Suppr超能文献

抗击新冠病毒的抗菌不锈钢

Anti-pathogen stainless steel combating COVID-19.

作者信息

Liu L T, Chin A W H, Yu P, Poon L L M, Huang M X

机构信息

Department of Mechanical Engineering, The University of Hong Kong, Pokfulam Road, Hong Kong, PR China.

Department of Materials Science and Engineering, Southern University of Science and Technology, 1088 Xueyuan Avenue, Shenzhen 518000, PR China.

出版信息

Chem Eng J. 2022 Apr 1;433:133783. doi: 10.1016/j.cej.2021.133783. Epub 2021 Nov 25.

Abstract

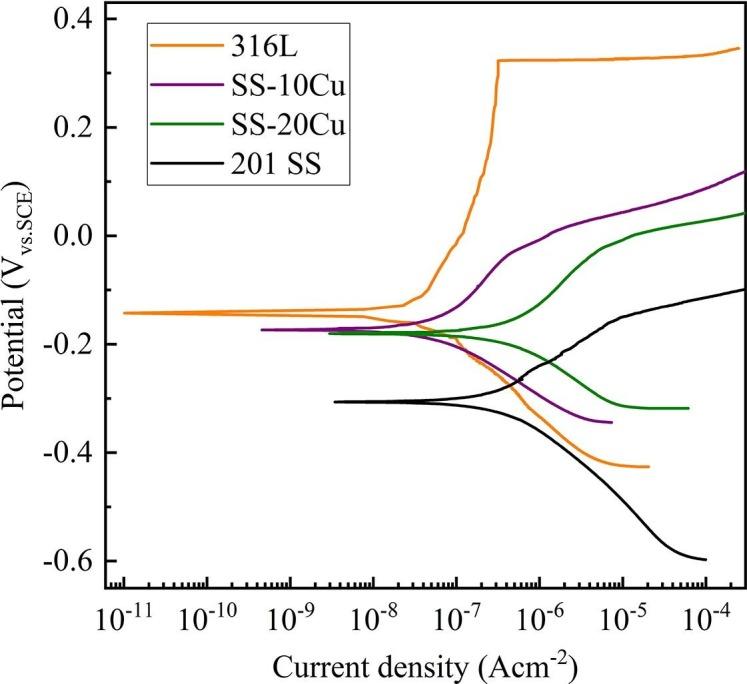
Severe acute respiratory syndrome coronavirus 2 (SARS-CoV-2) exhibits strong stability on conventional stainless steel (SS) surface, with infectious virus detected even after two days, posing a high risk of virus transmission via surface touching in public areas. In order to mitigate the surface toughing transmission, the present study develops the first SS with excellent anti-pathogen properties against SARS-COV-2. The stabilities of SARS-CoV-2, H1N1 influenza A virus (H1N1), and on the surfaces of Cu-contained SS, pure Cu, Ag-contained SS, and pure Ag were investigated. It is discovered that pure Ag and Ag-contained SS surfaces do not display apparent inhibitory effects on SARS-CoV-2 and H1N1. In comparison, both pure Cu and Cu-contained SS with a high Cu content exhibit significant antiviral properties. Significantly, the developed anti-pathogen SS with 20 wt% Cu can distinctly reduce 99.75% and 99.99% of viable SARS-CoV-2 on its surface within 3 and 6 h, respectively. In addition, the present anti-pathogen SS also exhibits an excellent inactivation ability for H1N1 influenza A virus (H1N1), and . Interestingly, the Cu ion concentration released from the anti-pathogen SS with 10 wt% and 20 wt% Cu was notably higher than the Ag ion concentration released from Ag and the Ag-contained SS. Lift buttons made of the present anti-pathogen SS are produced using mature powder metallurgy technique, demonstrating its potential applications in public areas and fighting the transmission of SARS-CoV-2 and other pathogens via surface touching.

摘要

严重急性呼吸综合征冠状病毒2(SARS-CoV-2)在传统不锈钢(SS)表面具有很强的稳定性,即使在两天后仍能检测到有传染性的病毒,这在公共场所通过接触表面传播病毒方面构成了很高的风险。为了减轻表面接触传播,本研究开发了第一种对SARS-CoV-2具有优异抗病原体性能的不锈钢。研究了SARS-CoV-2、甲型H1N1流感病毒(H1N1)在含铜不锈钢、纯铜、含银不锈钢和纯银表面的稳定性。发现纯银和含银不锈钢表面对SARS-CoV-2和H1N1没有明显的抑制作用。相比之下,纯铜和高铜含量的含铜不锈钢都表现出显著的抗病毒特性。值得注意的是,所开发的含20 wt%铜的抗病原体不锈钢能在3小时和6小时内分别显著降低其表面99.75%和99.99%的活SARS-CoV-2。此外,目前的抗病原体不锈钢对甲型H1N1流感病毒(H1N1)也表现出优异的灭活能力。有趣的是,含10 wt%和20 wt%铜的抗病原体不锈钢释放的铜离子浓度明显高于银和含银不锈钢释放的银离子浓度。由目前的抗病原体不锈钢制成的电梯按钮是采用成熟的粉末冶金技术生产的,展示了其在公共场所的潜在应用以及对抗SARS-CoV-2和其他病原体通过表面接触传播的作用。

https://cdn.ncbi.nlm.nih.gov/pmc/blobs/3f13/8613009/d5d68ce90c56/ga1_lrg.jpg

文献检索

告别复杂PubMed语法,用中文像聊天一样搜索,搜遍4000万医学文献。AI智能推荐,让科研检索更轻松。

立即免费搜索

文件翻译

保留排版,准确专业,支持PDF/Word/PPT等文件格式,支持 12+语言互译。

免费翻译文档

深度研究

AI帮你快速写综述,25分钟生成高质量综述,智能提取关键信息,辅助科研写作。

立即免费体验