Suppr超能文献

家兔日粮中添加橄榄油厂废水多酚:通过RT-qPCR方法评估对肝脏细胞凋亡、炎症和代谢的潜在影响

Dietary Supplementation of Olive Mill Waste Water Polyphenols in Rabbits: Evaluation of the Potential Effects on Hepatic Apoptosis, Inflammation and Metabolism through RT-qPCR Approach.

作者信息

Cappelli Katia, Ferlisi Flavia, Mecocci Samanta, Maranesi Margherita, Trabalza-Marinucci Massimo, Zerani Massimo, Dal Bosco Alessandro, Acuti Gabriele

机构信息

Department of Veterinary Medicine, University of Perugia, Via San Costanzo, 4, 06126 Perugia, Italy.

Department of Agricultural, Food and Environmental Science, University of Perugia, Borgo XX Giugno, 74, 06100 Perugia, Italy.

出版信息

Animals (Basel). 2021 Oct 11;11(10):2932. doi: 10.3390/ani11102932.

Abstract

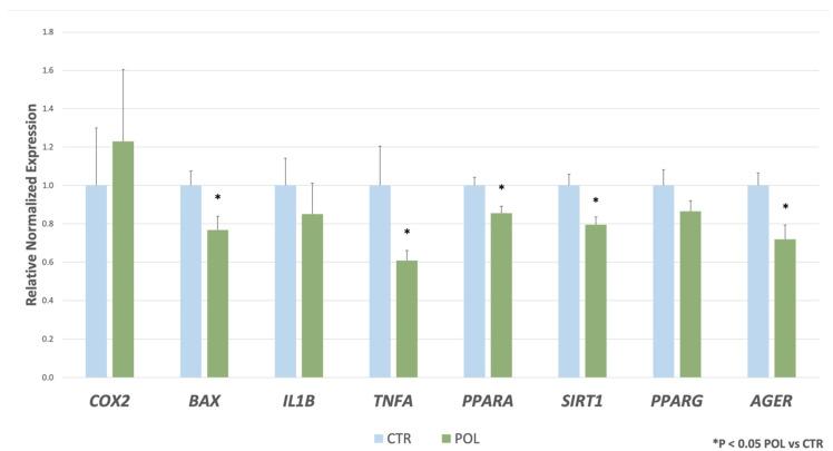
Agro-industrial processing for the production of food or non-food products generates a wide range of by-products and residues rich in bioactive compounds including polyphenols. The concentration of these by-products is sometimes higher than in the original raw material as in the case of olive mill waste water (OMWW), one of the main by-products of olive oil extraction. Polyphenols are secondary plant metabolites that regulate the expression of specific inflammatory genes, transcriptional factors and pro/anti-apoptotic molecules, thus modulating the signaling pathways essential for cell health and homeostasis. The liver plays a key role in regulating homeostasis by responding to dietary changes in order to maintain nutritional and physiological states. In this study a nutrigenomic approach was adopted, which focuses on the effects of diet-health-gene interactions and the modulation of cellular processes, in order to evaluate the expression of the genes (, , , , , , , ) involved in these interactions in the livers of rabbits fed with a diet supplemented with OMWW (POL) or without supplements (control, CTR). The RT-qPCR analysis showed the down-regulation of , , , and transcripts in the POL group compared to the CTR group. These results show that OMWW dietary supplementation prevents cell death and tissue deterioration in rabbits.

摘要

用于生产食品或非食品产品的农工业加工会产生多种富含生物活性化合物(包括多酚)的副产品和残渣。这些副产品中的某些成分浓度有时会高于原始原料,例如橄榄油提取的主要副产品之一——橄榄果渣废水(OMWW)。多酚是植物的次生代谢产物,可调节特定炎症基因、转录因子和促/抗凋亡分子的表达,从而调节对细胞健康和体内平衡至关重要的信号通路。肝脏通过响应饮食变化来维持营养和生理状态,在调节体内平衡方面发挥着关键作用。在本研究中,采用了一种营养基因组学方法,该方法侧重于饮食-健康-基因相互作用以及细胞过程的调节作用,以评估在补充了OMWW(POL)的饮食或未补充(对照,CTR)的饮食喂养的兔子肝脏中,参与这些相互作用的基因(、、、、、、、)的表达情况。RT-qPCR分析显示,与CTR组相比,POL组中、、、和转录本下调。这些结果表明,饮食中补充OMWW可防止兔子细胞死亡和组织退化。

https://cdn.ncbi.nlm.nih.gov/pmc/blobs/96ba/8532769/835963774641/animals-11-02932-g001.jpg

文献检索

告别复杂PubMed语法,用中文像聊天一样搜索,搜遍4000万医学文献。AI智能推荐,让科研检索更轻松。

立即免费搜索

文件翻译

保留排版,准确专业,支持PDF/Word/PPT等文件格式,支持 12+语言互译。

免费翻译文档

深度研究

AI帮你快速写综述,25分钟生成高质量综述,智能提取关键信息,辅助科研写作。

立即免费体验