Suppr超能文献

暴露于早期综合治疗模式的自闭症谱系障碍儿童的认知、语言和行为结果:一项荟萃分析和元回归分析

Cognitive, Language, and Behavioral Outcomes in Children With Autism Spectrum Disorders Exposed to Early Comprehensive Treatment Models: A Meta-Analysis and Meta-Regression.

作者信息

Shi Bijun, Wu Weijia, Dai Meixia, Zeng Jingjing, Luo Jingyin, Cai Li, Wan Bin, Jing Jin

机构信息

Department of Maternal and Child Health, School of Public Health, Sun Yat-sen University, Guangzhou, China.

Department of Pediatrics, The Third Affiliated Hospital of Guangzhou Medical University, Guangzhou, China.

出版信息

Front Psychiatry. 2021 Jul 26;12:691148. doi: 10.3389/fpsyt.2021.691148. eCollection 2021.

Abstract

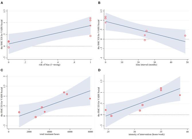
Early comprehensive treatment models (CTMs) have been developed as effective treatments for children with autism spectrum disorder (ASD). Numerous studies have suggested that CTMs can improve short-term outcomes, but little is known about precise outcome information in childhood. The current meta-analysis reviewed studies reporting broader outcomes in children with ASD who had ever participated in a CTM and examined the predictors of developmental gains. We searched eight databases up to June 13, 2019, for relevant trials and natural experiments. Longitudinal studies were selected if they investigated the outcomes of CTMs. Two meta-analyses were undertaken to provide a summary estimate of change in treatment outcomes and to evaluate the effect of CTMs; one used the standardized mean change between the pretest and posttest, and the other was a classical meta-analysis. Stratified and random-effects meta-regression analyses were performed to search for outcome differences among studies. Eighteen intervention studies (involving 495 children with ASD) met all the inclusion criteria: 12 used early intensive behavioral intervention (EIBI), and two used the Early Start Denver Model (ESDM). Outcomes were categorized into three parts: cognitive, language and behavioral (e.g., adaptive functioning and symptomatology). Overall, most children with ASD who had ever participated in an early CTM made gains in many areas of functioning, especially in terms of symptom- and language-related outcomes. Stratified analyses indicated that the ESDM displayed the largest effect on IQ improvement (ES = 1.37, 95% CI: 0.95 to 1.80), while EIBI was more effective for symptom reduction (ES = -1.27, 95% CI: -1.96 to -0.58). Further, meta-regression suggested that interventions with parent involvement, higher intensity, and longer treatment hours yielded greater improvements in IQ and social adaptive functioning, respectively. The results demonstrate a positive association between CTMs and better prognosis in childhood, especially regarding symptoms, and language. However, most extant research involves small, non-randomized studies, preventing definitive conclusions from being drawn. Clearly, the outcomes of children with ASD are still far from normal, especially with respect to adaptive functioning, and the four mediating variables pertaining to treatment elements can affect their gains, including approach, implementer, intensity, and total treatment hours. [www.crd.york.ac.uk/PROSPERO], identifier [CRD42019146859].

摘要

早期综合治疗模式(CTMs)已被开发出来,作为治疗自闭症谱系障碍(ASD)儿童的有效方法。大量研究表明,CTMs可以改善短期治疗效果,但对于儿童期的确切治疗效果信息知之甚少。当前的荟萃分析回顾了关于曾参与CTM的ASD儿童更广泛治疗效果的研究,并考察了发育进步的预测因素。我们检索了截至2019年6月13日的八个数据库,以查找相关试验和自然实验。如果纵向研究调查了CTMs的治疗效果,则将其纳入。进行了两项荟萃分析,以提供治疗效果变化的汇总估计,并评估CTMs的效果;一项使用了前后测之间的标准化平均变化,另一项是经典的荟萃分析。进行了分层和随机效应荟萃回归分析,以寻找各研究之间的治疗效果差异。18项干预研究(涉及495名ASD儿童)符合所有纳入标准:12项使用早期密集行为干预(EIBI),两项使用早期丹佛模式(ESDM)。治疗效果分为三个部分:认知、语言和行为(如适应性功能和症状学)。总体而言,大多数曾参与早期CTM的ASD儿童在许多功能领域都有进步,尤其是在与症状和语言相关的治疗效果方面。分层分析表明,ESDM对智商提高的效果最大(效应量ES = 1.37,95%置信区间:0.95至1.80),而EIBI在减轻症状方面更有效(ES = -1.27,95%置信区间:-1.96至-0.58)。此外,荟萃回归表明,有家长参与、强度更高和治疗时间更长的干预措施分别在智商和社会适应性功能方面产生了更大的改善。结果表明,CTMs与儿童期更好的预后呈正相关,尤其是在症状和语言方面。然而,大多数现有研究涉及小型、非随机研究,无法得出确定性结论。显然,ASD儿童的治疗效果仍远未达到正常水平,尤其是在适应性功能方面,与治疗要素相关的四个中介变量会影响他们的进步,包括治疗方法、实施者、强度和总治疗时间。[www.crd.york.ac.uk/PROSPERO],标识符[CRD42019146859]

https://cdn.ncbi.nlm.nih.gov/pmc/blobs/2df4/8350444/ded6856f3902/fpsyt-12-691148-g0001.jpg

文献AI研究员

20分钟写一篇综述,助力文献阅读效率提升50倍。

立即体验

用中文搜PubMed

大模型驱动的PubMed中文搜索引擎

马上搜索

文档翻译

学术文献翻译模型,支持多种主流文档格式。

立即体验