Suppr超能文献

母亲样本中婴儿年龄与嗜睡之间的关系。

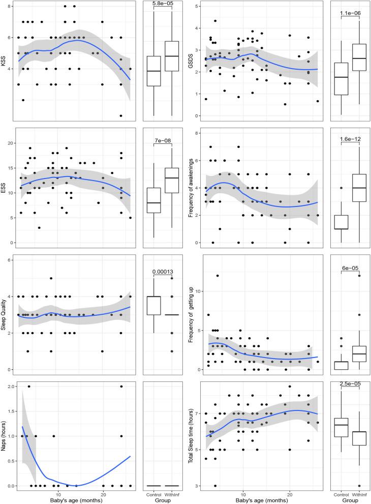
The Relationship Between a Baby's Age and Sleepiness in a Sample of Mothers.

作者信息

Sánchez-García Mar, Cantero María José, Carvajal-Roca Eva

机构信息

Departamento de Psicología Evolutiva y de la Educación, Universitat de València, Valencia, Spain.

Pediatría, Hospital de la Salud, Valencia, Spain.

出版信息

Front Psychol. 2021 Jul 2;12:694884. doi: 10.3389/fpsyg.2021.694884. eCollection 2021.

Abstract

One question of great practical importance for the parents, and especially the mother, after the birth of a baby, refers to how long the time during which they have to go with less and more fragmented sleep actually lasts. Most of the studies only explore this issue up to 6 months of the newborn's life, and less is known about the sleep problems the mothers may have after this initial period. The objective of this study is to examine the relationship between the sleep disruption and daytime sleepiness of mothers with infants until 2 years old compared to a group of women currently not at care of babies. To this end, a sample of 113 women, 67 currently bringing up a baby of under 2 years old, and the remainder without a baby at their care under 6 years old, reported sleep duration, sleep interruptions, sleep quality, and responded to questionnaires of sleep quality and daytime sleepiness. The relationship between the age of the children and the comparison between the groups was used to highlight the sleep problems of the mothers taking care of the infant. The results showed that there was a positive relationship between the age of the infant and the duration of the sleep of the mothers and that the duration of sleep for them was similar to those of the women in the control group about 6 months after the infant was born. However, fragmentation of sleep, daytime sleepiness, and sleep problems were still higher than in the control group for mothers with children between 6 and 12 months old.

摘要

对于父母,尤其是母亲来说,在宝宝出生后,一个具有重大实际意义的问题是,他们不得不忍受睡眠减少且更加碎片化的时间究竟会持续多久。大多数研究仅探讨新生儿出生后6个月内的这个问题,而对于母亲在这一初始阶段之后可能出现的睡眠问题,了解得较少。本研究的目的是,将一组照顾2岁以下婴儿的母亲的睡眠中断情况和日间嗜睡情况,与一组当前没有照顾婴儿的女性进行比较。为此,选取了113名女性作为样本,其中67名目前正在抚养2岁以下的婴儿,其余女性则没有照顾6岁以下的婴儿,她们报告了睡眠时间、睡眠中断情况、睡眠质量,并对睡眠质量问卷和日间嗜睡问卷做出了回应。通过儿童年龄与两组之间的比较关系,来突出照顾婴儿的母亲的睡眠问题。结果显示,婴儿年龄与母亲的睡眠时间之间存在正相关关系,并且在婴儿出生约6个月后,她们的睡眠时间与对照组女性的睡眠时间相似。然而,对于6至12个月大孩子的母亲来说,睡眠碎片化、日间嗜睡和睡眠问题仍然高于对照组。

https://cdn.ncbi.nlm.nih.gov/pmc/blobs/b69c/8285730/2800b5a6b345/fpsyg-12-694884-g0001.jpg

文献AI研究员

20分钟写一篇综述,助力文献阅读效率提升50倍。

立即体验

用中文搜PubMed

大模型驱动的PubMed中文搜索引擎

马上搜索

文档翻译

学术文献翻译模型,支持多种主流文档格式。

立即体验