Suppr超能文献

天然和合成表面活性剂对生物膜抑制的多种作用

Diverse Effects of Natural and Synthetic Surfactants on the Inhibition of Biofilm.

作者信息

Allegrone Gianna, Ceresa Chiara, Rinaldi Maurizio, Fracchia Letizia

机构信息

Department of Pharmaceutical Sciences, Università del Piemonte Orientale "A. Avogadro", 28100 Novara, Italy.

出版信息

Pharmaceutics. 2021 Jul 29;13(8):1172. doi: 10.3390/pharmaceutics13081172.

Abstract

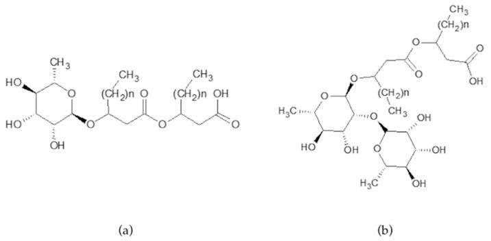
A major challenge in the biomedical field is the creation of materials and coating strategies that effectively limit the onset of biofilm-associated infections on medical devices. Biosurfactants are well known and appreciated for their antimicrobial/anti-adhesive/anti-biofilm properties, low toxicity, and biocompatibility. In this study, the rhamnolipid produced by 89 (R89BS) was characterized by HPLC-MS/MS and its ability to modify cell surface hydrophobicity and membrane permeability as well as its antimicrobial, anti-adhesive, and anti-biofilm activity against were compared to two commonly used surfactants of synthetic origin: Tween 80 and Triton X-100. The R89BS crude extract showed a grade of purity of 91.4% and was composed by 70.6% of mono-rhamnolipids and 20.8% of di-rhamnolipids. The biological activities of R89BS towards were higher than those of the two synthetic surfactants. In particular, the anti-adhesive and anti-biofilm properties of R89BS and of its purified mono- and di-congeners were similar. R89BS inhibition of adhesion and biofilm formation was ~97% and 85%, respectively, and resulted in an increased inhibition of about 33% after 6 h and of about 39% after 72 h when compared to their chemical counterparts. These results suggest a possible applicability of R89BS as a protective coating agent to limit implant colonization.

摘要

生物医学领域的一个主要挑战是创造能够有效限制医疗器械上生物膜相关感染发生的材料和涂层策略。生物表面活性剂因其抗菌/抗黏附/抗生物膜特性、低毒性和生物相容性而广为人知且备受赞赏。在本研究中,由89株菌产生的鼠李糖脂(R89BS)通过高效液相色谱-串联质谱(HPLC-MS/MS)进行了表征,并将其改变细胞表面疏水性和膜通透性的能力以及对[具体菌种未给出]的抗菌、抗黏附及抗生物膜活性与两种常用的合成表面活性剂吐温80和曲拉通X-100进行了比较。R89BS粗提物的纯度为91.4%,由70.6%的单鼠李糖脂和20.8%的双鼠李糖脂组成。R89BS对[具体菌种未给出]的生物活性高于两种合成表面活性剂。特别是,R89BS及其纯化的单、双同系物的抗黏附和抗生物膜特性相似。与化学对照物相比,R89BS对[具体菌种未给出]黏附和生物膜形成的抑制率分别约为97%和85%,在6小时后抑制率增加约33%,在72小时后增加约39%。这些结果表明R89BS作为一种保护涂层剂以限制植入物定植具有潜在的适用性。

https://cdn.ncbi.nlm.nih.gov/pmc/blobs/d4e6/8402037/df12ebae9137/pharmaceutics-13-01172-g001.jpg

文献AI研究员

20分钟写一篇综述,助力文献阅读效率提升50倍。

立即体验

用中文搜PubMed

大模型驱动的PubMed中文搜索引擎

马上搜索

文档翻译

学术文献翻译模型,支持多种主流文档格式。

立即体验