• 文献检索
  • 文档翻译
  • 深度研究
  • 学术资讯
  • Suppr Zotero 插件Zotero 插件
  • 邀请有礼
  • 套餐&价格
  • 历史记录
应用&插件
Suppr Zotero 插件Zotero 插件浏览器插件Mac 客户端Windows 客户端微信小程序
定价
高级版会员购买积分包购买API积分包
服务
文献检索文档翻译深度研究API 文档MCP 服务
关于我们
关于 Suppr公司介绍联系我们用户协议隐私条款
关注我们

Suppr 超能文献

核心技术专利:CN118964589B侵权必究
粤ICP备2023148730 号-1Suppr @ 2026

文献检索

告别复杂PubMed语法,用中文像聊天一样搜索,搜遍4000万医学文献。AI智能推荐,让科研检索更轻松。

立即免费搜索

文件翻译

保留排版,准确专业,支持PDF/Word/PPT等文件格式,支持 12+语言互译。

免费翻译文档

深度研究

AI帮你快速写综述,25分钟生成高质量综述,智能提取关键信息,辅助科研写作。

立即免费体验

RE 掺杂纳米 ZnO 的聚脲涂层的快速制备及抗菌活性。

Rapid preparation and antimicrobial activity of polyurea coatings with RE-Doped nano-ZnO.

机构信息

School of Materials Science & Engineering, Nanyang Technological University, Singapore, 639798, Singapore.

School of Mechanical Engineering & Key Laboratory of Materials Design and Preparation Technology of Hunan Province, Xiangtan University, Xiangtan, 411105, China.

出版信息

Microb Biotechnol. 2022 Feb;15(2):548-560. doi: 10.1111/1751-7915.13891. Epub 2021 Oct 22.

DOI:10.1111/1751-7915.13891
PMID:34676986
原文链接:https://pmc.ncbi.nlm.nih.gov/articles/PMC8867993/
Abstract

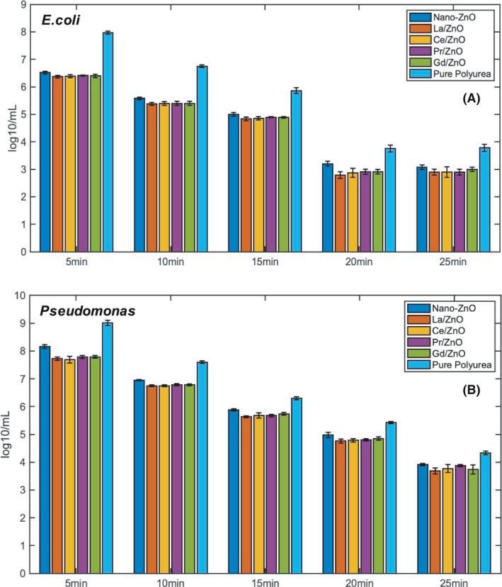
The recent COVID-19 virus has led to a rising interest in antimicrobial and antiviral coatings for frequently touched surfaces in public and healthcare settings. Such coatings may have the ability to kill a variety of microorganisms and bio-structures and reduce the risk of virus transmission. This paper proposes an extremely rapid method to introduce rare-earth doping nano-ZnO in polyamines for the preparation of the anti-microbial polyurea coatings. The nano-ZnO is prepared by wet chemical method, and the RE-doped nano-ZnO was obtained by mixing nano ZnO and RE-dopants with an appropriate amount of nitric acid. This rapidly fabricated polyurea coating can effectively reduce bacteria from enriching on the surface. Comparing with pure nano-ZnO group, all the polyurea coatings with four different rare-earth elements (La, Ce, Pr and Gd) doped nano-ZnO. The La-doped nano-ZnO formula group indicates the highest bactericidal rate over 85% to Escherichia coli (E. coli) and Pseudomonas aeruginosa (Pseudomonas). Followed by Ce/ZnO, the bactericidal rate may still remain as high as 83% at room temperature after 25-min UV-exposure. It is believed that the RE-doping process may greatly improve the photocatalytic response to UV light as well as environmental temperature due to its thermal catalytic enhancement. Through the surface characterizations and bioassays, the coatings have a durably high bactericidal rate even after repeated usage. As polyurea coating itself has high mechanical strength and adhesive force with most substrate materials without peel-off found, this rapid preparation method will also provide good prospects in practical applications.

摘要

最近的 COVID-19 病毒引起了人们对公共和医疗环境中频繁接触表面的抗菌和抗病毒涂层的兴趣。这种涂层可能具有杀死多种微生物和生物结构的能力,并降低病毒传播的风险。本文提出了一种极快的方法,即将稀土掺杂纳米 ZnO 引入聚胺中,用于制备抗菌聚脲涂层。纳米 ZnO 通过湿化学方法制备,通过将纳米 ZnO 和 RE 掺杂剂与适量的硝酸混合,得到 RE 掺杂纳米 ZnO。这种快速制备的聚脲涂层可以有效地减少细菌在表面的富集。与纯纳米 ZnO 组相比,所有含有四种不同稀土元素(La、Ce、Pr 和 Gd)掺杂纳米 ZnO 的聚脲涂层。La 掺杂纳米 ZnO 配方组对大肠杆菌(E. coli)和铜绿假单胞菌(Pseudomonas)的杀菌率超过 85%。其次是 Ce/ZnO,在 25 分钟的紫外线照射后,室温下的杀菌率仍可能高达 83%。据信,由于其热催化增强,RE 掺杂过程可能会大大提高对紫外线和环境温度的光催化响应。通过表面特性和生物测定,即使经过多次使用,涂层仍具有持久的高杀菌率。由于聚脲涂层本身具有很高的机械强度和与大多数基底材料的附着力,没有发现剥落现象,这种快速制备方法在实际应用中也将有很好的前景。

https://cdn.ncbi.nlm.nih.gov/pmc/blobs/eebc/8867993/db91c15d0841/MBT2-15-548-g006.jpg
https://cdn.ncbi.nlm.nih.gov/pmc/blobs/eebc/8867993/67b86b0ecc2d/MBT2-15-548-g009.jpg
https://cdn.ncbi.nlm.nih.gov/pmc/blobs/eebc/8867993/51d116519c51/MBT2-15-548-g001.jpg
https://cdn.ncbi.nlm.nih.gov/pmc/blobs/eebc/8867993/6bb767342f00/MBT2-15-548-g002.jpg
https://cdn.ncbi.nlm.nih.gov/pmc/blobs/eebc/8867993/bd034bcd4c23/MBT2-15-548-g005.jpg
https://cdn.ncbi.nlm.nih.gov/pmc/blobs/eebc/8867993/02298d0b723b/MBT2-15-548-g010.jpg
https://cdn.ncbi.nlm.nih.gov/pmc/blobs/eebc/8867993/3e2ed74bc458/MBT2-15-548-g004.jpg
https://cdn.ncbi.nlm.nih.gov/pmc/blobs/eebc/8867993/ad8201c96c04/MBT2-15-548-g003.jpg
https://cdn.ncbi.nlm.nih.gov/pmc/blobs/eebc/8867993/91f41004d4f6/MBT2-15-548-g007.jpg
https://cdn.ncbi.nlm.nih.gov/pmc/blobs/eebc/8867993/db91c15d0841/MBT2-15-548-g006.jpg
https://cdn.ncbi.nlm.nih.gov/pmc/blobs/eebc/8867993/67b86b0ecc2d/MBT2-15-548-g009.jpg
https://cdn.ncbi.nlm.nih.gov/pmc/blobs/eebc/8867993/51d116519c51/MBT2-15-548-g001.jpg
https://cdn.ncbi.nlm.nih.gov/pmc/blobs/eebc/8867993/6bb767342f00/MBT2-15-548-g002.jpg
https://cdn.ncbi.nlm.nih.gov/pmc/blobs/eebc/8867993/bd034bcd4c23/MBT2-15-548-g005.jpg
https://cdn.ncbi.nlm.nih.gov/pmc/blobs/eebc/8867993/02298d0b723b/MBT2-15-548-g010.jpg
https://cdn.ncbi.nlm.nih.gov/pmc/blobs/eebc/8867993/3e2ed74bc458/MBT2-15-548-g004.jpg
https://cdn.ncbi.nlm.nih.gov/pmc/blobs/eebc/8867993/ad8201c96c04/MBT2-15-548-g003.jpg
https://cdn.ncbi.nlm.nih.gov/pmc/blobs/eebc/8867993/91f41004d4f6/MBT2-15-548-g007.jpg
https://cdn.ncbi.nlm.nih.gov/pmc/blobs/eebc/8867993/db91c15d0841/MBT2-15-548-g006.jpg

相似文献

1
Rapid preparation and antimicrobial activity of polyurea coatings with RE-Doped nano-ZnO.RE 掺杂纳米 ZnO 的聚脲涂层的快速制备及抗菌活性。
Microb Biotechnol. 2022 Feb;15(2):548-560. doi: 10.1111/1751-7915.13891. Epub 2021 Oct 22.
2
In-situ sonosynthesis of nano N-doped ZnO on wool producing fabric with photo and bio activities, cell viability and enhanced mechanical properties.原位声合成纳米 N 掺杂 ZnO 于羊毛产生的具有光和生物活性、细胞活力和增强机械性能的纤维上。
J Photochem Photobiol B. 2015 Aug;149:103-15. doi: 10.1016/j.jphotobiol.2015.05.006. Epub 2015 May 30.
3
Questioning ZnO, Ag, and Ag/ZnO nanoparticles as antimicrobial agents for textiles: Do they guarantee total protection against bacteria and SARS-CoV-2?质疑 ZnO、Ag 和 Ag/ZnO 纳米颗粒作为纺织品的抗菌剂:它们能确保对细菌和 SARS-CoV-2 的完全防护吗?
J Photochem Photobiol B. 2022 Sep;234:112538. doi: 10.1016/j.jphotobiol.2022.112538. Epub 2022 Aug 4.
4
Studies on visible light photocatalytic and antibacterial activities of nanostructured cobalt doped ZnO thin films prepared by sol-gel spin coating method.溶胶-凝胶旋涂法制备的纳米结构钴掺杂ZnO薄膜的可见光光催化及抗菌活性研究
Spectrochim Acta A Mol Biomol Spectrosc. 2015 Sep 5;148:237-43. doi: 10.1016/j.saa.2015.03.134. Epub 2015 Apr 7.
5
Preparation, characterization and antibacterial mechanism of the chitosan coatings modified by Ag/ZnO microspheres.Ag/ZnO 微球改性壳聚糖涂层的制备、表征及抗菌机制。
J Sci Food Agric. 2020 Dec;100(15):5527-5538. doi: 10.1002/jsfa.10605. Epub 2020 Aug 24.
6
ZnO-based antimicrobial coatings for biomedical applications.基于氧化锌的抗菌生物医学涂层。
Bioprocess Biosyst Eng. 2022 Sep;45(9):1421-1445. doi: 10.1007/s00449-022-02733-9. Epub 2022 May 24.
7
Physiochemical characterization of sodium doped zinc oxide nano powder for antimicrobial applications.用于抗菌应用的钠掺杂氧化锌纳米粉末的物理化学特性。
Spectrochim Acta A Mol Biomol Spectrosc. 2023 Apr 15;291:122297. doi: 10.1016/j.saa.2022.122297. Epub 2022 Dec 31.
8
Selective antibiofilm properties and biocompatibility of nano-ZnO and nano-ZnO/Ag coated surfaces.纳米氧化锌和纳米氧化锌/银涂层表面的选择性抗生物膜特性和生物相容性。
Sci Rep. 2020 Aug 10;10(1):13478. doi: 10.1038/s41598-020-70169-w.
9
Preparation and characterization of undoped and cobalt doped ZnO for antimicrobial use.用于抗菌用途的未掺杂和钴掺杂 ZnO 的制备及特性研究。
Int J Pharm. 2016 Aug 30;510(2):430-8. doi: 10.1016/j.ijpharm.2015.09.043. Epub 2015 Sep 21.
10
The Influence of Zinc Oxide and Zinc Stearate on the Antimicrobial Activity of Coatings Containing Raspberry and Chokeberry Extracts.氧化锌和硬脂酸锌对含树莓和黑果腺肋花楸提取物涂层的抗菌活性的影响。
Molecules. 2024 Jul 25;29(15):3493. doi: 10.3390/molecules29153493.

引用本文的文献

1
Modeling of success factors of using PU coats in concrete construction projects.混凝土建筑项目中使用聚氨酯涂层的成功因素建模。
Heliyon. 2024 Apr 2;10(7):e28908. doi: 10.1016/j.heliyon.2024.e28908. eCollection 2024 Apr 15.
2
Combatting biofilms in potable water systems: A comprehensive overview to ensuring industrial water safety.饮用水系统中生物膜的防治:确保工业用水安全的全面概述。
Environ Microbiol Rep. 2023 Dec;15(6):445-454. doi: 10.1111/1758-2229.13207. Epub 2023 Oct 12.
3
Electrospun nanofibers for medical face mask with protection capabilities against viruses: State of the art and perspective for industrial scale-up.

本文引用的文献

1
Biological and Physiochemical Methods of Biofilm Adhesion Resistance Control of Medical-Context Surface.生物和物理化学方法控制医疗相关表面生物膜黏附抗性。
Int J Biol Sci. 2021 Apr 23;17(7):1769-1781. doi: 10.7150/ijbs.59025. eCollection 2021.
2
Antiviral zinc oxide nanoparticles mediated by hesperidin and in silico comparison study between antiviral phenolics as anti-SARS-CoV-2.橙皮苷介导的抗病毒氧化锌纳米颗粒以及抗SARS-CoV-2抗病毒酚类物质的计算机模拟比较研究。
Colloids Surf B Biointerfaces. 2021 Jul;203:111724. doi: 10.1016/j.colsurfb.2021.111724. Epub 2021 Mar 26.
3
Investigating the Internalization and COVID-19 Antiviral Computational Analysis of Optimized Nanoscale Zinc Oxide.
用于医用口罩的具有病毒防护能力的电纺纳米纤维:现状与工业规模化前景
Appl Mater Today. 2023 Jun;32:101833. doi: 10.1016/j.apmt.2023.101833. Epub 2023 May 2.
4
In Vitro Antimicrobial and Anticancer Peculiarities of Ytterbium and Cerium Co-Doped Zinc Oxide Nanoparticles.镱和铈共掺杂氧化锌纳米粒子的体外抗菌和抗癌特性
Biology (Basel). 2022 Dec 16;11(12):1836. doi: 10.3390/biology11121836.
5
A Comparative Study on the Self-Healing Characterizations and Formulation Optimization of Polyurea Coating.聚脲涂层自修复特性及配方优化的比较研究
Polymers (Basel). 2022 Aug 27;14(17):3520. doi: 10.3390/polym14173520.
6
Mini-Review of Self-Healing Mechanism and Formulation Optimization of Polyurea Coating.聚脲涂层自愈机理与配方优化的综述
Polymers (Basel). 2022 Jul 9;14(14):2808. doi: 10.3390/polym14142808.
优化纳米级氧化锌的内化及抗新冠病毒计算分析研究
ACS Omega. 2021 Mar 4;6(10):6848-6860. doi: 10.1021/acsomega.0c06046. eCollection 2021 Mar 16.
4
Effect of Nano-Titanium Dioxide Contained in Titania-Polyurea Coating on Marina Biofouling and Drag Reduction.含纳米二氧化钛的二氧化钛-聚脲涂层对海洋生物附着和减阻的影响。
J Biomed Nanotechnol. 2020 Oct 1;16(10):1530-1541. doi: 10.1166/jbn.2020.2980.
5
Antimicrobial Nanomaterials and Coatings: Current Mechanisms and Future Perspectives to Control the Spread of Viruses Including SARS-CoV-2.抗菌纳米材料和涂层:控制病毒(包括 SARS-CoV-2)传播的当前机制和未来展望。
ACS Nano. 2020 Oct 27;14(10):12341-12369. doi: 10.1021/acsnano.0c05937. Epub 2020 Oct 9.
6
Mechanisms and Control Measures of Mature Biofilm Resistance to Antimicrobial Agents in the Clinical Context.临床环境中成熟生物膜对抗菌药物耐药的机制及控制措施
ACS Omega. 2020 Aug 28;5(36):22684-22690. doi: 10.1021/acsomega.0c02294. eCollection 2020 Sep 15.
7
Science-Based Strategies of Antiviral Coatings with Viricidal Properties for the COVID-19 Like Pandemics.针对类似新冠疫情大流行的具有杀病毒特性的抗病毒涂层的基于科学的策略。
Materials (Basel). 2020 Sep 11;13(18):4041. doi: 10.3390/ma13184041.
8
Potential ocular and systemic COVID-19 prophylaxis approaches for healthcare professionals.医护人员的潜在眼部和全身 COVID-19 预防方法。
Indian J Ophthalmol. 2020 Jul;68(7):1349-1356. doi: 10.4103/ijo.IJO_1589_20.
9
Over view for the truth of COVID -19 pandemic: A guide for the Pathologists, Health care workers and community'.新冠疫情真相概览:给病理学家、医护人员及社区的指南
Pak J Med Sci. 2020 May;36(COVID19-S4):S111-S114. doi: 10.12669/pjms.36.COVID19-S4.2519.
10
The role of additive manufacturing and antimicrobial polymers in the COVID-19 pandemic.增材制造和抗菌聚合物在新冠疫情中的作用。
Expert Rev Med Devices. 2020 Jun;17(6):477-481. doi: 10.1080/17434440.2020.1756771. Epub 2020 Apr 30.