Suppr超能文献

新型皮肤外用药物旋转联合方案改善面部光老化:双盲临床试验及实验室验证显示疗效

Novel Rotational Combination Regimen of Skin Topicals Improves Facial Photoaging: Efficacy Demonstrated in Double-Blinded Clinical Trials and Laboratory Validation.

作者信息

DiNatale Lisa, Idkowiak-Baldys Jolanta, Zhuang Young, Gonzalez Anthony, Stephens Thomas J, Jiang Lily I, Li Weiping, Basson Rubinder, Bayat Ardeshir

机构信息

Global Innovation Center, Avon Products Inc., Avon Skin Care Institute, Suffern, NY, United States.

Thomas J. Stephens & Associates, Inc., Richardson, TX, United States.

出版信息

Front Med (Lausanne). 2021 Sep 17;8:724344. doi: 10.3389/fmed.2021.724344. eCollection 2021.

Abstract

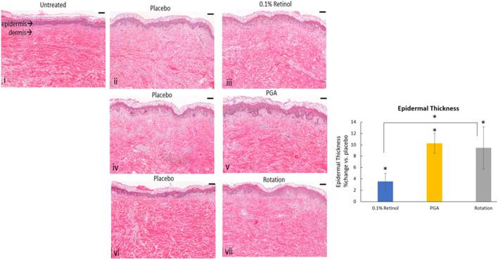
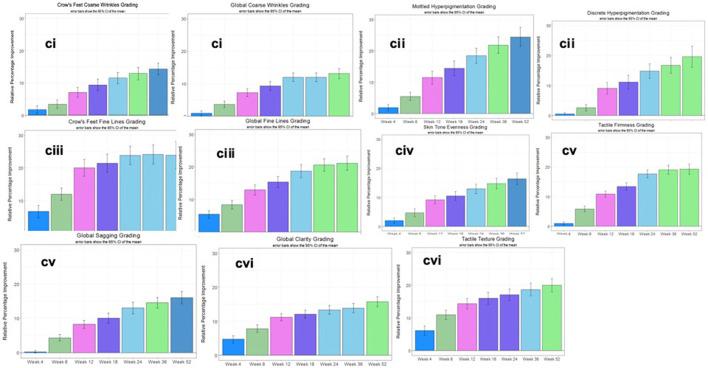
Topical antiaging products are often a first-line intervention to counter visible signs of facial photoaging, aiming for sustained cosmetic improvement. However, prolonged application of a single active topical compound was observed clinically to lead to a plateau effect in improving facial photoaging. In view of this, we set out to reduce this effect systematically using a multi-tiered approach with laboratory evidence and clinical trials. The objective of the study was to evaluate the effects of active topical ingredients applied either alone, in combination, or in a rotational manner on modulation of facial photoaging. The study methodology included , organotypic, and skin explants; biopsy study; as well as clinical trials. We demonstrate for the first time that a pair of known antiaging ingredients applied rotationally, on human dermal fibroblasts, maximized pro-collagen I production. Indeed, rotational treatment with retinol and phytol/glycolic acid (PGA) resulted in better efficacy than application of each active ingredient alone as shown by explants and biopsy study, with penetration of active ingredients confirmed by Raman spectroscopy. Furthermore, two split-face, randomized, double-blinded clinical trials were conducted, one for 12 months to compare treated vs. untreated and the other for 6 months followed by a 2-month regression to compare treated vs. commercially marketed products. In both studies, rotational regimen showed superior results to its matching comparison as assessed by clinical grading and image analysis of crow's feet wrinkles. In conclusion, rotational regimen using retinol and PGA is effective in treating facial photoaging signs with long-lasting benefits.

摘要

局部抗老化产品通常是对抗面部光老化可见迹象的一线干预措施,旨在实现持续的美容改善。然而,临床观察发现,长期使用单一活性局部化合物会导致改善面部光老化出现平台效应。鉴于此,我们着手采用多层次方法,结合实验室证据和临床试验,系统地减少这种效应。本研究的目的是评估单独、联合或交替使用活性局部成分对面部光老化调节的影响。研究方法包括器官型和皮肤外植体;活检研究;以及临床试验。我们首次证明,在人真皮成纤维细胞上交替使用一对已知的抗老化成分,可使I型前胶原的产生最大化。事实上,如外植体和活检研究所显示,视黄醇与植物醇/乙醇酸(PGA)交替治疗的效果优于单独使用每种活性成分,拉曼光谱证实了活性成分的渗透。此外,我们进行了两项半脸、随机、双盲临床试验,一项为期12个月,比较治疗组与未治疗组,另一项为期6个月,随后进行2个月的回归期,比较治疗组与市售产品。在两项研究中,通过鱼尾纹的临床分级和图像分析评估,交替使用方案的效果均优于相应对照组。总之,使用视黄醇和PGA的交替使用方案在治疗面部光老化迹象方面有效,且具有长期益处。

https://cdn.ncbi.nlm.nih.gov/pmc/blobs/83b9/8484331/c21512bb6b63/fmed-08-724344-g0001.jpg

文献检索

告别复杂PubMed语法,用中文像聊天一样搜索,搜遍4000万医学文献。AI智能推荐,让科研检索更轻松。

立即免费搜索

文件翻译

保留排版,准确专业,支持PDF/Word/PPT等文件格式,支持 12+语言互译。

免费翻译文档

深度研究

AI帮你快速写综述,25分钟生成高质量综述,智能提取关键信息,辅助科研写作。

立即免费体验