Suppr超能文献

脑脊髓液寡克隆免疫球蛋白γ带与多发性硬化症的长期残疾进展:一项回顾性队列研究。

Cerebrospinal fluid oligoclonal immunoglobulin gamma bands and long-term disability progression in multiple sclerosis: a retrospective cohort study.

机构信息

Department of Clinical Neuroscience, Karolinska Institutet, Stockholm, Sweden.

Karolinska University Hospital, Tema Neuro, R52, Neurology Medical Unit, 14186, Stockholm, Sweden.

出版信息

Sci Rep. 2021 Jul 22;11(1):14987. doi: 10.1038/s41598-021-94423-x.

Abstract

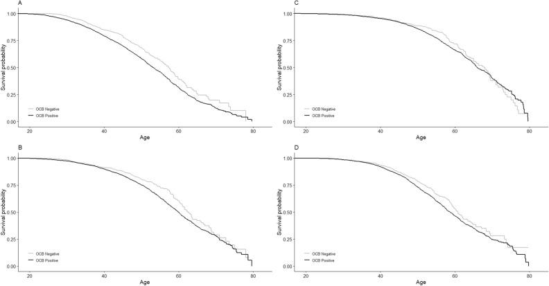
Multiple sclerosis (MS) patients with immunoglobulin gamma (IgG) oligoclonal bands (OCB) in the cerebrospinal fluid (CSF) have different genetic backgrounds and brain MRI features compared to those without. In this study, we aimed to determine whether CSF-OCB status is associated with long-term disability outcomes. We used Swedish MS register data on clinically definite MS patients with known OCB status. Date of birth, age at MS onset, and time to sustained Expanded Disability Status Scale (EDSS) milestones 3, 4, and 6; time to conversion to secondary progressive (SP) MS, sex, and immunomodulatory treatment (IMTs) duration were collected. Multivariate Cox regression models were used to investigate the association between OCB status and risk of reaching each milestone. The OCB-positive group reached disability milestones at an earlier time and younger age. OCB-positivity significantly increased the risk of reaching EDSS 3.0 (HR = 1.29, 95% CI 1.12 to 1.48, P < 0.001) and 4.0 (HR = 1.38, 95% CI 1.17 to 1.63, P < 0.001). The OCB-positive group had a 20% higher risk of conversion to SPMS. CSF-OCB presence is associated with higher risk of reaching EDSS milestones and conversion to SPMS. Our findings suggest higher disease modifying effect of OCB presence in the early inflammatory stages of MS.

摘要

多发性硬化症 (MS) 患者的脑脊液 (CSF) 中存在免疫球蛋白 G (IgG) 寡克隆带 (OCB) 与不存在 OCB 的患者相比,具有不同的遗传背景和脑 MRI 特征。在这项研究中,我们旨在确定 CSF-OCB 状态是否与长期残疾结局有关。我们使用瑞典 MS 登记处的数据,对已知 OCB 状态的临床确诊 MS 患者进行了研究。收集了出生日期、MS 发病年龄、达到持续扩展残疾状态量表 (EDSS) 里程碑 3.0、4.0 和 6.0 的时间、转归为继发进展型 MS (SPMS) 的时间、性别和免疫调节治疗 (IMTs) 持续时间。采用多变量 Cox 回归模型,探讨 OCB 状态与达到每个里程碑的风险之间的关系。OCB 阳性组更早达到残疾里程碑,且年龄更小。OCB 阳性显著增加了达到 EDSS 3.0(HR=1.29,95%CI 1.12 至 1.48,P<0.001)和 4.0(HR=1.38,95%CI 1.17 至 1.63,P<0.001)的风险。OCB 阳性组转归为 SPMS 的风险增加 20%。CSF-OCB 存在与达到 EDSS 里程碑和转归为 SPMS 的风险增加相关。我们的研究结果表明,OCB 存在与 MS 早期炎症阶段更高的疾病修饰作用有关。

https://cdn.ncbi.nlm.nih.gov/pmc/blobs/12dc/8298473/1d23bb1ee320/41598_2021_94423_Fig1_HTML.jpg

文献AI研究员

20分钟写一篇综述,助力文献阅读效率提升50倍。

立即体验

用中文搜PubMed

大模型驱动的PubMed中文搜索引擎

马上搜索

文档翻译

学术文献翻译模型,支持多种主流文档格式。

立即体验