Suppr超能文献

光诱导颜色变化的‘晨曦’玫瑰花瓣的代谢组学分析

Metabolomic Analysis on the Petal of 'Chen Xi' Rose with Light-Induced Color Changes.

作者信息

Su Mengyue, Damaris Rebecca Njeri, Hu Zhengrong, Yang Pingfang, Deng Jiao

机构信息

State Key Laboratory of Biocatalysis and Enzyme Engineering, School of Life Sciences, Hubei University, Wuhan 430026, China.

Research Center of Buckwheat Industry Technology, School of Life Sciences, Guizhou Normal University, Guiyang 550001, China.

出版信息

Plants (Basel). 2021 Sep 30;10(10):2065. doi: 10.3390/plants10102065.

Abstract

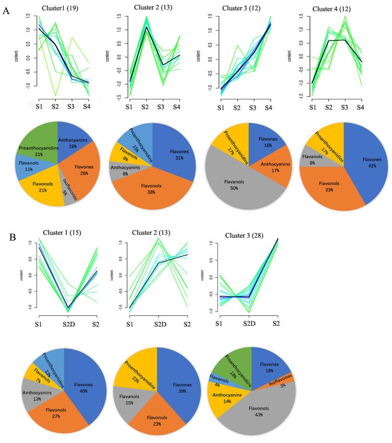
Flower color is one of the most prominent traits of rose flowers and determines their ornamental value. The color of the "Chen Xi" rose can change from yellow to red during flower blooming. In the present study, the flavonoid metabolites were investigated by the UPLC-ESI-MS/MS from the petals of four successive flower development stages under natural conditions. In total, 176 flavonoid components, including 49 flavones, 59 flavonols, 12 flavanones, 3 isoflavones, 12 anthocyanins, and 41 proanthocyanidins were identified, with some of them being detected for the first time in this study. Additionally, there were 56 compounds that showed differences among comparison groups, mainly being enriched in pathways of isoflavone, flavonoid, flavone, flavonol, phenylpropanoids, and anthocyanin. Among them, it is anthocyanins that allow the rose flower to turn red when exposed to sunlight. To verify this result, compounds from rose petal with shading treatment (S2D) was also detected but could be clearly separated from the four samples under light by clustering and principal component analyses (PCA). Consistent with low anthocyanins accumulation, the flower with shading could not turn red. Moreover, it provides a foundation for further research on the light-induced color modification of flower.

摘要

花色是玫瑰花最显著的特征之一,决定了它们的观赏价值。“晨曦”玫瑰在花朵开放过程中颜色会从黄色变为红色。在本研究中,通过超高效液相色谱-电喷雾串联质谱(UPLC-ESI-MS/MS)对自然条件下四个连续花朵发育阶段花瓣中的类黄酮代谢产物进行了研究。总共鉴定出176种类黄酮成分,包括49种黄酮、59种黄酮醇、12种黄烷酮、3种异黄酮、12种花青素和41种原花青素,其中一些是本研究首次检测到的。此外,有56种化合物在比较组之间存在差异,主要富集在异黄酮、类黄酮、黄酮、黄酮醇、苯丙烷类和花青素途径中。其中,花青素使得玫瑰花朵在阳光照射下变红。为了验证这一结果,还检测了经过遮光处理(S2D)的玫瑰花瓣中的化合物,但通过聚类分析和主成分分析(PCA)可以清楚地将其与光照下的四个样本区分开来。与花青素积累量低一致,遮光处理的花朵不会变红。此外,这为进一步研究花朵光诱导颜色变化提供了基础。

https://cdn.ncbi.nlm.nih.gov/pmc/blobs/e930/8541279/05315c2405f9/plants-10-02065-g001.jpg

相似文献

1
Metabolomic Analysis on the Petal of 'Chen Xi' Rose with Light-Induced Color Changes.
Plants (Basel). 2021 Sep 30;10(10):2065. doi: 10.3390/plants10102065.
3
The flavonoid pathway regulates the petal colors of cotton flower.
PLoS One. 2013 Aug 12;8(8):e72364. doi: 10.1371/journal.pone.0072364. eCollection 2013.
4
Red Anthocyanins and Yellow Carotenoids Form the Color of Orange-Flower Gentian (Gentiana lutea L. var. aurantiaca).
PLoS One. 2016 Sep 2;11(9):e0162410. doi: 10.1371/journal.pone.0162410. eCollection 2016.
5
Molecular mechanism of different flower color formation of Cymbidium ensifolium.
Plant Mol Biol. 2023 Nov;113(4-5):193-204. doi: 10.1007/s11103-023-01382-0. Epub 2023 Oct 25.
9
Analysis of Flavonoid Metabolism during the Process of Petal Discoloration in Three Crabapple Cultivars.
ACS Omega. 2022 Oct 14;7(42):37304-37314. doi: 10.1021/acsomega.2c03820. eCollection 2022 Oct 25.

本文引用的文献

5
BBX16, a B-box protein, positively regulates light-induced anthocyanin accumulation by activating MYB10 in red pear.
Plant Biotechnol J. 2019 Oct;17(10):1985-1997. doi: 10.1111/pbi.13114. Epub 2019 Apr 14.
6
7
Determination of Flavonoids and Carotenoids and Their Contributions to Various Colors of Rose Cultivars ( spp.).
Front Plant Sci. 2019 Feb 12;10:123. doi: 10.3389/fpls.2019.00123. eCollection 2019.
8
Anthocyanin compositions and biological activities from the red petals of Korean edible rose (Rosa hybrida cv. Noblered).
Food Chem. 2011 Nov 15;129(2):272-278. doi: 10.1016/j.foodchem.2011.04.040. Epub 2011 Apr 21.
9
Influence of Benzyladenine on Metabolic Changes in Different Rose Tissues.
Plants (Basel). 2018 Nov 2;7(4):95. doi: 10.3390/plants7040095.

文献AI研究员

20分钟写一篇综述,助力文献阅读效率提升50倍。

立即体验

用中文搜PubMed

大模型驱动的PubMed中文搜索引擎

马上搜索

文档翻译

学术文献翻译模型,支持多种主流文档格式。

立即体验