Suppr超能文献

跨喜马拉雅地区拉达克不同民族的植物资源利用情况

Plant Resources Utilization among Different Ethnic Groups of Ladakh in Trans-Himalayan Region.

作者信息

Haq Shiekh Marifatul, Yaqoob Umer, Calixto Eduardo Soares, Rahman Inayat Ur, Hashem Abeer, Abd Allah Elsayed Fathi, Alakeel Maha Abdullah, Alqarawi Abdulaziz A, Abdalla Mohnad, Hassan Musheerul, Bussmann Rainer W, Abbasi Arshad Mehmood, Ur Rahman Sami, Ijaz Farhana

机构信息

Department of Botany, University of Kashmir Srinagar, Srinagar 190006, India.

Wildlife Crime Control Division, Wildlife Trust of India, Noida 201301, India.

出版信息

Biology (Basel). 2021 Aug 26;10(9):827. doi: 10.3390/biology10090827.

Abstract

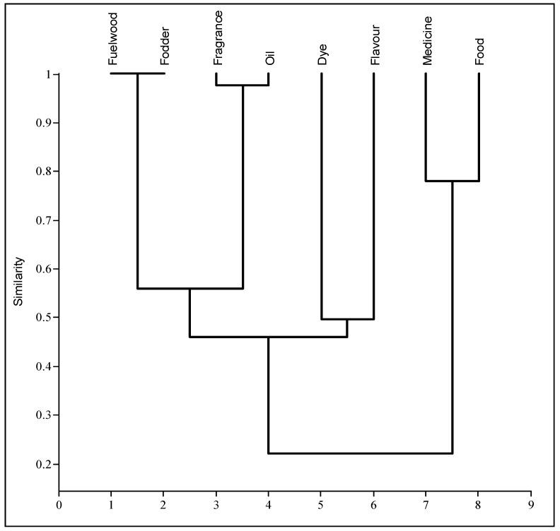
The nomadic pastoral indigenous communities of the Ladakhi people share roots with Tibetan culture in terms of food, clothing, religion, festivals, and habits, and rely widely on plant resources for survival and livelihood. This survey was conducted during 2019-2021 to document the indigenous knowledge about plant resources of the Balti, Beda, and Brokpa communities of the Ladakh region, trans-Himalayas. Open- and close-ended semi-structured interviews (N = 184) and group discussions (N = 17) were used to collect the data. Quantitative data was further analyzed using various statistical tools. A total of 105 plant species belonging to 82 genera and 39 families were used as medicine, fuel wood, fragrance, oil, food, flavor, fodder, decoration, and dye. Among these, medicinal use was most prevalent, with 70% of use reports, followed by fodder and fuel wood. Leaves (27%) were the most preferred plant part used, followed by roots and flowers. The principal component analysis revealed five clusters of ethnobotanical usage, i.e., food, medicine, fuel wood, fodder, and fragrance, oil, dye, and flavor. The maximum number of plant species used was reported by the Brokpa, while the Beda reported the minimum number of plant species uses. , , and played a significant role in the cultural and religious ritual aspects, whereas , , , and were commonly used as a livelihood source among Ladakhi communities. The local people collected most plants (65%) for self-consumption, while the rest (35%) were sold in markets as a source of income. The sustainable utilization and management of plant resources by local people is a strategy to boost livelihoods and food security and alleviate poverty.

摘要

拉达克地区的游牧牧民原住民社区在食物、服装、宗教、节日和习俗方面与藏文化有着共同的根源,并且在很大程度上依赖植物资源来维持生存和生计。本次调查于2019年至2021年期间进行,旨在记录跨喜马拉雅山脉拉达克地区巴尔蒂、贝达和布罗克帕社区关于植物资源的本土知识。通过开放式和封闭式半结构化访谈(N = 184)以及小组讨论(N = 17)来收集数据。使用各种统计工具对定量数据进行进一步分析。共有属于82属39科的105种植物被用作药物、薪柴、香料、油、食物、调味料、饲料、装饰品和染料。其中,药用最为普遍,占使用报告的70%,其次是饲料和薪柴。叶子(27%)是最常被使用的植物部位,其次是根和花。主成分分析揭示了民族植物学用途的五个类别,即食物、药物(此处原文有误,根据前文应为medicine)、薪柴、饲料以及香料、油、染料和调味料。布罗克帕人报告使用的植物种类最多,而贝达人报告使用的植物种类最少。[此处原文缺失具体植物名称,无法准确翻译]在文化和宗教仪式方面发挥了重要作用,而[此处原文缺失具体植物名称,无法准确翻译]在拉达克社区中通常被用作生计来源。当地居民收集的大多数植物(65%)用于自给自足,其余(35%)则在市场上出售作为收入来源。当地居民对植物资源的可持续利用和管理是促进生计和粮食安全以及减轻贫困的一项战略。

https://cdn.ncbi.nlm.nih.gov/pmc/blobs/ea3b/8468708/413f6173770a/biology-10-00827-g001.jpg

文献AI研究员

20分钟写一篇综述,助力文献阅读效率提升50倍。

立即体验

用中文搜PubMed

大模型驱动的PubMed中文搜索引擎

马上搜索

文档翻译

学术文献翻译模型,支持多种主流文档格式。

立即体验