Zhang Haijie, Xu Peipei, Song Yichang
The Eighth Affiliated Hospital of Sun Yat-Sen University, Shenzhen 518033, China.
PET/CT Center, The First Affiliated Hospital of Shenzhen University, Shenzhen 518000, China.
J Oncol. 2021 Oct 11;2021:1629318. doi: 10.1155/2021/1629318. eCollection 2021.
Osteosarcoma is a common and highly metastatic malignant tumor, and m5C RNA methylation regulates various biological processes. The purpose of this study was to explore the prognostic role of m5C in osteosarcoma using machine learning.
Osteosarcoma gene data and the corresponding clinical information were downloaded from the GEO database. Machine learning methods were used to screen m5C-related genes and construct m5C scores. In addition, the clusterProfiler package was used to predict the m5C-related functional pathways. xCell and CIBERSORT were used to calculate the immune microenvironment cells. GSVA was applied to analyze different categories of m5C genes, and the correlation between the GSVA and m5C scores was evaluated.
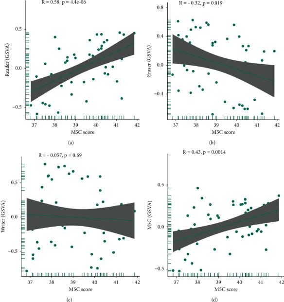
Twenty m5C genes were identified, and 54 related genes were screened. The m5C score was constructed based on the PCA score. With an increase in the m5C score, the expression of m5C genes and their related genes changed. Functional analysis indicated that the focal adhesion, cell-substrate adherens junction, cell adhesion molecule binding, and E2F targets might change with the m5C score. The naive B cells and CD4 memory T cell also changed with the m5C score. The results of the correlation analysis showed that the m5C score was significantly correlated with the reader and eraser genes.
The m5C score might be a prognostic index for osteosarcoma.
骨肉瘤是一种常见且具有高度转移性的恶性肿瘤,m5C RNA甲基化调节多种生物学过程。本研究旨在利用机器学习探索m5C在骨肉瘤中的预后作用。
从GEO数据库下载骨肉瘤基因数据及相应临床信息。采用机器学习方法筛选m5C相关基因并构建m5C评分。此外,使用clusterProfiler软件包预测m5C相关功能通路。利用xCell和CIBERSORT计算免疫微环境细胞。应用GSVA分析不同类别的m5C基因,并评估GSVA与m5C评分之间的相关性。
鉴定出20个m5C基因,筛选出54个相关基因。基于主成分分析(PCA)评分构建m5C评分。随着m5C评分增加,m5C基因及其相关基因的表达发生变化。功能分析表明,粘着斑、细胞-基质粘附连接、细胞粘附分子结合和E2F靶点可能随m5C评分而改变。幼稚B细胞和CD4记忆T细胞也随m5C评分而变化。相关性分析结果显示,m5C评分与读取器和橡皮擦基因显著相关。
m5C评分可能是骨肉瘤的一个预后指标。