Department of Biology, University of Washington, Seattle, Washington, United States.
Department of Physics, Azim Premji University, Bangalore, India.
Elife. 2021 Nov 16;10:e53824. doi: 10.7554/eLife.53824.
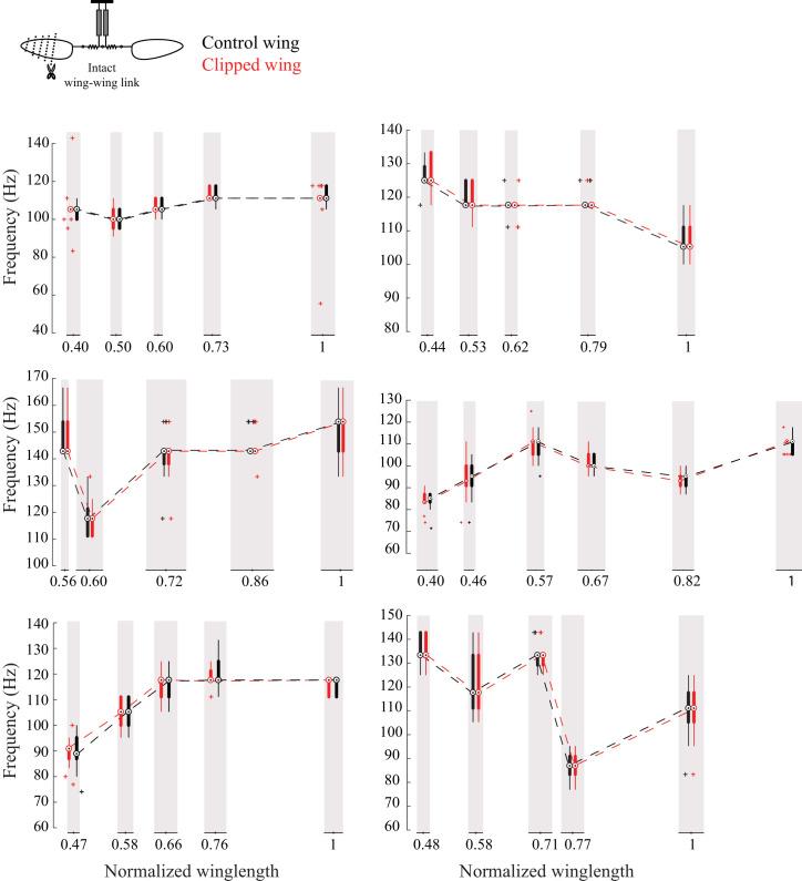
The mechanics of Dipteran thorax is dictated by a network of exoskeletal linkages that, when deformed by the flight muscles, generate coordinated wing movements. In Diptera, the forewings power flight, whereas the hindwings have evolved into specialized structures called halteres, which provide rapid mechanosensory feedback for flight stabilization. Although actuated by independent muscles, wing and haltere motion is precisely phase-coordinated at high frequencies. Because wingbeat frequency is a product of wing-thorax resonance, any wear-and-tear of wings or thorax should impair flight ability. How robust is the Dipteran flight system against such perturbations? Here, we show that wings and halteres are independently driven, coupled oscillators. We systematically reduced the wing length in flies and observed how wing-haltere synchronization was affected. The wing-wing system is a strongly coupled oscillator, whereas the wing-haltere system is weakly coupled through mechanical linkages that synchronize phase and frequency. Wing-haltere link acts in a unidirectional manner; altering wingbeat frequency affects haltere frequency, but not vice versa. Exoskeletal linkages are thus key morphological features of the Dipteran thorax that ensure wing-haltere synchrony, despite severe wing damage.
双翅目昆虫的胸部结构由一系列外骨骼连杆组成,这些连杆在外骨骼肌肉的变形作用下,产生协调的翅膀运动。在双翅目昆虫中,前翅用于飞行,而后翅则演化为称为平衡棒的专门结构,为飞行稳定提供快速的机械感觉反馈。尽管翅膀和平衡棒的运动是由独立的肌肉驱动的,但它们在高频下精确地相位协调。由于翅膀拍动的频率是翅膀-胸部共振的产物,因此翅膀或胸部的任何磨损都会损害飞行能力。那么,双翅目昆虫的飞行系统对这种干扰有多强的鲁棒性呢?在这里,我们展示了翅膀和平衡棒是独立驱动的、耦合的振荡器。我们系统地减少了果蝇的翅膀长度,并观察了翅膀-平衡棒同步性是如何受到影响的。翅膀-翅膀系统是一个强耦合的振荡器,而翅膀-平衡棒系统则通过机械连杆弱耦合,这些连杆同步相位和频率。翅膀-平衡棒的连接以单向方式作用;改变翅膀拍动的频率会影响平衡棒的频率,但反之则不然。因此,外骨骼连杆是双翅目昆虫胸部的关键形态特征,即使翅膀严重受损,也能确保翅膀-平衡棒同步。