%) in December 2020. 76 of 778 initially seronegative participants seroconverted during the follow-up (incidence: 205/1000 person-years). Among all seropositive individuals, 118/148 (80%) had a positive neutralisation test, 83/147 (56%) presented or reported a positive RT-qPCR, and 130/147 (88%) reported COVID-19-compatible symptoms at least once. However, only 46/73 (63%) of the seroconverters presented COVID-19-compatible symptoms in the month prior to seroconversion.

CONCLUSIONS

The seroprevalence among hospital HCW was slightly higher than that of the general Belgian population but followed a similar evolution, suggesting that infection prevention and control measures were effective and should be strictly maintained. After two SARS-CoV-2 waves, 80% of HCW remained seronegative, justifying their prioritisation in the vaccination strategy.

TRIAL REGISTRATION NUMBER

NCT04373889.

摘要

目的

描述 2020 年 4 月至 12 月期间比利时医院医护人员(HCW)中抗 SARS-CoV-2 抗体的流行率和发病率。

设计

前瞻性队列研究。最初计划随访至 9 月,后来延长。

地点

多中心研究,17 家医院。

参与者

每家医院随机选择 50 名 HCW。在研究结束后仍受雇且其职业涉及与患者接触的 HCW 有资格参加。2020 年 4 月至 5 月期间,有 850 名 HCW 进入研究,673 名 HCW(79%)参加了 9 月的访问,308 名 HCW(36%)参加了 12 月的访问。

结局测量

使用酶联免疫吸附试验(Euroimmun)在 10 个时间点检测血清中的 IgG 对 SARS-CoV-2 的反应(半定量)。在血清阳性样本中,使用病毒中和试验测量中和抗体。使用实时逆转录聚合酶链反应(RT-qPCR)检测鼻咽拭子中的 SARS-CoV-2。通过在线问卷收集参与者特征和症状存在情况。

结果

在所有参与者中,80%为女性,60%为护士,21%为医生。中位年龄为 40 岁。血清阳性率从 4 月(7.7%(95%可信区间:4.8%至 12.1%)至 9 月(8.2%(95%可信区间:5.7%至 11.6%))相对稳定,此后增加,2020 年 12 月达到 19.7%(95%可信区间:12.0%至 30.6%)。在随访期间,778 名最初血清阴性的参与者中有 76 名发生血清转化(发病率:205/1000人年)。在所有血清阳性者中,118/148(80%)的中和试验阳性,83/147(56%)出现或报告 RT-qPCR 阳性,130/147(88%)至少出现过一次符合 COVID-19 的症状。然而,在血清转化前一个月,只有 46/73(63%)的血清转化者出现符合 COVID-19 的症状。

结论

医院 HCW 的血清阳性率略高于比利时一般人群,但呈相似的演变,表明感染预防和控制措施是有效的,应严格维持。在经历了两次 SARS-CoV-2 浪潮后,80%的 HCW 仍呈血清阴性,这证明他们在疫苗接种策略中应优先考虑。

临床试验注册号

NCT04373889。

https://cdn.ncbi.nlm.nih.gov/pmc/blobs/f175/8245288/e1ed7845d047/bmjopen-2021-050824f03.jpg
https://cdn.ncbi.nlm.nih.gov/pmc/blobs/f175/8245288/5f5409f63e2e/bmjopen-2021-050824f01.jpg
https://cdn.ncbi.nlm.nih.gov/pmc/blobs/f175/8245288/45b3e8f6f1df/bmjopen-2021-050824f02.jpg
https://cdn.ncbi.nlm.nih.gov/pmc/blobs/f175/8245288/e1ed7845d047/bmjopen-2021-050824f03.jpg
https://cdn.ncbi.nlm.nih.gov/pmc/blobs/f175/8245288/5f5409f63e2e/bmjopen-2021-050824f01.jpg
https://cdn.ncbi.nlm.nih.gov/pmc/blobs/f175/8245288/45b3e8f6f1df/bmjopen-2021-050824f02.jpg
https://cdn.ncbi.nlm.nih.gov/pmc/blobs/f175/8245288/e1ed7845d047/bmjopen-2021-050824f03.jpg

相似文献

1
Prevalence and incidence of anti-SARS-CoV-2 antibodies among healthcare workers in Belgian hospitals before vaccination: a prospective cohort study.在接种疫苗前,比利时医院医护人员中抗 SARS-CoV-2 抗体的流行率和发生率:一项前瞻性队列研究。
BMJ Open. 2021 Jun 29;11(6):e050824. doi: 10.1136/bmjopen-2021-050824.
2
Immunoglobin G/total antibody testing for SARS-CoV-2: A prospective cohort study of ambulatory patients and health care workers in two Belgian oncology units comparing three commercial tests.免疫球蛋白 G/总抗体检测用于 SARS-CoV-2:在比利时两家肿瘤学单位的门诊患者和医护人员中进行的前瞻性队列研究,比较了三种商业检测方法。
Eur J Cancer. 2021 May;148:328-339. doi: 10.1016/j.ejca.2021.02.024. Epub 2021 Feb 27.
3
Prevalence, incidence and longevity of antibodies against SARS-CoV-2 among primary healthcare providers in Belgium: a prospective cohort study with 12 months of follow-up.在比利时初级保健提供者中针对 SARS-CoV-2 的抗体的流行率、发生率和持久性:一项前瞻性队列研究,随访 12 个月。
BMJ Open. 2022 Sep 19;12(9):e065897. doi: 10.1136/bmjopen-2022-065897.
4
Healthcare workers highly affected during the COVID-19 epidemic wave in Poland prior to vaccination availability: seroprevalence study.在波兰有疫苗可用之前,新冠疫情期间受影响严重的医护人员:血清流行率研究。
Med Pr. 2022 Apr 22;73(2):109-123. doi: 10.13075/mp.5893.01216. Epub 2022 Mar 17.
5
A prospective, randomized, single-blinded, crossover trial to investigate the effect of a wearable device in addition to a daily symptom diary for the remote early detection of SARS-CoV-2 infections (COVID-RED): a structured summary of a study protocol for a randomized controlled trial.一项前瞻性、随机、单盲、交叉试验,旨在研究可穿戴设备对远程早期检测 SARS-CoV-2 感染(COVID-RED)的影响:一项随机对照试验研究方案的结构化总结。
Trials. 2021 Jun 22;22(1):412. doi: 10.1186/s13063-021-05241-5.
6
SARS-CoV-2-Specific Neutralizing Antibody Responses in Norwegian Health Care Workers After the First Wave of COVID-19 Pandemic: A Prospective Cohort Study.SARS-CoV-2 特异性中和抗体反应在 COVID-19 大流行第一波后挪威医护人员中的前瞻性队列研究。
J Infect Dis. 2021 Feb 24;223(4):589-599. doi: 10.1093/infdis/jiaa737.
7
High seroprevalence of SARS-CoV-2 antibodies in healthcare workers in COVID-19 wards indicates an occupational hazard-a prospective cohort study during the first year of the COVID-19 pandemic in Kalmar County, Sweden.在 COVID-19 病房工作的医护人员中 SARS-CoV-2 抗体的高血清阳性率表明存在职业危害——瑞典卡尔马县 COVID-19 大流行第一年的一项前瞻性队列研究。
APMIS. 2023 Sep;131(9):491-497. doi: 10.1111/apm.13343. Epub 2023 Jul 18.
8
Prevalence and incidence of antibodies against SARS-CoV-2 among primary healthcare providers in Belgium during 1 year of the COVID-19 epidemic: prospective cohort study protocol.在 COVID-19 疫情期间,比利时初级保健提供者中针对 SARS-CoV-2 的抗体的流行率和发生率:前瞻性队列研究方案。
BMJ Open. 2022 Jan 31;12(1):e054688. doi: 10.1136/bmjopen-2021-054688.
9
Effectiveness and cost-effectiveness of four different strategies for SARS-CoV-2 surveillance in the general population (CoV-Surv Study): a structured summary of a study protocol for a cluster-randomised, two-factorial controlled trial.在普通人群中进行 SARS-CoV-2 监测的四种不同策略的有效性和成本效益(CoV-Surv 研究):一项关于集群随机、双因素对照试验的研究方案的结构化总结。
Trials. 2021 Jan 8;22(1):39. doi: 10.1186/s13063-020-04982-z.
10
A prospective, randomized, single-blinded, crossover trial to investigate the effect of a wearable device in addition to a daily symptom diary for the Remote Early Detection of SARS-CoV-2 infections (COVID-RED): a structured summary of a study protocol for a randomized controlled trial.一项前瞻性、随机、单盲、交叉试验,旨在研究可穿戴设备对 SARS-CoV-2 感染(COVID-RED)的远程早期检测的影响:一项随机对照试验研究方案的结构化总结。
Trials. 2021 Oct 11;22(1):694. doi: 10.1186/s13063-021-05643-5.

引用本文的文献

1
SARS-CoV-2 Seropositivity in Nursing Home Staff and Residents during the First SARS-CoV-2 Wave in Flanders, Belgium.SARS-CoV-2 血清阳性率在养老院工作人员和居民在第一波 SARS-CoV-2 在佛兰德斯,比利时。
Viruses. 2024 Sep 14;16(9):1461. doi: 10.3390/v16091461.
2
COVID-19 seroprevalence cohort survey among health care workers and their household members in Kinshasa, DR Congo, 2020-2022.2020-2022 年,刚果民主共和国金沙萨卫生工作者及其家庭成员中的 COVID-19 血清流行率队列调查。
J Health Popul Nutr. 2024 Jun 1;43(1):74. doi: 10.1186/s41043-024-00536-0.
3
Prevalence of SARS-CoV-2 antibodies and associated factors in the adult population of Belgium: a general population cohort study between March 2021 and April 2022.

本文引用的文献

1
Seroprevalence of IgG antibodies against SARS-CoV-2 - a serial prospective cross-sectional nationwide study of residual samples, Belgium, March to October 2020.2020 年 3 月至 10 月,比利时全国连续前瞻性横断面研究中针对 SARS-CoV-2 的 IgG 抗体血清阳性率-残留样本。
Euro Surveill. 2022 Mar;27(9). doi: 10.2807/1560-7917.ES.2022.27.9.2100419.
2
Prospective SARS-CoV-2 cohort study among primary health care providers during the second COVID-19 wave in Flanders, Belgium.前瞻性 SARS-CoV-2 队列研究,在比利时弗兰德斯第二次 COVID-19 浪潮期间,针对初级保健提供者。
Fam Pract. 2022 Jan 19;39(1):92-98. doi: 10.1093/fampra/cmab094.
3
比利时成年人群中SARS-CoV-2抗体的流行情况及相关因素:2021年3月至2022年4月的一项普通人群队列研究
Arch Public Health. 2024 May 15;82(1):72. doi: 10.1186/s13690-024-01298-1.
4
A prospective cohort study of SARS-CoV-2 infection-induced seroconversion and disease incidence in German healthcare workers before and during the rollout of COVID-19 vaccines.一项在德国卫生保健工作者中开展的前瞻性队列研究,旨在调查 COVID-19 疫苗接种前和接种期间 SARS-CoV-2 感染诱导的血清转换和疾病发病率。
PLoS One. 2024 Jan 30;19(1):e0294025. doi: 10.1371/journal.pone.0294025. eCollection 2024.
5
Analysis of the prevalence of anti-SARS-CoV-2 antibodies in groups of medical and non-medical professions.分析医疗和非医疗职业群体中抗 SARS-CoV-2 抗体的流行情况。
Int J Occup Med Environ Health. 2023 Nov 27;36(5):643-655. doi: 10.13075/ijomeh.1896.02162. Epub 2023 Sep 27.
6
Comparison of SARS-CoV-2 seroconversion in children with chronic diseases with healthy children and adults during the first waves of the COVID-19 pandemic.新冠疫情第一波期间慢性病患儿与健康儿童及成人的新冠病毒血清转化情况比较。
Front Pediatr. 2023 Aug 7;11:1210181. doi: 10.3389/fped.2023.1210181. eCollection 2023.
7
Validation of a rapid SARS-CoV-2 antibody test in general practice.在全科医学中验证一种快速 SARS-CoV-2 抗体检测方法。
BMJ Open. 2023 May 2;13(5):e069997. doi: 10.1136/bmjopen-2022-069997.
8
Impact of influenza vaccination on GP-diagnosed COVID-19 and all-cause mortality: a Dutch cohort study.流感疫苗接种对全科医生诊断的 COVID-19 和全因死亡率的影响:一项荷兰队列研究。
BMJ Open. 2022 Sep 22;12(9):e061727. doi: 10.1136/bmjopen-2022-061727.
9
Prevalence, incidence and longevity of antibodies against SARS-CoV-2 among primary healthcare providers in Belgium: a prospective cohort study with 12 months of follow-up.在比利时初级保健提供者中针对 SARS-CoV-2 的抗体的流行率、发生率和持久性:一项前瞻性队列研究,随访 12 个月。
BMJ Open. 2022 Sep 19;12(9):e065897. doi: 10.1136/bmjopen-2022-065897.
10
The coronavirus pandemic: Psychosocial burden, risk-perception, and attitudes in the Austrian population and its relation to media consumption.冠状病毒大流行:奥地利人群的心理社会负担、风险感知和态度及其与媒体消费的关系。
Front Public Health. 2022 Aug 10;10:921196. doi: 10.3389/fpubh.2022.921196. eCollection 2022.
Immunological memory to SARS-CoV-2 assessed for up to 8 months after infection.
对感染后长达 8 个月的 SARS-CoV-2 进行免疫记忆评估。
Science. 2021 Feb 5;371(6529). doi: 10.1126/science.abf4063. Epub 2021 Jan 6.
4
Persistence of IgG response to SARS-CoV-2.对严重急性呼吸综合征冠状病毒2(SARS-CoV-2)的IgG反应的持续性。
Lancet Infect Dis. 2021 Feb;21(2):163-164. doi: 10.1016/S1473-3099(20)30943-9. Epub 2020 Dec 17.
5
Evaluating SARS-CoV-2 spike and nucleocapsid proteins as targets for antibody detection in severe and mild COVID-19 cases using a Luminex bead-based assay.评估 SARS-CoV-2 刺突蛋白和核衣壳蛋白作为基于 Luminex bead 检测的严重和轻症 COVID-19 病例抗体检测靶点。
J Virol Methods. 2021 Feb;288:114025. doi: 10.1016/j.jviromet.2020.114025. Epub 2020 Nov 20.
6
Seroprevalence of SARS-CoV-2 antibodies and associated factors in healthcare workers: a systematic review and meta-analysis.医护人员中 SARS-CoV-2 抗体的血清流行率及相关因素:系统评价和荟萃分析。
J Hosp Infect. 2021 Feb;108:120-134. doi: 10.1016/j.jhin.2020.11.008. Epub 2020 Nov 16.
7
Comparative Performance of Five Commercially Available Serologic Assays To Detect Antibodies to SARS-CoV-2 and Identify Individuals with High Neutralizing Titers.五种市售血清学检测方法检测 SARS-CoV-2 抗体的性能比较及识别高中和抗体滴度个体。
J Clin Microbiol. 2021 Jan 21;59(2). doi: 10.1128/JCM.02257-20.
8
Covid-19: risks to healthcare workers and their families.新型冠状病毒肺炎:医护人员及其家人面临的风险。
BMJ. 2020 Oct 28;371:m3944. doi: 10.1136/bmj.m3944.
9
SARS-CoV-2 seroprevalence and neutralizing activity in donor and patient blood.SARS-CoV-2 血清阳性率及中和活性在供者和患者血液中的变化。
Nat Commun. 2020 Sep 17;11(1):4698. doi: 10.1038/s41467-020-18468-8.
10
Asymptomatic SARS Coronavirus 2 infection: Invisible yet invincible.无症状的严重急性呼吸综合征冠状病毒 2 感染:无形却不可战胜。
Int J Infect Dis. 2020 Nov;100:112-116. doi: 10.1016/j.ijid.2020.08.076. Epub 2020 Sep 3.