Suppr超能文献

羧基化纤维素纳米晶体的制备与表面功能化

Preparation and Surface Functionalization of Carboxylated Cellulose Nanocrystals.

作者信息

Lam Edmond, Hemraz Usha D

机构信息

Aquatic and Crop Resource Development Research Centre, National Research Council of Canada, Montreal, QC H4P 2R2, Canada.

出版信息

Nanomaterials (Basel). 2021 Jun 22;11(7):1641. doi: 10.3390/nano11071641.

Abstract

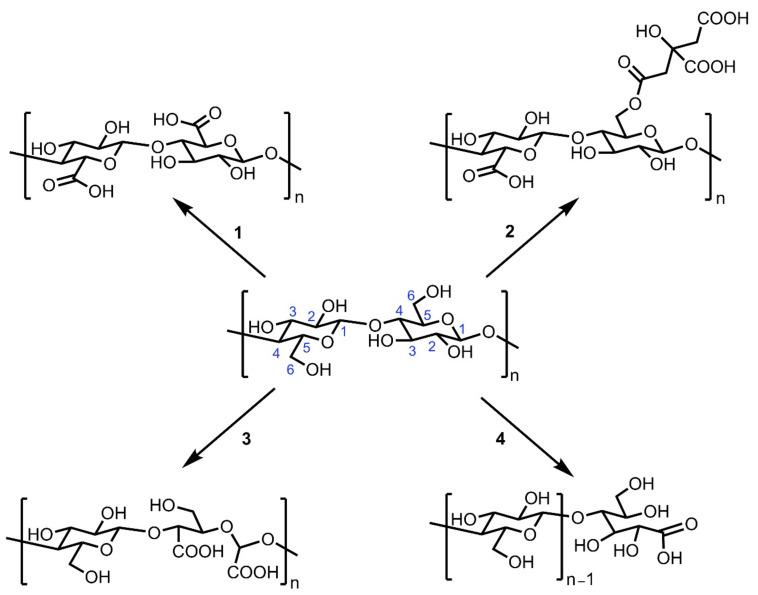
In recent years, cellulose nanocrystals (CNCs) have emerged as a leading biomass-based nanomaterial owing to their unique functional properties and sustainable resourcing. Sulfated cellulose nanocrystals (sCNCs), produced by sulfuric acid-assisted hydrolysis of cellulose, is currently the predominant form of this class of nanomaterial; its utilization leads the way in terms of CNC commercialization activities and industrial applications. The functional properties, including high crystallinity, colloidal stability, and uniform nanoscale dimensions, can also be attained through carboxylated cellulose nanocrystals (cCNCs). Herein, we review recent progress in methods and feedstock materials for producing cCNCs, describe their functional properties, and discuss the initial successes in their applications. Comparisons are made to sCNCs to highlight some of the inherent advantages that cCNCs may possess in similar applications.

摘要

近年来,纤维素纳米晶体(CNCs)因其独特的功能特性和可持续的资源供应,已成为一种领先的生物质基纳米材料。通过硫酸辅助水解纤维素制备的硫酸化纤维素纳米晶体(sCNCs)是目前这类纳米材料的主要形式;其应用在CNC商业化活动和工业应用方面处于领先地位。羧化纤维素纳米晶体(cCNCs)也能具备包括高结晶度、胶体稳定性和均匀纳米尺度尺寸在内的功能特性。在此,我们综述了制备cCNCs的方法和原料的最新进展,描述了它们的功能特性,并讨论了其应用方面的初步成功案例。与sCNCs进行了比较,以突出cCNCs在类似应用中可能具有的一些固有优势。

https://cdn.ncbi.nlm.nih.gov/pmc/blobs/e2fe/8306899/73ff0c17932d/nanomaterials-11-01641-sch001.jpg

文献AI研究员

20分钟写一篇综述,助力文献阅读效率提升50倍。

立即体验

用中文搜PubMed

大模型驱动的PubMed中文搜索引擎

马上搜索

文档翻译

学术文献翻译模型,支持多种主流文档格式。

立即体验