Department of Chemistry, North Carolina A&T State University, Greensboro, NC 27411, United States of America.
Department of Biology, Appalachian State University, Boone, NC 28608, United States of America.
Int J Biol Macromol. 2021 Dec 15;193(Pt B):1249-1273. doi: 10.1016/j.ijbiomac.2021.10.172. Epub 2021 Oct 28.
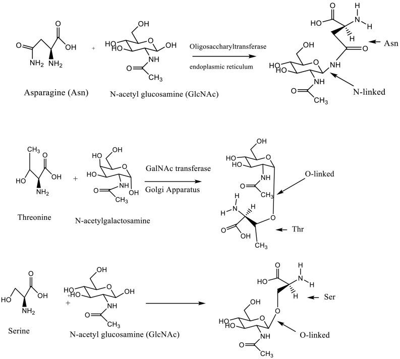
In this review, we describe the key molecular entities involved in the process of infection by SARS-CoV-2, while also detailing how those key entities influence the spread of the disease. We further introduce the molecular mechanisms of preventive and treatment strategies including drugs, antibodies, and vaccines.
在这篇综述中,我们描述了 SARS-CoV-2 感染过程中涉及的关键分子实体,同时详细说明了这些关键实体如何影响疾病的传播。我们进一步介绍了包括药物、抗体和疫苗在内的预防和治疗策略的分子机制。