• 文献检索
  • 文档翻译
  • 深度研究
  • 学术资讯
  • Suppr Zotero 插件Zotero 插件
  • 邀请有礼
  • 套餐&价格
  • 历史记录
应用&插件
Suppr Zotero 插件Zotero 插件浏览器插件Mac 客户端Windows 客户端微信小程序
定价
高级版会员购买积分包购买API积分包
服务
文献检索文档翻译深度研究API 文档MCP 服务
关于我们
关于 Suppr公司介绍联系我们用户协议隐私条款
关注我们

Suppr 超能文献

核心技术专利:CN118964589B侵权必究
粤ICP备2023148730 号-1Suppr @ 2026

文献检索

告别复杂PubMed语法,用中文像聊天一样搜索,搜遍4000万医学文献。AI智能推荐,让科研检索更轻松。

立即免费搜索

文件翻译

保留排版,准确专业,支持PDF/Word/PPT等文件格式,支持 12+语言互译。

免费翻译文档

深度研究

AI帮你快速写综述,25分钟生成高质量综述,智能提取关键信息,辅助科研写作。

立即免费体验

基于机器学习鉴定潜在的长链非编码RNA和微小RNA作为甲状腺乳头状癌的诊断生物标志物

Identification of Potential lncRNAs and miRNAs as Diagnostic Biomarkers for Papillary Thyroid Carcinoma Based on Machine Learning.

作者信息

Yang Fei, Zhang Jie, Li Baokun, Zhao Zhijun, Liu Yan, Zhao Zhen, Jing Shanghua, Wang Guiying

机构信息

Department of Otolaryngology-Head and Neck Surgery, The Fourth Hospital of Hebei Medical University, Hebei, China.

General Surgical Department, The Fourth Hospital of Hebei Medical University, Hebei, China.

出版信息

Int J Endocrinol. 2021 Jul 21;2021:3984463. doi: 10.1155/2021/3984463. eCollection 2021.

DOI:10.1155/2021/3984463
PMID:34335744
原文链接:https://pmc.ncbi.nlm.nih.gov/articles/PMC8318749/
Abstract

BACKGROUND

Papillary thyroid carcinoma (PTC) accounts for most of the proportion of thyroid cancer (TC). The objective of this study was to identify diagnostic, differentially expressed long noncoding RNAs (lncRNAs) and microRNAs (miRNAs), contributing to understanding the epigenetics mechanism of PTC.

METHODS

The data of lncRNA, miRNA, and mRNA were downloaded from the Cancer Genome Atlas (TCGA) dataset, followed by functional analysis of differentially expressed mRNAs. Optimal diagnostic lncRNA and miRNA biomarkers were identified via random forest. The regulatory network between optimal diagnostic lncRNA and mRNAs and optimal diagnostic miRNA and mRNAs was identified, followed by the construction of ceRNA network of lncRNA-mRNA-miRNA. Expression validation and diagnostic analysis of lncRNAs, miRNAs, and mRNAs were performed. Overexpression of ADD3-AS1 was performed in PTC-UC3 cell lines, and cell proliferation and invasion assay were used for investigating the role of ADD3-AS1 in PTC.

RESULTS

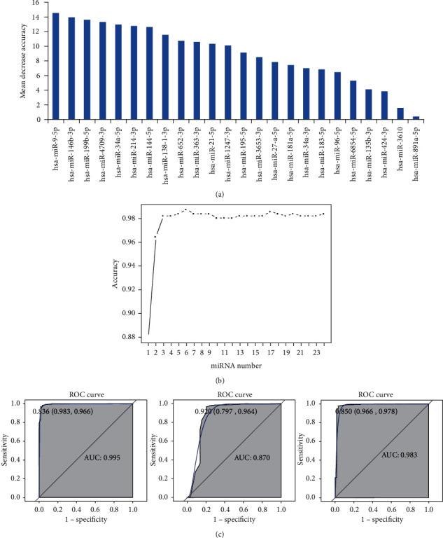
A total of 107 differentially expressed lncRNAs, 81 differentially expressed miRNAs, and 515 differentially expressed mRNAs were identified. 11 lncRNAs and 6 miRNAs were regarded as the optimal diagnostic biomarkers for PTC. The epigenetic modifications via the above diagnostic lncRNAs and miRNAs were identified, including MIR181A2HG-FOXP2-hsa-miR-146b-3p, BLACAT1/ST7-AS1-RPS6KA5-hsa-miR-34a-5p, LBX2-AS1/MIR100HG-CDHR3-hsa-miR-34a-5p, ADD3-AS1-PTPRE-hsa-miR-9-5p, ADD3-AS1-TGFBR1-hsa-miR-214-3p, LINC00506-MMRN1-hsa-miR-4709-3p, and LOC339059-STK32A-hsa-miR-199b-5p. In the functional analysis, MMRN1 and TGFBR1 were involved in cell adhesion and endothelial cell migration, respectively. Overexpression of ADD3-AS1 inhibited cell growth and invasion in PTC cell lines.

CONCLUSION

The identified lncRNAs/miRNAs/mRNA were differentially expressed between normal and cancerous tissues. In addition, identified altered lncRNAs and miRNAs may be potential diagnostic biomarkers for PTC. Additionally, epigenetic modifications via the above lncRNAs and miRNAs may be involved in tumorigenesis of PTC.

摘要

背景

甲状腺乳头状癌(PTC)在甲状腺癌(TC)中占比最大。本研究的目的是鉴定诊断性、差异表达的长链非编码RNA(lncRNA)和微小RNA(miRNA),以有助于理解PTC的表观遗传机制。

方法

从癌症基因组图谱(TCGA)数据集中下载lncRNA、miRNA和mRNA数据,随后对差异表达的mRNA进行功能分析。通过随机森林鉴定最佳诊断lncRNA和miRNA生物标志物。鉴定最佳诊断lncRNA与mRNA以及最佳诊断miRNA与mRNA之间的调控网络,随后构建lncRNA - mRNA - miRNA的竞争性内源RNA(ceRNA)网络。对lncRNA、miRNA和mRNA进行表达验证和诊断分析。在PTC - UC3细胞系中过表达ADD3 - AS1,并使用细胞增殖和侵袭试验研究ADD3 - AS1在PTC中的作用。

结果

共鉴定出107个差异表达的lncRNA、81个差异表达的miRNA和515个差异表达的mRNA。11个lncRNA和6个miRNA被视为PTC的最佳诊断生物标志物。鉴定出通过上述诊断性lncRNA和miRNA的表观遗传修饰,包括MIR181A2HG - FOXP2 - hsa - miR - 146b - 3p、BLACAT1/ST7 - AS1 - RPS6KA5 - hsa - miR - 34a - 5p、LBX2 - AS1/MIR100HG - CDHR3 - hsa - miR - 34a - 5p、ADD3 - AS1 - PTPRE - hsa - miR - 9 - 5p、ADD3 - AS1 - TGFBR1 - hsa - miR - 214 - 3p、LINC00506 - MMRN1 - hsa - miR - 4709 - 3p和LOC339059 - STK32A - hsa - miR - 199b - 5p。在功能分析中,MMRN1和TGFBR1分别参与细胞黏附和内皮细胞迁移。ADD3 - AS1的过表达抑制了PTC细胞系中的细胞生长和侵袭。

结论

所鉴定的lncRNA/miRNA/mRNA在正常组织和癌组织之间存在差异表达。此外,鉴定出的lncRNA和miRNA改变可能是PTC的潜在诊断生物标志物。此外,通过上述lncRNA和miRNA的表观遗传修饰可能参与PTC的肿瘤发生。

https://cdn.ncbi.nlm.nih.gov/pmc/blobs/95d4/8318749/227217a813fa/IJE2021-3984463.011.jpg
https://cdn.ncbi.nlm.nih.gov/pmc/blobs/95d4/8318749/0b217f4bd3ae/IJE2021-3984463.001.jpg
https://cdn.ncbi.nlm.nih.gov/pmc/blobs/95d4/8318749/acd2d3c2e271/IJE2021-3984463.002.jpg
https://cdn.ncbi.nlm.nih.gov/pmc/blobs/95d4/8318749/dd42d1a8b69e/IJE2021-3984463.003.jpg
https://cdn.ncbi.nlm.nih.gov/pmc/blobs/95d4/8318749/2508c7e80102/IJE2021-3984463.004.jpg
https://cdn.ncbi.nlm.nih.gov/pmc/blobs/95d4/8318749/01ebf9cd991f/IJE2021-3984463.005.jpg
https://cdn.ncbi.nlm.nih.gov/pmc/blobs/95d4/8318749/b4efc5daf685/IJE2021-3984463.006.jpg
https://cdn.ncbi.nlm.nih.gov/pmc/blobs/95d4/8318749/f72775f23eb0/IJE2021-3984463.007.jpg
https://cdn.ncbi.nlm.nih.gov/pmc/blobs/95d4/8318749/b3b005eda0a3/IJE2021-3984463.008.jpg
https://cdn.ncbi.nlm.nih.gov/pmc/blobs/95d4/8318749/1fb5d6ff7259/IJE2021-3984463.009.jpg
https://cdn.ncbi.nlm.nih.gov/pmc/blobs/95d4/8318749/f2291c62490c/IJE2021-3984463.010.jpg
https://cdn.ncbi.nlm.nih.gov/pmc/blobs/95d4/8318749/227217a813fa/IJE2021-3984463.011.jpg
https://cdn.ncbi.nlm.nih.gov/pmc/blobs/95d4/8318749/0b217f4bd3ae/IJE2021-3984463.001.jpg
https://cdn.ncbi.nlm.nih.gov/pmc/blobs/95d4/8318749/acd2d3c2e271/IJE2021-3984463.002.jpg
https://cdn.ncbi.nlm.nih.gov/pmc/blobs/95d4/8318749/dd42d1a8b69e/IJE2021-3984463.003.jpg
https://cdn.ncbi.nlm.nih.gov/pmc/blobs/95d4/8318749/2508c7e80102/IJE2021-3984463.004.jpg
https://cdn.ncbi.nlm.nih.gov/pmc/blobs/95d4/8318749/01ebf9cd991f/IJE2021-3984463.005.jpg
https://cdn.ncbi.nlm.nih.gov/pmc/blobs/95d4/8318749/b4efc5daf685/IJE2021-3984463.006.jpg
https://cdn.ncbi.nlm.nih.gov/pmc/blobs/95d4/8318749/f72775f23eb0/IJE2021-3984463.007.jpg
https://cdn.ncbi.nlm.nih.gov/pmc/blobs/95d4/8318749/b3b005eda0a3/IJE2021-3984463.008.jpg
https://cdn.ncbi.nlm.nih.gov/pmc/blobs/95d4/8318749/1fb5d6ff7259/IJE2021-3984463.009.jpg
https://cdn.ncbi.nlm.nih.gov/pmc/blobs/95d4/8318749/f2291c62490c/IJE2021-3984463.010.jpg
https://cdn.ncbi.nlm.nih.gov/pmc/blobs/95d4/8318749/227217a813fa/IJE2021-3984463.011.jpg

相似文献

1
Identification of Potential lncRNAs and miRNAs as Diagnostic Biomarkers for Papillary Thyroid Carcinoma Based on Machine Learning.基于机器学习鉴定潜在的长链非编码RNA和微小RNA作为甲状腺乳头状癌的诊断生物标志物
Int J Endocrinol. 2021 Jul 21;2021:3984463. doi: 10.1155/2021/3984463. eCollection 2021.
2
Reveal the potential molecular mechanism of circRNA regulating immune-related mRNA through sponge miRNA in the occurrence and immune regulation of papillary thyroid cancer.揭示 circRNA 通过海绵 miRNA 调节免疫相关 mRNA 在甲状腺乳头状癌发生和免疫调节中的潜在分子机制。
Ann Med. 2023;55(2):2244515. doi: 10.1080/07853890.2023.2244515.
3
Machine learning on thyroid disease: a review.机器学习在甲状腺疾病中的应用:综述。
Front Biosci (Landmark Ed). 2022 Mar 16;27(3):101. doi: 10.31083/j.fbl2703101.
4
A ceRNA network of BBOX1-AS1-hsa-miR-125b-5p/hsa-miR-125a-5p-CDKN2A shows prognostic value in cervical cancer.BBOX1-AS1-hsa-miR-125b-5p/hsa-miR-125a-5p-CDKN2A ceRNA 网络在宫颈癌中具有预后价值。
Taiwan J Obstet Gynecol. 2021 Mar;60(2):253-261. doi: 10.1016/j.tjog.2020.12.006.
5
Identification of ceRNA regulatory network in acute pancreatitis and acute recurrent pancreatitis.鉴定急性胰腺炎和急性复发性胰腺炎中的 ceRNA 调控网络。
Eur J Gastroenterol Hepatol. 2022 Oct 1;34(10):1031-1041. doi: 10.1097/MEG.0000000000002421. Epub 2022 Jul 19.
6
Identification of ASMTL-AS1 and LINC02604 lncRNAs as novel biomarkers for diagnosis of colorectal cancer.鉴定 ASMTL-AS1 和 LINC02604 lncRNAs 作为结直肠癌诊断的新型生物标志物。
Int J Colorectal Dis. 2024 Jul 19;39(1):112. doi: 10.1007/s00384-024-04692-x.
7
Identification of lncRNA/circRNA-miRNA-mRNA ceRNA Network as Biomarkers for Hepatocellular Carcinoma.鉴定lncRNA/circRNA-miRNA-mRNA ceRNA网络作为肝细胞癌的生物标志物
Front Genet. 2022 Mar 21;13:838869. doi: 10.3389/fgene.2022.838869. eCollection 2022.
8
Uncovering the potential miRNAs and mRNAs in follicular variant of papillary thyroid carcinoma in the Cancer Genome Atlas database.在癌症基因组图谱数据库中揭示甲状腺乳头状癌滤泡变体中的潜在微小RNA和信使核糖核酸。
Transl Cancer Res. 2019 Aug;8(4):1158-1169. doi: 10.21037/tcr.2019.06.30.
9
Regulatory Role of miRNAs and lncRNAs in Gout.miRNAs 和 lncRNAs 在痛风中的调控作用。
Comput Math Methods Med. 2022 Jun 29;2022:6513565. doi: 10.1155/2022/6513565. eCollection 2022.
10
The Oncogenic and Tumor Suppressive Long Non-Coding RNA-microRNA-Messenger RNA Regulatory Axes Identified by Analyzing Multiple Platform Omics Data from Cr(VI)-Transformed Cells and Their Implications in Lung Cancer.通过分析六价铬转化细胞的多平台组学数据鉴定出的致癌和抑癌长链非编码RNA-微小RNA-信使RNA调控轴及其在肺癌中的意义
Biomedicines. 2022 Sep 20;10(10):2334. doi: 10.3390/biomedicines10102334.

引用本文的文献

1
Dual roles of long non-coding RNAs in thyroid cancer: regulation of programmed cell death pathways.长链非编码RNA在甲状腺癌中的双重作用:对程序性细胞死亡途径的调控
Med Oncol. 2025 May 23;42(6):217. doi: 10.1007/s12032-025-02750-0.
2
Machine learning model for differentiating malignant from benign thyroid nodules based on the thyroid function data.基于甲状腺功能数据区分甲状腺恶性结节与良性结节的机器学习模型
BMJ Open. 2025 May 7;15(5):e093466. doi: 10.1136/bmjopen-2024-093466.
3
Network-Based Integrative Analysis to Identify Key Genes and Corresponding Reporter Biomolecules for Triple-Negative Breast Cancer.

本文引用的文献

1
Epitranscriptomics and epiproteomics in cancer drug resistance: therapeutic implications.癌症药物耐药性中的转录组学和蛋白质组学:治疗意义。
Signal Transduct Target Ther. 2020 Sep 8;5(1):193. doi: 10.1038/s41392-020-00300-w.
2
Integration analysis of long non-coding RNA (lncRNA) role in tumorigenesis of colon adenocarcinoma.长链非编码 RNA(lncRNA)在结肠腺癌发生中的作用的综合分析。
BMC Med Genomics. 2020 Jul 29;13(1):108. doi: 10.1186/s12920-020-00757-2.
3
Long non-coding RNA profiling of pediatric Medulloblastoma.儿童髓母细胞瘤的长非编码 RNA 谱分析。
基于网络的综合分析以鉴定三阴性乳腺癌的关键基因及相应的报告生物分子
Cancer Med. 2025 May;14(9):e70674. doi: 10.1002/cam4.70674.
4
Subtype cluster analysis unveiled the correlation between m6A- and cuproptosis-related lncRNAs and the prognosis, immune microenvironment, and treatment sensitivity of esophageal cancer.亚型聚类分析揭示了m6A与铜死亡相关lncRNAs之间的相关性以及它们与食管癌预后、免疫微环境和治疗敏感性的关系。
Front Immunol. 2025 Feb 17;16:1539630. doi: 10.3389/fimmu.2025.1539630. eCollection 2025.
5
Could microRNA Analysis Help in the Management of Medullary Thyroid Cancer?微小RNA分析能否有助于甲状腺髓样癌的管理?
Cancers (Basel). 2025 Feb 13;17(4):629. doi: 10.3390/cancers17040629.
6
Holomics and Artificial Intelligence-Driven Precision Oncology for Medullary Thyroid Carcinoma: Addressing Challenges of a Rare and Aggressive Disease.全基因组学与人工智能驱动的甲状腺髓样癌精准肿瘤学:应对一种罕见侵袭性疾病的挑战
Cancers (Basel). 2024 Oct 13;16(20):3469. doi: 10.3390/cancers16203469.
7
LncRNA ZFAS1 promotes invasion of medullary thyroid carcinoma by enhancing EPAS1 expression via miR-214-3p/UCHL1 axis.长链非编码RNA ZFAS1通过miR-214-3p/UCHL1轴增强EPAS1表达促进甲状腺髓样癌的侵袭。
J Cell Commun Signal. 2024 Apr 12;18(2):e12021. doi: 10.1002/ccs3.12021. eCollection 2024 Jun.
8
Long Non-Coding RNA LOC339059 Attenuates IL-6/STAT3-Signaling-Mediated PDL1 Expression and Macrophage M2 Polarization by Interacting with c-Myc in Gastric Cancer.长链非编码RNA LOC339059通过与胃癌中的c-Myc相互作用减弱IL-6/STAT3信号介导的PDL1表达和巨噬细胞M2极化。
Cancers (Basel). 2023 Nov 7;15(22):5313. doi: 10.3390/cancers15225313.
9
A concise review on the role of MIR100HG in human disorders.关于 MIR100HG 在人类疾病中的作用的简要综述。
J Cell Mol Med. 2023 Aug;27(16):2278-2289. doi: 10.1111/jcmm.17875. Epub 2023 Jul 24.
10
Differential microRNA expression for diagnosis and prognosis of papillary thyroid cancer.用于甲状腺乳头状癌诊断和预后的微小RNA差异表达
Front Med (Lausanne). 2023 Apr 5;10:1139362. doi: 10.3389/fmed.2023.1139362. eCollection 2023.
BMC Med Genomics. 2020 Jun 26;13(1):87. doi: 10.1186/s12920-020-00744-7.
4
Differential MicroRNA-Signatures in Thyroid Cancer Subtypes.甲状腺癌亚型中的差异微小RNA特征
J Oncol. 2020 Jun 3;2020:2052396. doi: 10.1155/2020/2052396. eCollection 2020.
5
LncRNA ZFAS1 promotes pancreatic adenocarcinoma metastasis via the RHOA/ROCK2 pathway by sponging miR-3924.长链非编码RNA ZFAS1通过吸附miR-3924,经由RHOA/ROCK2途径促进胰腺腺癌转移。
Cancer Cell Int. 2020 Jun 16;20:249. doi: 10.1186/s12935-020-01322-8. eCollection 2020.
6
Cancer Associated Fibroblasts and Senescent Thyroid Cells in the Invasive Front of Thyroid Carcinoma.甲状腺癌浸润前沿的癌症相关成纤维细胞和衰老甲状腺细胞
Cancers (Basel). 2020 Jan 1;12(1):112. doi: 10.3390/cancers12010112.
7
Identification of Long Non-Coding RNA Expression Profiles and Co-Expression Genes in Thyroid Carcinoma Based on The Cancer Genome Atlas (TCGA) Database.基于癌症基因组图谱(TCGA)数据库鉴定甲状腺癌中的长非编码 RNA 表达谱和共表达基因。
Med Sci Monit. 2019 Dec 19;25:9752-9769. doi: 10.12659/MSM.917845.
8
Whole Genome Sequencing of Familial Non-Medullary Thyroid Cancer Identifies Germline Alterations in MAPK/ERK and PI3K/AKT Signaling Pathways.家族性非髓样甲状腺癌的全基因组测序鉴定出 MAPK/ERK 和 PI3K/AKT 信号通路中的种系改变。
Biomolecules. 2019 Oct 13;9(10):605. doi: 10.3390/biom9100605.
9
Identification and interaction analysis of key miRNAs in medullary thyroid carcinoma by bioinformatics analysis.基于生物信息学分析鉴定和交互分析甲状腺髓样癌中的关键 miRNAs。
Mol Med Rep. 2019 Sep;20(3):2316-2324. doi: 10.3892/mmr.2019.10463. Epub 2019 Jul 3.
10
Integrative analysis of genomic and transcriptomic characteristics associated with progression of aggressive thyroid cancer.整合分析与侵袭性甲状腺癌进展相关的基因组和转录组特征。
Nat Commun. 2019 Jun 24;10(1):2764. doi: 10.1038/s41467-019-10680-5.